【一天一大 lee】环形链表 (难度:简单) - Day20201009

163 阅读2分钟

题目:

给定一个链表,判断链表中是否有环。

如果链表中有某个节点,可以通过连续跟踪 next 指针再次到达,则链表中存在环。 为了表示给定链表中的环,我们使用整数 pos 来表示链表尾连接到链表中的位置(索引从 0 开始)。 如果 pos 是 -1,则在该链表中没有环。注意:pos 不作为参数进行传递,仅仅是为了标识链表的实际情况。

如果链表中存在环,则返回 true 。 否则,返回 false 。

进阶:

你能用 O(1)(即,常量)内存解决此问题吗?

示例:

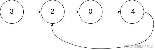
  1. 示例1:
示例1
示例1
输入:head = [3,2,0,-4], pos = 1
输出:true
解释:链表中有一个环,其尾部连接到第二个节点。
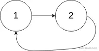
  1. 示例2:
示例2
示例2
输入:head = [1,2], pos = 0
输出:true
解释:链表中有一个环,其尾部连接到第一个节点。
  1. 示例3:
示例3
示例3
输入:head = [1], pos = -1
输出:false
解释:链表中没有环。

提示:

  • 链表中节点的数目范围是 [0, ]
  • <= Node.val <=
  • pos 为 -1 或者链表中的一个 有效索引 。

抛砖引玉

思路

哈希表

  • 遍历链表一个节点就将遍历的节点作为哈希存放到(map、set、object)中
  • 后续又遇到则说明存在环,否则不存在
/**
 * Definition for singly-linked list.
 * function ListNode(val) {
 *     this.val = val;
 *     this.next = null;
 * }
 */

/**
 * @param {ListNode} head
 * @return {boolean}
 */
var hasCycle = function(head) {
  let map = new Map();
  while(head!== null){
    if(map.has(head)) return true
    map.set(head,true)
    head = head.next;
  }
  return false 
};

快慢指针

  • 声明两个指针,两个指针一快一慢(每次next是存在间隔)
  • 如果链表内有环,则两个指针一定会在环内相遇(快指针超过慢指针x圈)
  • 如果最终两指针均遇到终点则说明无环
 var hasCycle = function (head) {
  if (head == null || head.next == null) return false
  let slow = head,
   fast = head.next;
  while (slow != fast) {
   if (fast == null || fast.next == null) return false
   slow = slow.next;
   fast = fast.next.next;
  }
  return true;
 };

公众号:前端小书童

每天的每日一题,写的题解会同步更新到公众号一天一大 lee 栏目 欢迎关注留言