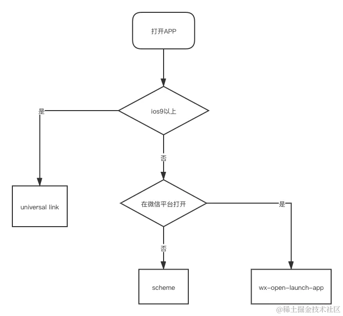
打开APP功能梳理 玖头爱学习 2020-10-28 171 阅读1分钟 流程图 universal link 触发条件 参考文章: www.jianshu.com/p/0ead88409… blog.csdn.net/zy128153962…