叶绿素反演-论文2

217 阅读3分钟

基于无人机多光谱影像的番茄冠层SPAD 预测研究

数据获取

1 无人机影像获取

采用eBee 无人机智能系统( SenseFly 公司,瑞士) ,搭载Sequoia 五通道多光谱传感器。飞行前用灰度板辐射定标,定标反射率为0.18。质量控制点数量为6个

2 番茄叶绿素测定

采用SPAD-502Plus 型手持式叶绿素测量仪进行同步测量。依番茄植株特性,取上部TU(2H/3 ~ H) 、中部TM(H/3 ~ 2H/3) 、下部TL(0 ~ H/3)。每个叶片测量3组SPAD值,每个部位共获得5组数据,求平均值作为测量数据,共设70 个实测样本点。

反射率提取

根据显示位置,在ENVI5.3支持下,通过RTK工具记录样点位置,绘制感兴趣区域( Region of interest,ROI) ,ROI尺寸为20 像素× 20 像素,利用New Region of Interest 工具的计算统计功能提取各波段ROI反射率数据。

3 植被指数选取

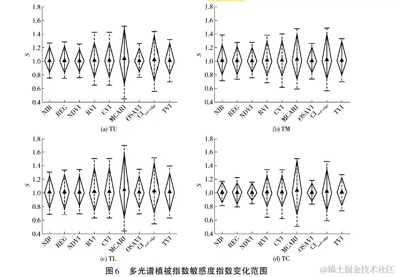
4 多光谱植被指数变化敏感度分析

光谱敏感性分析( Sensitivity analysis,SA) 是植被理化参量进行定量反演的基础。

5 反演模型

偏最小二乘法( Partial least squares,PLS) 是WORD于1983年提出的主要用于研究因变量对于自变量回归的多元统计方法

支持向量机( Support vector machine,SVR) 是一种运用统计学原理的机器算法。本文采用径向基(RBF) 函数,通过交叉验证最终确定惩罚因子C为1.66,参数δ为0.5。

BP神经网络基于误差逆向传播算法,可实现正向传播和误差反向传播过程。 文中采用输入、隐含、输出3 层结构,最终确定输入层-隐含层-输出层结构为9-16-1,学习速率为0.01,迭代次数5000次。

6 模型验证

本文在Matlab平台支持下,应用Divide 函数按照建模集∶验证集为3∶1的比例进行多次重复分割。采用决定系数R2 ( Coefficient of determination) 、均方根误差( Root mean square error,RMSE) 、平均相对误差( Mean relative error,MRE) 评价模型反演精度

结果与分析

所选取的光谱植被指数与番茄SPAD 值的相关性在TU 和TC 位置上优于TM 和TL 位置,OSAVI、REG、NIR、TVI 与SPAD 值的相关性在不同冠层位置上均最高。

光谱参数线性敏感度分析表明,各光谱植被指数在TU、TM、TL、TC 冠层位置上线性敏感度由优到差依次为OSAVI、NDVI、REG、NIR、TVI、RVI、CVI、CIred - edge、MCARI。

采用筛选变量的PLS 模型、全变量的SVR模型及BP 模型对番茄SPAD 值进行预测建模,结果表明: SVR 模型结果最优,在TU、TM、TL、TC 位置上,R2 分别为0. 68、0. 64、0. 55、0. 65,RMSE 分别为2. 84、2. 75、3. 51、2. 26。

开花坐果期,番茄冠层上层叶片的SPAD值高于中层和下层叶片,结果初期和结果晚期,番茄中层叶片的SPAD 值高于上层和下层叶片。