基于无监督学习的多模态可变形配准(学习笔记)

1,108 阅读3分钟

摘要

多模态可变形配准旨在求解密集的空间变换,用于对齐两种不同模态的图像,是许多医学图像分析应用中的关键问题。基于传统方法的多模态图像配准旨在解决每对图像的优化问题,通常取得优异的配准性能,但计算成本高/运行时间长。深度学习方法通过学习用于执行配准的网络,极大缩短了运行时间。这些基于学习的方法对于单模态配准非常有效,然而不同模态图像的强度分布未知且复杂,大多已有方法严重依赖标签数据。面对这些挑战,提出一种基于无监督学习的深度多模态配准框架。

内容

1.主要贡献

1)文章提出了一种基于无监督学习的多模态可变形图像配准框架,该框架不需要任何对齐的图像对或解剖学标记数据。

2)文章中所提出的框架针对多模态配准问题首先分别学习不同模态下的图像信息,提取不同分辨率下的图像特征,并通过构建更具辨别力的特征损失映射量,然后对其进行处理,利用最大后验概率求解变形场。

3)文章中提出方法具有普适性,所提出的框架和损失函数可以转移到各种不同模态的医学图像应用 中。

2.网络结构设计

处理流程如下图所示。

网络结构如下图所示。

文中所用的损失函数

在两幅图像中,通过熵以及联合熵的概念反应图像间信息相互包含的程度。互信息越大则表明两幅图像间的相关性越大。对于移动图像( M )、固定图像( F )来说,其互信息表示为:

其中 p(m, f )是 M 和 F 的联合概率分布函数,而 p(m) p( f )分别是 M 和 F 的边缘概率分布函数。当两幅图像相似度越高或重合部分越大时,其相关性越大,互信息越大。

3.实验结果评估标准

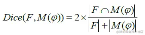
3.1 Dice

Dice 评分是一种集合相似度度量函数,通常用于计算两个样本的相似度。对于医学图像配准来说,如果移动图像通过和变形场拟合得到配准图像,那么配准图像与固定图像之间的医学解剖结构应该可以最大限度的重合,并可量化两幅图像之间的体积重叠,因此通过计算配准后图像与固定图像之间的Dice 值来进行评估最终的配准效果,公式如下:

Dice 得分为1 时表示结构完全重叠,Dice 为0 表示无重叠,在评估中Dice 得分越大越好。

3.2 Grad Det-Jac

为了量化变形场的平滑性,本文定性地显示了变形场的雅可比行列式,同时计算了雅可比行列式 的梯度的平均幅度(Grad Det-Jac),即通过雅可比行列式的梯度的平均幅度来定量表示变形场的平滑性,幅度越小,表示变形场变形越平滑。

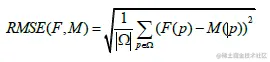
3.3 RMSE

均方误差(Root Mean Square Error):是一种通过对两幅图像中每个像素点对应关系的度量来计算图像相似度的算法。RMSE 越小说明模型选择和拟合更好,数据预测也越成功。RMSE 定义如下:

原文链接