【一天一大 lee】排序链表 (难度:中等) - Day20201121

119 阅读3分钟

题目:

给你链表的头结点 head ,请将其按 升序 排列并返回 排序后的链表 。

进阶:

你可以在 O(n log n) 时间复杂度和常数级空间复杂度下,对链表进行排序吗?

示例:

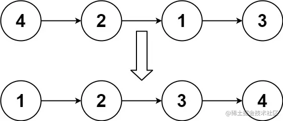
  1. 示例 1:
示例-1
示例-1
输入:head = [4,2,1,3]
输出:[1,2,3,4]
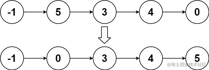
  1. 示例 2:
示例-2
示例-2
输入:head = [-1,5,3,4,0]
输出:[-1,0,3,4,5]
  1. 示例 3:
输入:head = []
输出:[]

提示:

  • 链表中节点的数目在范围 [0, ] 内
  • <= Node.val <=

抛砖引玉

先来一个不讲武德的方法:

用数组存储列表节点排序后再重构链表。

抛砖引玉
抛砖引玉
/**
 * Definition for singly-linked list.
 * function ListNode(val, next) {
 *     this.val = (val===undefined ? 0 : val)
 *     this.next = (next===undefined ? null : next)
 * }
 */
/**
 * @param {ListNode} head
 * @return {ListNode}
 */
var sortList = function(head) {
    if (!head) return head
    let node = head,
        list = []
    while (node) {
        list.push(node)
        node = node.next
    }
    list.sort((a, b) => a.val - b.val)
    // 重构链表时保留链表头部指针用于返回
    let _result = list[0]
    _result.next = list[1]
    list[list.length - 1].next = null
    for (let i = 1; i < list.length - 1; i++) {
        list[i].next = list[i + 1]
    }
    return _result
}

归并排序

将链表递归二分至单个节点,再按照节点大小合并两个二分后的链表

/**
 * Definition for singly-linked list.
 * function ListNode(val, next) {
 *     this.val = (val===undefined ? 0 : val)
 *     this.next = (next===undefined ? null : next)
 * }
 */
/**
 * @param {ListNode} head
 * @return {ListNode}
 */
var sortList = function(head) {
    if (head == null || head.next == null) return head
    // 利用快慢指针将链表二分
    let fast = head.next,
        slow = head
    while (fast && fast.next) {
        slow = slow.next
        fast = fast.next.next
    }
    // 后一边链表头部指针
    let tmp = slow.next
    // 分离链表
    slow.next = null
    // 递归二分值单个节点
    let left = sortList(head),
        right = sortList(tmp)
    // 合并排序的链表
    let node = new ListNode(0)
    let _result = node
    while (left && right) {
        if (left.val < right.val) {
            node.next = left
            left = left.next
        } else {
            node.next = right
            right = right.next
        }
        node = node.next
    }
    node.next = left ? left : right
    return _result.next
}

博客: 前端小书童

每天的每日一题,写的题解会同步更新到公众号一天一大 lee 栏目 欢迎关注留言

公众号:前端小书童