本文在官方文档基础上融入个人理解,算是个新手教程,面向小白,如有出入,各位轻喷
[toc]
echarts图表绘制
echart绘图步骤
1.建立dom 容器(必须指定元素宽高)
2.引入 ECharts(CDN/npm都行)
3.实例化echarts
`echarts.init(dom);`
4.建立图表配置项(就是图表建立工程)
- 建立坐标系
- 定义系列点
- 数据
- 图表类型
- 系列图形样式设置
- 组件装配
5.显示图表
myChart.setOption(option);
<style>
#main{
width: 700px;
height: 500px;
}
</style>
<!--建立dom 容器-->
<div id="main"></div>
<!--引入echarts-->
<script src="https://lib.baomitu.com/echarts/4.7.0/echarts.min.js"></script>
<script>
/*基于准备好的dom,初始化echarts实例
* echarts.init(dom)
* */
const dom=document.getElementById('main');
const myChart=echarts.init(dom);
/*指定图表的option 配置项和数据
* xAxis x轴 {}
* data 类目数据
* yAxis y轴 {}
* series 系列列表
* type 图表类型
* data 数据,与xAxis.data 相对应
* */
const option={
xAxis:{
data:['html','css','js']
},
yAxis:{},
series:{
type:'bar',
data:[30,20,40]
}
}
/*使用刚指定的配置项和数据显示图表
* setOption(option)
* */
myChart.setOption(option);
</script>
echart坐标系图表类型和组件
echarts中所有图表(坐标系/类型/组件)都是通过定义配置项option来完成的,具体用法官网有说明,用到的时候直接CV就好,这里就不一一举例了
需要注意的是像地图,树图等需要先获得数据再进行配置,或者先进行配置画图,数据完成后再setOption下,细节部分请看高级应用的异步数据
- 坐标系
-
图表类型
下图为各图表示意图及type属性名
-
图表组件
下图为可能用到的组件(组件在echarts中指的是option配置项),如果你经常和excel或者PPT打交道,前6个想必应该很熟悉吧:
- 标题和图列:就不用多说和说法excel完全一致;
- 提示框:类比excel图表就是数据标签;
- 标注:这个excel没有,是在菜单栏插入-->形状-->标注,通常对于某一数据特别说明
- 标线:类比excel中的数据中的标准线
- 标语:这个excel没有,PPT里常用在菜单栏插入-->形状-->矩形(置于底层),突出数据
echarts常用图表
在处理分析数据过程中,常用图表如下
-
柱状图和折线图:直观的说明数据和相关因素的关系
-
散点图:直观反映在坐标系中位置或者分析数据的聚集状况
-
饼图:直观反映各项因子占比
-
雷达图:直观反映某个项目中,各部分实力情况
-
K线图:股票用
-
树图:思维导图
-
地图:地理区域数据的可视化
echarts高级应用
多坐标轴
多坐标轴的常见应用就是一个图表有两个y 轴。
- 设置两个y轴,y轴的刻度线个数保持一致
- series设置两个,通过yAxisIndex 将series和yAxis对应
对于坐标轴需重点了解yAxisIndex(series),下面的例子很好的说明
/*指定图表的配置项和数据*/
const option = {
/*图例*/
legend: {
data: ['学习人数', '就业人数']
},
/*提示*/
tooltip: {},
/*x 轴*/
xAxis: {
data: ['html', 'css', 'js']
},
/*y 轴
* name 坐标轴名称
* min 刻度最小值
* max 刻度最大值
* */
yAxis: [
{
name: '就业人数',
min: 0,
max: 1000
},
{
name: '学习人数',
min: 0,
max: 50
},
],
/*系列列表 series
* yAxisIndex 当前系列对应的y 轴的索引位置
* */
series: [{
name: '学习人数',
type: 'bar',
data: [30, 20, 40],
yAxisIndex: 1
},
{
name: '就业人数',
type: 'line',
data: [330, 450, 850],
yAxisIndex: 0
}
]
};
异步数据
请求数据的方式:ajax、fetch 都可以,这是js 基础,就不再多说。
数据的更新有两种思路:
- 请求到数据后,setOption()
fetch('./data/China.json')
.then((res) => res.json())
.then(data => {
/*注册地图*/
echarts.registerMap('china', data);
/*配置项*/
const option = {
title: {
text: '中国地图',
left:'center'
},
series: {
type: 'map',
map: 'china'
}
};
/*基于配置项显示图表*/
myChart.setOption(option);
})
- 先setOption(),有什么先配置什么。等请求到数据后,再追加配置
myChart.setOption({
title: {
text: '中国地图',
left:'center'
}
});
myChart.showLoading();
fetch('./data/China.json')
.then((res) => res.json())
.then(data => {
myChart.hideLoading();
/*注册地图*/
echarts.registerMap('china', data);
/*等请求到数据后,追加配置*/
myChart.setOption({
series: {
type:'map',
map:'china',
}
});
})
注:在数据加载的过程中,还可以使用echarts 实例对象的loading 功能
-
显示 loading:
myChart.showLoading() -
隐藏 loading:
myChart.hideLoading()
数据集
dataset 数据集组件是从ECharts 4 开始有的,用于数据管理。
dataset 的优点:
- 基于原始数据,设置映射关系,形成图表。
- 数据和配置分离,便于单独管理。
- 数据可以被多个系列或者组件复用。
- 支持更多的数据的常用格式,例如二维数组、对象数组等。
对于数据集需要重点理解 类目轴 category 和 系列 series
数据格式说明
dataset.source
//原始数据可以有以下三种形式
/*
*形式一:二维数组
*可以将数据当成表格,第一行数据是定义系列 series,第一列数据定义的是类目轴 category(默认,可通过seriesLayoutBy修改)
*/
dataset.source=[
['product', '2015', '2016', '2017'],//其中第一行/列可以给出维度名,第一行表示图例,可以不填;第一列表示x轴类目,必填
['Matcha Latte', 43.3, 85.8, 93.7],
['Milk Tea', 83.1, 73.4, 55.1],
['Cheese Cocoa', 86.4, 65.2, 82.5],
['Walnut Brownie', 72.4, 53.9, 39.1]
]
/*
*形式二:按行的key-value 形式(对象数组)
*数组中每个对象第一个属性 定义的是类目轴 category,之后每一个key定义 系列 series(默认,可通过seriesLayoutBy修改)
*/
dataset.source=[
{product: 'Matcha Latte', count: 823, score: 95.8},
{product: 'Milk Tea', count: 235, score: 81.4},
{product: 'Cheese Cocoa', count: 1042, score: 91.2},
{product: 'Walnut Brownie', count: 988, score: 76.9}
]
/*
*形式三:按列的 key-value 形式,每一项表示二维表的 “一列”:
*对象第一个属性 定义的是类目轴 category ,之后每一个key定义 系列 series(默认,可通过seriesLayoutBy修改)
*/
dataset.source={
'product': ['Matcha Latte', 'Milk Tea', 'Cheese Cocoa', 'Walnut Brownie'],
'count': [823, 235, 1042, 988],
'score': [95.8, 81.4, 91.2, 76.9]
}
数据集简单案例
//数据源
const source=[
['大前端','学习人数','就业人数'],
['html', 30, 40],
['css', 20, 30],
['js', 40, 50],
]
// 指定图表的配置项和数据
const option = {
tooltip:{},
legend:{data:['学习人数','就业人数']},
/*
* dataset数据集
* source 数据源 []
* */
dataset:{source},
/*x轴
* type 轴的类型
* category 类目轴,离散型数据
* value 数值轴,连续性数据
* */
xAxis:{
type:'category'
},
//xAxis:{
// type: 'value'
//},
/*系列列表*/
yAxis:{
type: 'value'
},
//yAxis:{
// type:'category'
//},
series:[
{type:'bar'},
{type:'bar'},
]
};
| 轴类型 | y轴是类目轴 | x轴是类目轴 |
|---|---|---|
| xAxis | type: 'value' | type:'category' |
| yAxis | type:'category' | type: 'value' |
| 图表 |
我们制作数据可视化图表的逻辑是这样的:基于数据,在配置项中指定如何映射到图形。 概略而言,可以进行这些映射:
- 指定 dataset 的列(column)还是行(row)映射为图形系列(series)。这件事可以使用
series.seriesLayoutBy属性来配置。默认是按照列(column)来映射。- 指定维度映射的规则:如何从 dataset 的维度(一个“维度”的意思是一行/列)映射到坐标轴(如 X、Y 轴)、提示框(tooltip)、标签(label)、图形元素大小颜色等(visualMap)。这件事可以使用
series.encode属性,以及visualMap组件(如果有需要映射颜色大小等视觉维度的话)来配置。上面的例子中,没有给出这种映射配置,那么 ECharts 就按最常见的理解进行默认映射:X 坐标轴声明为类目轴,默认情况下会自动对应到 dataset.source 中的第一列;三个柱图系列,一一对应到 dataset.source 中后面每一列。
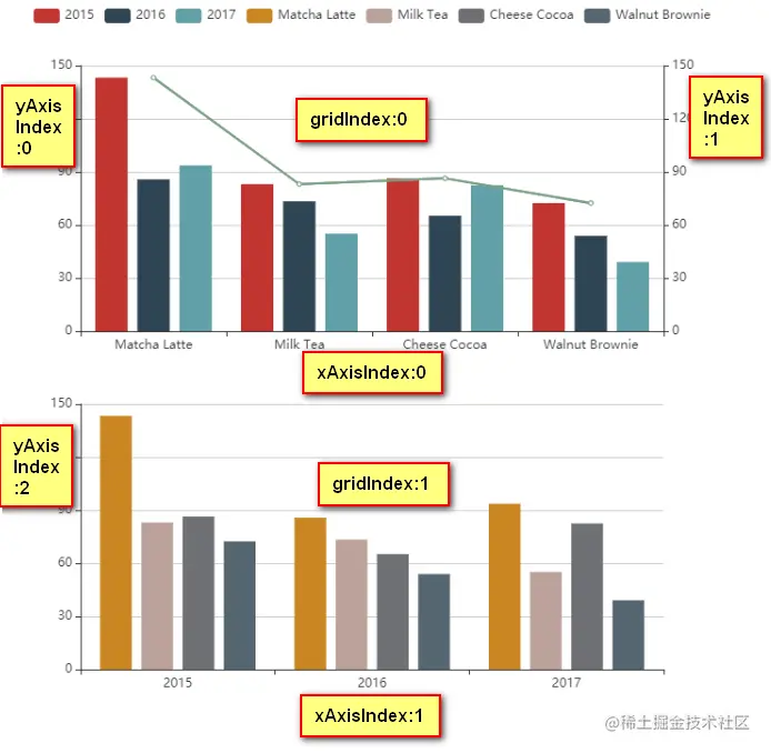
行列映射
行列映射就是把数据集( dataset )的行或列映射为系列(series),配置步骤如下
1.定义两个坐标系
//gridIndex : x/y 轴所在的 grid 的索引,默认位于第一个 grid,值为0。
grid: [
{bottom: '55%'},
{top: '55%'}
],
xAxis: [
{type: 'category', gridIndex: 0},
{type: 'category', gridIndex: 1}
],
yAxis: [
{gridIndex: 0},
{gridIndex: 1}
],
2.定义系列的数据
series: [
// These series are in the first grid.
{type: 'bar', seriesLayoutBy: 'row'},
{type: 'bar', seriesLayoutBy: 'row'},
{type: 'bar', seriesLayoutBy: 'row'},
// These series are in the second grid.
{type: 'bar', xAxisIndex: 1, yAxisIndex: 1},
{type: 'bar', xAxisIndex: 1, yAxisIndex: 1},
{type: 'bar', xAxisIndex: 1, yAxisIndex: 1},
{type: 'bar', xAxisIndex: 1, yAxisIndex: 1},
]
案例
const source = [
['product', '2015', '2016', '2017'],
['Matcha Latte', 143.3, 85.8, 93.7],
['Milk Tea', 83.1, 73.4, 55.1],
['Cheese Cocoa', 86.4, 65.2, 82.5],
['Walnut Brownie', 72.4, 53.9, 39.1]
];
const option = {
legend:{},
dataset:{source},
xAxis:[
{type:'category',gridIndex:0},
{type:'value',gridIndex:1},
],
yAxis:[
{type:'value',gridIndex:0},
{type:'value',gridIndex:0},
{type:'category',gridIndex:1},
],
grid:[
{bottom:'55%'},
{top:'55%'}
],
series:[
/*
*第一个坐标系上的图表
*/
{type:'bar',xAxisIndex:0,yAxisIndex:0},
{type:'bar',xAxisIndex:0,yAxisIndex:0},
{type:'bar',xAxisIndex:0,yAxisIndex:0},
{type:'line',xAxisIndex:0,yAxisIndex:1},
{type:'line',xAxisIndex:0,yAxisIndex:1},
{type:'line',xAxisIndex:0,yAxisIndex:1},
/*
*第二个坐标系上的图表
*/
//更改为by行的数据进行图表绘制的
{type:'bar',xAxisIndex:1,yAxisIndex:2,seriesLayoutBy:'row'},
{type:'bar',xAxisIndex:1,yAxisIndex:2,seriesLayoutBy:'row'},
{type:'bar',xAxisIndex:1,yAxisIndex:2,seriesLayoutBy:'row'},
{type:'bar',xAxisIndex:1,yAxisIndex:2,seriesLayoutBy:'row'},
]
}
myCharts.setOption(option);
维度映射
数据集的维度指的就是每个系列的名称name。
维度映射作用:对数据的维度信息统一定义和管理。
ECharts 默认会从 dataset.source 的第一行中获取维度名称。
但是,如果在dataset 里指定了 dimensions,那么 ECharts 不再会自动从 dataset.source 中获取维度信息。
/*dimensions中定义维度集合,值如下
* null:不为此处维度作定义
* {type: 'ordinal'}:只定义维度类型,type 有以下几种类型
* number:默认,表示普通数字
* ordinal:离散型,一般文本使用这种类型,echarts 会自动判断此类型。
* float:Float64Array 浮点型
* int:Int32Array 整形
* {name: 'good', type: 'number'}:维度名称、维度类型都有
* 'bad' :只指定维度名称,等同于 {name: 'bad’}
*/
dimensions: [ null, {type: 'ordinal'}, {name: 'good', type: 'number'}, 'bad' ]
维度映射步骤:
1.通过dimensions设置维度集
2.加入到dataset对象中
/*
案例:数据源未定义维度信息,通过dimensions设置维度集
*/
//数据源
const source=[
['html', 20, 25],
['css', 10, 15],
['js', 30, 40]
];
//维度集 dimensions
const dimensions=['大前端',null, '就业人数'];
// const dimensions=['大前端',{name:'学习人数'}, '就业人数'];
// const dimensions=['大前端','学习人数', '就业人数'];
// 指定图表的配置项和数据
const option = {
legend: {},
tooltip: {},
dataset: {source,dimensions},
xAxis: {},
yAxis: {type: 'category'},
series: [
{type: 'bar'},
{type: 'bar'},
]
};
编码映射
编码映射就是将x/y轴换成我们想要的维度的数据,通过下面的案例可以感受下什么是编码映射
区域缩放
作用:概览整体,观察细节
区域缩放的方式:
-
框选型数据区域缩放组件(dataZoomSelect):提供一个选框进行数据区域缩放。即 toolbox.feature.dataZoom,配置项在 toolbox 中。
-
内置型数据区域缩放组件(dataZoomInside):内置于坐标系中,使用户可以在坐标系上通过鼠标拖拽、鼠标滚轮、手指滑动(触屏上)来缩放或漫游坐标系。
-
滑动条型数据区域缩放组件(dataZoomSlider):有单独的滑动条,用户在滑动条上进行缩放或漫游
| 框选型数据区域缩放组件(dataZoomSelect) | 内置型数据区域缩放组件(dataZoomInside) | 滑动条型数据区域缩放组件(dataZoomSlider) |
|---|---|---|
toolbox:{feature:{dataZoom: {}}} | dataZoom:[{type:'inside'}] | dataZoom:[{type:'slider'}] |
//数据源
const source = [
//x y z
[2, 1, 5],
[4, 2, 10],
[6, 3, 15],
[8, 4, 20],
[10, 5, 25],
[12, 6, 30],
[14, 7, 35],
[16, 8, 40],
[18, 9, 45],
];
// 指定图表的配置项和数据
const option = {
tooltip: {},
/*工具栏 toolbox
* feature{} 工具配置项
* dataZoom{} 框选型缩放缩放
* */
toolbox:{
feature:{
dataZoom: {}
}
},
/*
* x 轴
* min 最小值
* dataMin 取所有数据中的最小值
* max 最大值
* dataMax 取所有数据中的最大值
* */
xAxis: {
type: 'value',
min: 'dataMin',
max: 'dataMax',
},
yAxis: {
type: 'value',
min: 'dataMin',
max: 'dataMax',
},
/*
* dataZoom 区域缩放 [{},{}]
* type 缩放方式
* inside 内置缩放,通过鼠标的平移缩放实现
* slider 滑动条缩放
* xAxisIndex 缩放作用于哪个x轴
* yAxisIndex 缩放作用于哪个y轴
* start 起始位,百分百 [0,100]
* end 结束位,百分百 [0,100]
* */
dataZoom:[
{
type:'inside',
// start:50,
// end:80,
},
// {
// type:'slider',
// // start:50,
// // end:80,
// xAxisIndex:0
// },
// {
// type:'slider',
// // start:50,
// // end:80,
// yAxisIndex:0
// },
],
/*数据集*/
dataset:{source},
/*系列列表*/
series: [
{
type: 'scatter',
symbolSize: function (param) {
console.log(param)
return param[2];
},
},
]
};
视觉映射
visualMap 视觉映射可以让项目的数据和颜色、大小等属性相关联。
举个例子:
source = [
[1, 1, 5],
[2, 2, 9]
]
数据源source 的第一列和第二列分别对应散点在直角坐标系中的x、y 信息,第三列则默认对应visualMap 。
若果我设置一个从绿色到红色的渐变区间,那么1 就对应绿色,9 就对应红色。
注意:visualMap 以前叫dataRange,如果你看到了比较老的教程或博客,里面有dataRange,要知道那就是视觉映射 visualMap
* visualMap 视觉映射 {}
* type 映射方式
* continuous 连续型
* piecewise 分段型
* min 映射区间的起始位置,如0
* max 映射区间的接收位置,如90
* calculable 是否显示拖拽用的手柄,只适用于连续型
* range [] 显示此范围内的项目,百分比类型,只适用于连续型,如[0,100]
* dimension 基于哪个维度的数据进行视觉映射
* inRange 自定义取色范围
* color[] 颜色映射
* symbolSize[] 大小映射
*
* */
visualMap:{
type:'continuous',
min:0,
// max:10,
max:100,
// dimension:1,
//10/(100-0)=0.1
inRange:{
color:['#00acec','yellow','maroon'],
//0.1*(50-3)+3
symbolSize:[3,50]
}
// show:false
},
事件
鼠标事件
-
ECharts 使用on 绑定事件,事件名称对应 DOM 事件名称,均为小写的字符串
-
ECharts 支持常规的鼠标事件类型,包括
'click'、'dblclick'、'mousedown'、'mousemove'、'mouseup'、'mouseover'、'mouseout'、'globalout'、'contextmenu'事件。 -
所有的鼠标事件包含参数 params,类似于dom事件的event
//点击图表中系列触发事件
myChart.on('click', function (params) {
// 控制台打印数据的名称
console.log(params);
});
//图例开关的行为会触发 legendselectchanged
myChart.on('legendselectchanged', function (params) {
// 获取点击图例的选中状态
let isSelected = params.selected[params.name];
// 在控制台中打印
console.log((isSelected ? '选中了' : '取消选中了') + '图例' + params.name);
// 打印所有图例的状态
console.log(params.selected);
});
调用 dispatchAction 后触发的事件
触发echarts图表行为,例如图形的高亮highlight,数据区域缩放dataZoom,显示提示框showTip
mycharts.dispatchAction({
type: 'highlight',
// 可选,系列 index,可以是一个数组指定多个系列
seriesIndex?: number|Array,
// 可选,系列名称,可以是一个数组指定多个系列
seriesName?: string|Array,
// 可选,数据的 index
dataIndex?: number,
// 可选,数据的 名称
name?: string
})
富文本标签
富文本标签,就是内容丰富的文本标签。可以在各处的 rich 属性中定义文本片段样式。例如 series-bar.label.rich
富文本的实现步骤
1.用formatter 写文本片段
formatter:
'{a|文字内容}\n'+
'{b|文字内容}\n'+
'默认样式{x|样式 x}'
相当于:
<span class="a">样式a</span>\n
<span class="b">样式b</span>\n
默认样式 <span class="x">x</span>
2.用rich 设置文本样式
案例
// 基于准备好的dom,初始化echarts实例
const myChart = echarts.init(document.getElementById('main'));
// 数据
const data=[
{name:'杨戬',value:80,img:'./images/yj.jpg'},
{name:'鲁班',value:60,img:'./images/lb.jpg'},
{name:'沈梦溪',value:40,img:'./images/smx.jpg'},
{name:'诸葛亮',value:30,img:'./images/zgl.jpg'}
];
data.forEach(item=>{
setRich(item);
})
function setRich(item){
/*自定义标签 label
* formatter 文本片段
* '{样式名|文字内容}\n 换行'
* 文本块的样式
* textBorderColor 文本描边颜色
* textBorderWidth 文本描边宽度
* ...
* rich 富文本,在其中写入样式
* width 宽
* height 高
* backgroundColor 背景色
* image 背景图
* fontSize 文字大小
* lineHeight 行高
* fontWeight 文本加粗
* ...
* */
item.label={
textBorderColor:'#fff',
textBorderWidth:4,
formatter:'{img|}\n{name|'+item.name+'}\n{val|战力:'+item.value+'}',
rich:{
img:{
width:60,
height:60,
backgroundColor:{
image:item.img
}
},
name:{
fontSize:18,
lineHeight:32
},
val:{
fontSize:14
},
}
}
}
/*配置项*/
const option = {
title:{text:'英雄战力'},
series: {
type: 'pie',
data,
radius:'70%',
}
};
myChart.setOption(option);