数据结构与算法系列之链表操作全集(二)(GO)

225 阅读3分钟

以下完整的代码,及测试代码均可从这里获取github

常见的链表操作

单链表反转

方法一:就地反转法
思路

就地反转法,找一个空的节点来充当新的头结点(类似哨兵),然后遍历链表中每一个结点,将每一次遍历到的结点都插入到新的头结点后边,过程如下:

核心代码
  1. prev指针指向下一次需要反转的节点
  2. pcur指向待反转的节点
  3. 将待反转节点插入到newHead后边
prev.Next = pcur.Next
pcur.Next = newHead.Next
newHead.Next = pcur
pcur = prev.Next
完整实现
func (list *List) ReverseList() {
 if list.headNode == nil {
  fmt.Println("链表为空")
  return
 }

 newHead := &Node{}
 newHead.Next = list.headNode
 prevNode := newHead.Next
 currentNode := prevNode.Next

 for currentNode != nil {
  prevNode.Next = currentNode.Next
  currentNode.Next = newHead.Next
  newHead.Next = currentNode
  currentNode = prevNode.Next
 }
 list.headNode = newHead.Next
}
方法二:头插法
思路

这种方法比较简单,就是创建一个新的链表,将待反转的链表的每一个节点,通过头插法的方式,插入到新的链表中(关于单向链表、双向链表、循环链表、双向循环链表的操作,可以看我的上一篇文章)

核心代码
  1. pcur指向当前要插入的节点
  2. pnext指向下一个要插入的节点
  3. newHead为新链表的头结点
1 pnext = pcur.next
2 pcur.Next = newHead.Next
3 newHead.Next = pcur
4 pcur = pnext
完整实现
func (list *List) ReverseListHead() {
 if list.headNode == nil {
  fmt.Println("链表为空")
  return
 }

 newList := &List{}
 currentNode := list.headNode
 nextNode := currentNode.Next
 for currentNode!=nil {
  if newList.headNode == nil {
   newList.headNode = currentNode
   newList.headNode.Next = nil
   currentNode = nextNode
   continue
  }
  nextNode = currentNode.Next
  currentNode.Next = newList.headNode
  newList.headNode = currentNode
  currentNode = nextNode
 }

 fmt.Println("反转后")
 newList.Traverse()
}

循环链表中环的检测

思路

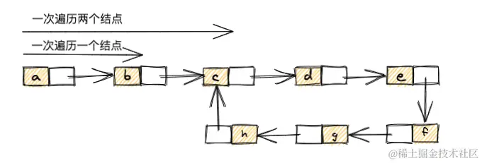
最简单的方式,通过快慢指针的方式处理。有两个指针lowPtr和fastPtr,它们同时从头结点开始遍历链表中的所有结点。lowPtr为慢指针,一次遍历一个结点;fastPtr为快指针,一次遍历两个结点

如果链表中没有环,则fastPtr和lowPtr会先后遍历完所有的结点

如果链表中有环,则快慢指针会先后进入到环中,并且一定会在某一个结点相遇。如果相遇,则该链表中是有环的

代码实现
func (list List) CheckRing() bool {
 if list.headNode == nil {
  fmt.Println("链表为空")
  return false
 }

 low := list.headNode
 fast := list.headNode
 for fast.Next != nil {
  low = low.Next
  fast = fast.Next.Next

  //为了防止for中fast.Next出现nil取Next,这里先做个判断
  if fast == nil {
   return false
  }
  if low == fast {
   return true
  }
 }

 return false
}

用单向循环链表解决:约瑟夫问题

什么是约瑟夫问题

假设有n个人围成一圈,然后对每个人按顺序编号1,2,3,…,n,规定从1号按顺序开始报数,报到k的人出局,之后下一个人再从1开始报数,报到k的人在出局,一直进行下去,问:最后一个出局者为几号?

思路

解法有很多,但是最简单的方式,还是通过单向循环链表来解决。约瑟夫问题首先是一个环,环形链表恰好就非常适合来处理环形问题,将n个人看做环形链表中的每一个结点,当报到k之后便将该结点(人)从循环链表中删除,然后接着从下一个结点继续报数,直到链表为空

代码实现
func (list *List) DealJosephCircle(number int) []interface{} {
 var data []interface{}
 index := 1
 currentNode := list.headNode
 preNode := list.headNode
 for preNode.Next != list.headNode {
  preNode = preNode.Next //刚开始,使preNode指向最后一个节点
 }

 for currentNode.Next != currentNode {
  if index == number {
   //删除结点,其实不用考虑是不是头结点或尾结点
   data = append(data, currentNode.Data)
   preNode.Next = currentNode.Next
   currentNode = preNode.Next
   index = 1

   continue
  } else {
   index++
  }
  preNode = currentNode
  currentNode = currentNode.Next
 }
 data = append(data, currentNode.Data)
 currentNode = nil

 return data
}