十八般武艺玩转GaussDB(DWS)性能调优(二):坏味道SQL识别

1,477 阅读11分钟

摘要:那些会导致执行效率低下的SQL语句及其执行方式,我们称之为SQL中的“坏味道”。

◆ 什么是SQL中的坏味道

SQL语言是关系型数据库(RDB)的标准语言,其作用是将使用者的意图翻译成数据库能够理解的语言来执行。人类之间进行交流时,同样的意思用不同的措辞会产生不同的效果。类似地,人类与数据库交流信息时,同样的操作用不同的SQL语句来表达,也会导致不同的效率。而有时同样的SQL语句,数据库采用不同的方式来执行,效率也会不同。那些会导致执行效率低下的SQL语句及其执行方式,我们称之为SQL中的“坏味道”。

下面这个简单的例子,可以说明什么是SQL中的坏味道。

图1-a 用union合并集合

在上面的查询语句中,由于使用了union来合并两个结果集,在合并后需要排序和去重,增加了开销。实际上符合dept_id = 1和dept_id > 2的结果间不会有重叠,所以完全可以用union all来合并,如下图所示。

图1-b 用union all合并集合

而更高效的做法是用or条件,在扫描的时候直接过滤出所需的结果,不但节省了运算,也节省了保存中间结果所需的内存开销,如下图所示。

图1-c 用or条件来过滤结果

可见完成同样的操作,用不同的SQL语句,效率却大相径庭。前两条SQL语句都不同程度地存在着“坏味道”。

对于这种简单的例子,用户可以很容易发现问题并选出最佳方案。但对于一些复杂的SQL语句,其性能缺陷可能很隐蔽,需要深入分析才有可能挖掘出来。这对数据库的使用者提出了很高的要求。即便是资深的数据库专家,有时也很难找出性能劣化的原因。

GaussDB在执行SQL语句时,会对其性能表现进行分析和记录,通过视图和函数等手段呈现给用户。本文将简要介绍如何利用GaussDB提供的这些“第一手”数据,分析和定位SQL语句中存在的性能问题,识别和消除SQL中的“坏味道”。

◆ 识别SQL坏味道之自诊断视图

GaussDB在执行SQL时,会对执行计划以及执行过程中的资源消耗进行记录和分析,如果发现异常情况还会记录告警信息,用于对原因进行“自诊断”。用户可以通过下面的视图查询这些信息:

• gs_wlm_session_info

• pgxc_wlm_session_info

• gs_wlm_session_history

• pgxc_wlm_session_history

其中gs_wlm_session_info是基本表,其余3个都是视图。gs_开头的用于查看当前CN节点上收集的信息,pgxc_开头的则包含集群中所有CN收集的信息。各表格和视图的定义基本相同,如下表所示。

表1 自诊断表格&函数字段定义

其中的query字段就是执行的SQL语句。通过分析每个query对应的各字段,例如执行时间,内存,IO,下盘量和倾斜率等等,可以发现疑似有问题的SQL语句,然后结合query_plan(执行计划)字段,进一步地加以分析。特别地,对于一些在执行过程中发现的异常情况,warning字段还会以human-readable的形式给出告警信息。目前能够提供的自诊断信息如下:

◇多列/单列统计信息未收集

优化器依赖于表的统计信息来生成合理的执行计划。如果没有及时对表中各列收集统计信息,可能会影响优化器的判断,从而生成较差的执行计划。如果生成计划时发现某个表的单列或多列统计信息未收集,warning字段会给出如下告警信息:

Statistic Not Collect:
schemaname.tablename(column name list)

此外,如果表格的统计信息已收集过(执行过analyze),但是距离上次analyze时间较远,表格内容发生了很大变化,可能使优化器依赖的统计信息不准,无法生成最优的查询计划。针对这种情况,可以用pg_total_autovac_tuples系统函数查询表格中自从上次分析以来发生变化的元组的数量。如果数量较大,最好执行一下analyze以使优化器获得最新的统计信息。

◇SQL未下推

执行计划中的算子,如果能下推到DN节点执行,则只能在CN上执行。因为CN的数量远小于DN,大量操作堆积在CN上执行,会影响整体性能。如果遇到不能下推的函数或语法,warning字段会给出如下告警信息:

SQL is not plan-shipping, reason : %s

◇Hash连接大表做内表

如果发现在进行Hash连接时使用了大表作为内表,会给出如下告警信息:

PlanNode[%d] Large Table is INNER in HashJoin \"%s\"

目前“大表”的标准是平均每个DN上的行数大于100,000,并且内表行数是外表行数的10倍以上。

◇大表等值连接使用NestLoop

如果发现对大表做等值连接时使用了NestLoop方式,会给出如下告警信息:

PlanNode[%d] Large Table with Equal-Condition use Nestloop\"%s\"

目前大表等值连接的判断标准是内表和外表中行数最大者大于DN的数量乘以100,000。

◇数据倾斜

数据在DN之间分布不均匀,可导致数据较多的节点成为性能瓶颈。如果发现数据倾斜严重,会给出如下告警信息:

PlanNode[%d] DataSkew:\"%s\", min_dn_tuples:%.0f, max_dn_tuples:%.0f

目前数据倾斜的判断标准是DN中行数最多者是最少者的10倍以上,且最多者大于100,000。

◇代价估算不准确

GaussDB在执行SQL语句过程中会统计实际付出的代价,并与之前估计的代价比较。如果优化器对代价的估算与实际的偏差很大,则很可能生成一个非最优化的计划。如果发现代价估计不准确,会给出如下告警信息:

"PlanNode[%d] Inaccurate Estimation-Rows: \"%s\" A-Rows:%.0f, E-Rows:%.0f

目前的代价由计划节点返回行数来衡量,如果平均每个DN上实际/估计返回行数大于100,000,并且二者相差10倍以上,则认定为代价估算不准。

◇Broadcast量过大

Broadcast主要适合小表。对于大表来说,通常采用Hash+重分布(Redistribute)的方式效率更高。如果发现计划中有大表被广播的环节,会给出如下告警信息:

PlanNode[%d] Large Table in Broadcast \"%s\"

目前对大表广播的认定标准为平均广播到每个DN上的数据行数大于100,000。

◇索引设置不合理

如果对索引的使用不合理,比如应该采用索引扫描的地方却采用了顺序扫描,或者应该采用顺序扫描的地方却采用了索引扫描,可能会导致性能低下。

索引扫描的价值在于减少数据读取量,因此认为索引扫描过滤掉的行数越多越好。如果采用索引扫描,但输出行数/扫描总行数>1/1000,并且输出行数>10000(对于行存表)或>100(对于列存表),则会给出如下告警信息:

PlanNode[%d] Indexscan is not properly used:\"%s\", output:%.0f, filtered:%.0f, rate:%.5f

顺序扫描适用于过滤的行数占总行数比例不大的情形。如果采用顺序扫描,但输出行数/扫描总行数<=1/1000,并且输出行数<=10000(对于行存表)或<=100(对于列存表),则会给出如下告警信息:

PlanNode[%d] Indexscan is ought to be used:\"%s\", output:%.0f, filtered:%.0f, rate:%.5f

◇下盘量过大或过早下盘

SQL语句执行过程中,因为内存不足等原因,可能需要将中间结果的全部或一部分转储的磁盘上。下盘可能导致性能低下,应该尽量避免。如果监测到下盘量过大或过早下盘等情况,会给出如下告警信息:

• Spill file size large than 256MB

• Broadcast size large than 100MB

• Early spill

• Spill times is greater than 3

• Spill on memory adaptive

• Hash table conflict

下盘可能是因为缓冲区设置得过小,也可能是因为表的连接顺序或连接方式不合理等原因,要结合具体的SQL进行分析。可以通过改写SQL语句,或者HINT指定连接方式等手段来解决。

使用自诊断视图功能,需要将以下变量设成合适的值:

▲ use_workload_manager(设成on,默认为on)

▲ enable_resource_check(设成on,默认为on)

▲ resource_track_level(如果设成query,则收集query级别的信息,如果设成operator,则收集所有信息,如果设成none,则以用户默认的log级别为准)

▲ resource_track_cost(设成合适的正整数。为了不影响性能,只有执行代价大于resource_track_cost语句才会被收集。该值越大,收集的语句越少,对性能影响越小;反之越小,收集的语句越多,对性能的影响越大。)

执行完一条代价大于resource_track_cost后,诊断信息会存放在内存hash表中,可通过pgxc_wlm_session_history或gs_wlm_session_history视图查看。

视图中记录的有效期是3分钟,过期的记录会被系统清理。如果设置enable_resource_record=on,视图中的记录每隔3分钟会被转储到gs_wlm_session_info表中,因此3分钟之前的历史记录可以通过gs_wlm_session_info表或pgxc_wlm_session_info视图查看。

◆ 发现正在运行的SQL的坏味道

上一节提到的自诊断视图可以显示已完成SQL的信息。如果要查看正在运行的SQL的情况,可以使用下面的视图:

• gs_wlm_session_statistics

• pgxc_wlm_session_statistics

类似地,gs_开头的用于查看当前CN节点上收集的信息,pgxc_开头的则包含集群中所有CN收集的信息。两个视图的定义与上一节的自诊断视图基本相同,使用方法也基本一致。 通过观察其中的字段,可以发现正在运行的SQL中存在的性能问题。

例如,通过“select queryid, duration from gs_wlm_session_statistics order by duration desc limit 10;”可以查询当前运行的SQL中,已经执行时间最长的10个SQL。如果时间过长,可能有必要分析一下原因。

![](https://pic3.zhimg.com/80/v2-3ca938ff19d920e2513c7af1ff6559ce_720w.jpg)

图2-a 通过gs_wlm_session_statistics视图发现可能hang住SQL

查到queryid后,可以通过query_plan字段查看该SQL的执行计划,分析其中可能存在的性能瓶颈和异常点。

图2-b 通过gs_wlm_session_statistics视图查看当前SQL的执行计划

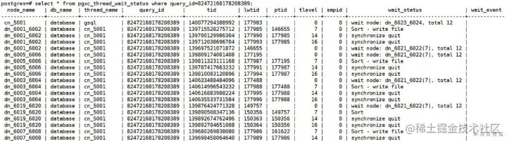
再下一步,可以结合等待视图等其他手段定位性能劣化的原因。

图2-c 通过gs_wlm_session_statistics视图结合等待视图定位性能问题

另外,活动视图pg_stat_activity也能提供一些当前执行SQL的信息。

◆ Top SQL——利用统计信息发现SQL坏味道

除了针对逐条SQL进行分析,还可以利用统计信息发现SQL中的坏味道。另一篇文章“Unique SQL特性原理与应用”中提到的Unique SQL特性,能够针对执行计划相同的一类SQL进行了性能统计。

与自诊断视图不同的是,如果同一个SQL被多次执行,或者多个SQL语句的结构相同,只有条件中的常量值不同。这些SQL在Unique SQL视图中会合并为一条记录。因此使用Unique SQL视图能更容易看出那些类型的SQL语句存在性能问题。

利用这一特性,可以找出某一指标或者某一资源占用量最高/最差的那些SQL类型。这样的SQL被称为“Top SQL”。例如,查找占用CPU时间最长的SQL语句,可以用如下SQL:

select unique_sql_id,query,cpu_time from pgxc_instr_unique_sql order by cpu_time desc limit 10

Unique SQL的使用方式详见bbs.huaweicloud.com/blogs/19729…

◆ 结论

发现SQL中的坏味道是性能调优的前提。GaussDB对数据库的运行状况进行了SQL级别的监控和记录。这些打点记录的数据可以帮助用户发现可能存在的异常情况,“嗅”出潜在的坏味道。从这些数据和提示信息出发,结合其他视图和工具,可以定位出坏味道的来源,进而有针对性地进行优化。

点击关注,第一时间了解华为云新鲜技术~