大数据解析:程序员到底能干到多少岁?

347 阅读3分钟

程序员这个职业究竟可以干多少年?

大多数程序员都认为程序员是个吃青春饭的职业,编程这个事只能干到30岁,最多35岁吧。每每听到这样的言论,都让人感到相当的无语……

今天,我们又来谈这个老话题……

首先,我们先来看一篇论文《Is Programming Knowledge Related to Age?》(英文版),这篇论文是两个北卡罗纳州立大学计算机科学系的两个人对StackOverflow.com上的用户做了相关的数据挖掘得出来的一些数据。

(StackOverflow.com上的数据是公开的,任何人都可以用来分析和统计,所以这篇论文的真实性是没问题的)

数据采样和清洗条件如下:(数据全量是1694981用户,平均年龄30.3岁)

01

年龄分布图

我们来看一下他们的年龄分布图:我们可以看到程序员年纪的正态分布(高点在25岁左右,但是中点在29岁左右)

02

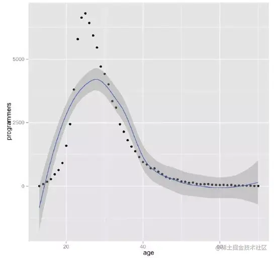
能力和年龄分布图

然后,计算每个人每个月的Reputation,这样可以找到这个用户的真正的活跃时间,这样便于计算这个程序员的真实能力。(总声望/活跃时间),可以得到他平均每个月得来的Reputation。

我们来看看程序员的能力和年龄段的分布图:

上图中我们可以看到,程序员的能力在从25岁左右开始上升,一直到50岁后才会开始下降。所以说,程序员吃的不是青春饭。

只有码农,靠蛮力,用体力而不是用脑力的程序员才是吃青春饭的人。

03

年纪大的人是否跟不上技术更新

论文的作者用了最近5年内比较流行的技术Tag,然后用了一套比较严谨的算法来查看那些所谓的“老程序员”是否在新技术上跟上不了,所谓跟不上,也就是这些老的程序员在回答这些新技术上并不活跃。所谓老,就是37岁以上的程序员。

得到了下表:可以看到,老程序员和年轻的程序员对于一些新技术的学习来说也是差不多的,甚至有些项还超过了年轻的程序员。

结论:论文的结论是:

1、程序员技术能力上升是可以到50岁或60岁的。

2、老程序员在获取新技术上的能力并不比年轻的程序员差。

04

结束语

由上面的数据可以看出,由于如今许多的年轻程序员太浮燥了,才会说30岁是程序员的顶峰。

其实,对于大多数人来说,如果还没有编程到30岁,还不能成为一个“合格”的程序员。所以,并不是编程编到30岁就玩完了,而是编程编到30岁才刚刚入门。

在乐字节小乐身边,就有一些年龄在40以上,并且还对技术保持热衷的“老程序员们”,他们无一不是身怀绝技,在公司身居要职或高管,成为公司最宝贵的技术保障。