如何高效进行模幂运算

1,408 阅读6分钟

读完本文,你可以去力扣拿下如下题目:

372.超级次方

-----------

今天来聊一道与数学运算有关的题目,LeetCode 372 题 Super Pow,让你进行巨大的幂运算,然后求余数。

int superPow(int a, vector<int>& b);

要求你的算法返回幂运算 a^b 的计算结果与 1337 取模(mod,也就是余数)后的结果。就是你先得计算幂 a^b,但是这个 b 会非常大,所以 b 是用数组的形式表示的。

这个算法其实就是广泛应用于离散数学的模幂算法,至于为什么要对 1337 求模我们不管,单就这道题可以有三个难点:

一是如何处理用数组表示的指数,现在 b 是一个数组,也就是说 b 可以非常大,没办法直接转成整型,否则可能溢出。你怎么把这个数组作为指数,进行运算呢?

二是如何得到求模之后的结果?按道理,起码应该先把幂运算结果算出来,然后做 % 1337 这个运算。但问题是,指数运算你懂得,真实结果肯定会大得吓人,也就是说,算出来真实结果也没办法表示,早都溢出报错了。

三是如何高效进行幂运算,进行幂运算也是有算法技巧的,如果你不了解这个算法,后文会讲解。

那么对于这几个问题,我们分开思考,逐个击破。

PS:我认真写了 100 多篇原创,手把手刷 200 道力扣题目,全部发布在 labuladong的算法小抄,持续更新。建议收藏,按照我的文章顺序刷题,掌握各种算法套路后投再入题海就如鱼得水了。

如何处理数组指数

首先明确问题:现在 b 是一个数组,不能表示成整型,而且数组的特点是随机访问,删除最后一个元素比较高效。

不考虑求模的要求,以 b = [1,5,6,4] 来举例,结合指数运算的法则,我们可以发现这样的一个规律:

看到这,我们的老读者肯定已经敏感地意识到了,这就是递归的标志呀!因为问题的规模缩小了:

    superPow(a, [1,5,6,4])
=>  superPow(a, [1,5,6])

那么,发现了这个规律,我们可以先简单翻译出代码框架:

// 计算 a 的 k 次方的结果
// 后文我们会手动实现
int mypow(int a, int k);

int superPow(int a, vector<int>& b) {
    // 递归的 base case
    if (b.empty()) return 1;
    // 取出最后一个数
    int last = b.back();
    b.pop_back();
    // 将原问题化简,缩小规模递归求解
    int part1 = mypow(a, last);
    int part2 = mypow(superPow(a, b), 10);
    // 合并出结果
    return part1 * part2;
}

到这里,应该都不难理解吧!我们已经解决了 b 是一个数组的问题,现在来看看如何处理 mod,避免结果太大而导致的整型溢出。

如何处理 mod 运算

首先明确问题:由于计算机的编码方式,形如 (a * b) % base 这样的运算,乘法的结果可能导致溢出,我们希望找到一种技巧,能够化简这种表达式,避免溢出同时得到结果。

比如在二分查找中,我们求中点索引时用 (l+r)/2 转化成 l+(r-l)/2,避免溢出的同时得到正确的结果。

那么,说一个关于模运算的技巧吧,毕竟模运算在算法中比较常见:

(a * b) % k = (a % k)(b % k) % k

证明很简单,假设:

a = Ak +B;b = Ck + D

其中 A,B,C,D 是任意常数,那么:

ab = ACk^2 + ADk + BCk +BD

ab % k = BD % k

又因为:

a % k = B;b % k = D

所以:

(a % k)(b % k) % k = BD % k

综上,就可以得到我们化简求模的等式了。

换句话说,对乘法的结果求模,等价于先对每个因子都求模,然后对因子相乘的结果再求模

那么扩展到这道题,求一个数的幂不就是对这个数连乘么?所以说只要简单扩展刚才的思路,即可给幂运算求模:

int base = 1337;
// 计算 a 的 k 次方然后与 base 求模的结果
int mypow(int a, int k) {
    // 对因子求模
    a %= base;
    int res = 1;
    for (int _ = 0; _ < k; _++) {
        // 这里有乘法,是潜在的溢出点
        res *= a;
        // 对乘法结果求模
        res %= base;
    }
    return res;
}

int superPow(int a, vector<int>& b) {
    if (b.empty()) return 1;
    int last = b.back();
    b.pop_back();
    
    int part1 = mypow(a, last);
    int part2 = mypow(superPow(a, b), 10);
    // 每次乘法都要求模
    return (part1 * part2) % base;
}

你看,先对因子 a 求模,然后每次都对乘法结果 res 求模,这样可以保证 res *= a 这句代码执行时两个因子都是小于 base 的,也就一定不会造成溢出,同时结果也是正确的。

至此,这个问题就已经完全解决了,已经可以通过 LeetCode 的判题系统了。

但是有的读者可能会问,这个求幂的算法就这么简单吗,直接一个 for 循环累乘就行了?复杂度会不会比较高,有没有更高效地算法呢?

有更高效地算法的,但是单就这道题来说,已经足够了。

因为你想想,调用 mypow 函数传入的 k 最多有多大?k 不过是 b 数组中的一个数,也就是在 0 到 9 之间,所以可以说这里每次调用 mypow 的时间复杂度就是 O(1)。整个算法的时间复杂度是 O(N),N 为 b 的长度。

但是既然说到幂运算了,不妨顺带说一下如何高效计算幂运算吧。

PS:我认真写了 100 多篇原创,手把手刷 200 道力扣题目,全部发布在 labuladong的算法小抄,持续更新。建议收藏,按照我的文章顺序刷题,掌握各种算法套路后投再入题海就如鱼得水了。

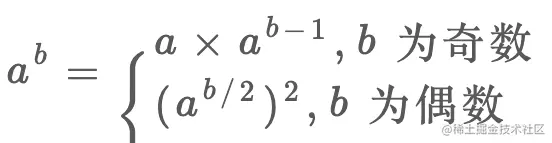
如何高效求幂

快速求幂的算法不止一个,就说一个我们应该掌握的基本思路吧。利用幂运算的性质,我们可以写出这样一个递归式:

这个思想肯定比直接用 for 循环求幂要高效,因为有机会直接把问题规模(b 的大小)直接减小一半,该算法的复杂度肯定是 log 级了。

那么就可以修改之前的 mypow 函数,翻译这个递归公式,再加上求模的运算:

int base = 1337;

int mypow(int a, int k) {
    if (k == 0) return 1;
    a %= base;

    if (k % 2 == 1) {
        // k 是奇数
        return (a * mypow(a, k - 1)) % base;
    } else {
        // k 是偶数
        int sub = mypow(a, k / 2);
        return (sub * sub) % base;
    }
}

虽然对于题目,这个优化没有啥特别明显的效率提升,但是这个求幂算法已经升级了,以后如果别人让你写幂算法,起码要写出这个算法。

至此,Super Pow 就算完全解决了,包括了递归思想以及处理模运算、幂运算的技巧,可以说这个题目还是挺有意思的,你有什么有趣的题目,不妨留言分享一下。

_____________

我的 在线电子书 有 100 篇原创文章,手把手带刷 200 道力扣题目,建议收藏!对应的 GitHub 算法仓库 已经获得了 70k star,欢迎标星!