【数据结构】二叉树特性浅析及Java实现DFS、BFS

186 阅读3分钟

1.基本概念

1.1 节点

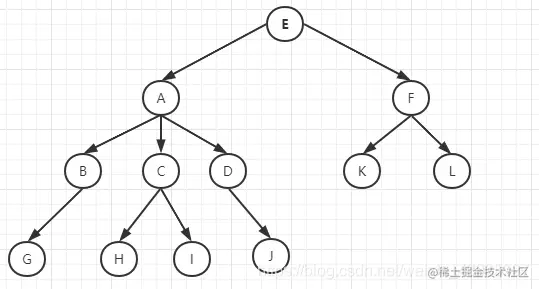
这里放一张图,我们对着这张图来介绍: 在这里插入图片描述

  • A 节点就是 B 节点的父节点,B 节点是 A 节点的子节点
  • B、C、D 这三 个节点的父节点是同一个节点,所以它们之间互称为兄弟节点
  • 我们把没有父节点的节点叫 作根节点,也就是图中的节点 E
  • 我们把没有子节点的节点叫作叶子节点或者叶节点,比如 图中的 G、H、I、J、K、L 都是叶子节点

1.2 高 / 深度

  • 节点的高度:节点到叶子节点的最长路径(边数) 树的高度:根节点的高度
  • 节点的深度:根节点到这个节点所经历的边数个数
  • 节点的层数:节点的深度+1 在这里插入图片描述

2.二叉树分类

2.1 满二叉树

定义:叶子节点全都在最底层,除了叶子节点之外,每个节点都有左 右两个子节点,这种二叉树就叫作满二叉树

在这里插入图片描述

2.2 完全二叉树

定义:叶子节点全都在最底层,除了叶子节点之外,每个节点都有左 右两个子节点,这种二叉树就叫作满二叉树

在这里插入图片描述 完全二叉树说白了,就是按顺序一层一层,从左到右铺下来...

3.二叉树存储

3.1 链式存储

任何树都可以

  • 二叉树:Node left ,right
  • 三叉树:Node left,down,right 在这里插入图片描述

3.2 顺序存储

如果节点 X 存储在数组中下标为 i 的位置

  • 下标为 2 * i 的位置存储的就是左子节点
  • 下标为 2 * i + 1 的位置存储的就是右子节点
  • 下标为 i/2 的位置存储 就是它的父节点

通过这种方式,我们只要知道根节点存储的位置(一般情况下,为了方便 计算子节点,根节点会存储在下标为 1 的位置),这样就可以通过下标计算,把整棵树都串起来。 在这里插入图片描述

4.二叉树遍历:DFS

在采用深度优先遍历(DFS)时,二叉树的遍历一般分为三种:前序遍历,中序遍历,后序遍历。这个前中后怎么理解呢?前中后其实是对于每棵(子)树而言的输出顺序,过程如下图:

在这里插入图片描述 因此后序遍历最复杂,因为不能直接打印或者左子树遍历完就打印,而是需要先把左右树都遍历完再打印。具体的代码实现有两种方式:

  • 递归:内部维护了一个调用栈,易理解,易编码
  • 迭代:需手动维护一个栈,控制其出入栈

DFS的时间复杂度为 O(n) ,因为操作次数与节点个数成正比。

4.1 先序遍历

前序遍历的递推公式: preOrder(r) = print r->preOrder(r->left)->preOrder(r->right)
void preOrder(Node root) {
    if (root == null) return;
    
    System.out.println(root);
    preOrder(root.left);
    preOrder(root.right);
}
void preOrder(Node root) {
    Stack<Node> stack = new Stack<>();
    while (root != null || !stack.isEmpty()) {
        while (root != null) {
            System.out.println(root);
            stack.push(root);
            root = root.left;
        }
        root = stack.pop().right;
    }
}

4.2 中序遍历

中序遍历的递推公式: inOrder(r) = inOrder(r->left)->print r->inOrder(r->right)
void inOrder(Node root) {
    if (root == null) return;
    
    inOrder(root.left);
    System.out.println(root);
    inOrder(root.right);
}
void inOrder(Node root) {
    Stack<Node> stack = new Stack<>();
    // 这里判断了,不用提前判断root==null
    while (root != null || !stack.isEmpty()) {
        // 遍历完当前节点所有左子树
        while (root != null) {
            // 先push
		   stack.push(root);
            root = root.left;
        }
        // 栈顶元素,注:这里是root
	    root = stack.pop();
        System.out.Println(root);
        // 去其右节点 
        root = root.right;
	}
}

4.3 后序遍历

后序遍历的递推公式: postOrder(r) = postOrder(r->left)->postOrder(r->right)->print r
void postOrder(Node root) {
    if (root == null) return;
    
    postOrder(root.left);
    postOrder(root.right);
    System.out.println(root);
}
public List<Integer> postOrder(TreeNode root) {

    List<Integer> res = new ArrayList<>();
    Stack<TreeNode> stack = new Stack<>();
		
    stack.push(root);
    while(!stack.empty()){
        root = stack.pop();
        res.add(0, root.val); // 头插
        if(root.left != null) stack.push(root.left);
        if(root.right != null) stack.push(root.right);
    }
    return res;
}

5.二叉树遍历:BFS

广度优先遍历(BFS),可以通俗的理解成从上到下一层一层的遍历 在这里插入图片描述

5.1 点序遍历

在代码实现时需要借助一个队列,通过它的FIFO特性,最后将先遍历的节点先打印。

public void levelOrder(Node root) {、
    // 需要提前做非空判断
    if (root == null) return root;
    Queue<Node> queue = new LinkedList<>();
    // 与DFS相比,需要先将根节点入队
    queue.offer(root);
    
    while (!queue.isEmpty()) {
        Node node = queue.poll();
        System.out.Println(node);
        if (node.left != null) queue.offer(node.left);
        if (node.right != null) queue.offer(node.right);
    }
}

5.2 层序遍历

除了上面点序遍历逐层挨个打印节点外,还可以将遍历结果划分出层次,比如:

				1
			   / \
			  2   3     ===> [[1],[2,3],[4,5,6]]
			 / \  /
		    4	5 6
public List<List<Integer>> levelOrder(TreeNode root) {

        Queue<TreeNode> queue = new LinkedList<>();
        queue.offer(root);
        List<List<Integer>> res = new ArrayList<>();

        while (!queue.isEmpty()) {
            List<Integer> list = new ArrayList<>();
            int size = queue.size();
            for (int i = 0; i < size; i++) {
                TreeNode node = queue.poll();
                list.add(node.val);
                if (node.left != null) queue.offer(node.left);
                if (node.right != null) queue.offer(node.right);
            }
            res.add(list);
        }
        return res;
    }

6.N叉树遍历

N叉树与二叉树区别就是子节点的个数不同,下面是N叉树的Node定义:

// N叉树定义node
class Node {
    public int val;
    public List<Node> children; // 它不再是rigth和left,而是一个保存了子节点的list

    public Node() {}

    public Node(int _val) {
        val = _val;
    }

    public Node(int _val, List<Node> _children) {
        val = _val;
        children = _children;
    }
}

所以,N叉树获取子节点的方式也会有所不同:

  • 二叉树:root.left + root.right
  • n叉树:for (Node n : node.children) n

6.1 DFS

public void order(Node root) {
    if (root == null) return;
    System.out.Println(root);
    for (Node node : root.children)
    	order(node);
}

6.2 BFS

public void order(Node root) {
    if (root == null) return root;
    Queue<Node> queue = new LinkedList<>();
    queue.add(root);
    
    while (! queue.isEmpty()) {
        Node node = queue.poll();
       	System.out.println(node);
        for(Node n : node.children)
             queue.offer(n);  
    }
}