算法14 图

560 阅读6分钟

基本介绍

    1. 前面我们学了线性表和树
    1. 线性表局限于一个直接前驱和一个直接后继的关系
    1. 树也只能有一个直接前驱也就是父节点
    1. 当我们需要表示多对多的关系时,这里我们就用到了图。

图是一种数据结构,其中结点可以具有零个或多个相邻元素。两个结点之间的连接称为边。 结点也可以称为 顶点。如图: 23

常用概念

    1. 顶点(vertex)
    1. 边(edge)
    1. 路径
    1. 无向图(右图)
    • 24
    1. 有向图
    1. 带权图
    • 25

表示方式

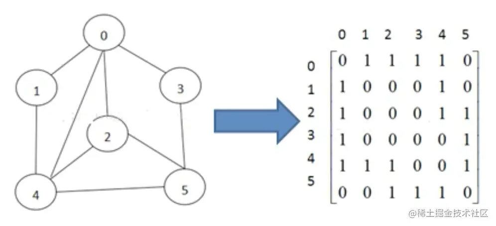
图的表示方式有两种:二维数组表示(邻接矩阵);链表表示(邻接表)。

邻接矩阵

邻接矩阵是表示图形中顶点之间相邻关系的矩阵,对于 n 个顶点的图而言,矩阵是的 row 和 col 表示的是 1....n个点。
26

邻接表

    1. 邻接矩阵需要为每个顶点都分配n个边的空间,其实有很多边都是不存在,会造成空间的一定损失.
    1. 邻接表的实现只关心存在的边,不关心不存在的边。因此没有空间浪费,邻接表由数组+链表组成
    1. 举例说明 27

快速入门案例

    1. 要求: 代码实现如下图结构. 28
    1. 思路分析 (1) 存储顶点 String 使用 ArrayList (2) 保存矩阵 int[][] edges
    1. 代码实现
/**
 * @author DSH
 * @date 2020/9/24
 * @description 图的创建
 */
public class Graph {

    private ArrayList<String> vertextList;//存储顶点的集合
    private int[][] edges; //存储图的对应的邻接矩阵
    private int numOfEdges;//表示边的数目

    public static void main(String[] args) {
        //测试创建图
        int n = 5;//节点的个数
        String Vertexts[] = {"A","B","C","D","E"};
        //创建图对象
        Graph graph = new Graph(n);
        //循环添加顶点
        for (String value:Vertexts) {
            graph.insertVertex(value);
        }
        //添加边
        //A-B A-C B-C B-D B-E
        graph.insertEdge(0,1,1);
        graph.insertEdge(0,2,1);
        graph.insertEdge(1,2,1);
        graph.insertEdge(1,3,1);
        graph.insertEdge(1,4,1);
        graph.showGraph();
    }

    //构造器
    public Graph(int n) {
        //初始化矩阵和顶点集合
        edges = new int[n][n];
        vertextList = new ArrayList<>(n);
        numOfEdges = 0;
    }

    //图中常用的方法
    //返回节点的个数
    public int getNumOfVertex() {
        return vertextList.size();
    }
    //得到边的数目
    public int getNumOfEdges() {
        return numOfEdges;
    }
    //返回节点i(下标)对应的数据 0->A 1->B
    public String getValueByIndex(int i){
        return vertextList.get(i);
    }
    //返回v1和v2的权值
    public int getWeight(int v1,int v2){
        return edges[v1][v2];
    }
    //显示图对应的矩阵
    public void showGraph(){
        for (int [] link: edges) {
            System.out.println(Arrays.toString(link));
        }
    }
    
    //插入节点
    public void insertVertex(String vertex){
        vertextList.add(vertex);
    }
    //添加边

    /**
     *
     * @param v1 点的下标即是第几个顶点 "A"-"B" "A"->0 "B"->1
     * @param v2 第二个顶点对应的下标
     * @param weight 权值
     */
    public void insertEdge(int v1, int v2 , int weight){
        edges[v1][v2] = weight;
        edges[v2][v1] = weight;
        numOfEdges ++;
    }

}

图的深度优先遍历

所谓图的遍历,即是对结点的访问。一个图有那么多个结点,如何遍历这些结点,需要特定策略,一般有两种 访问策略: (1)深度优先遍历 (2)广度优先遍历

图的深度优先搜索(Depth First Search) 。

    1. 深度优先遍历,从初始访问结点出发,初始访问结点可能有多个邻接结点,深度优先遍历的策略就是首先访问第一个邻接结点,然后再以这个被访问的邻接结点作为初始结点,访问它的第一个邻接结点, 可以这样理解: 每次都在访问完当前结点后首先访问当前结点的第一个邻接结点。
    1. 我们可以看到,这样的访问策略是优先往纵向挖掘深入,而不是对一个结点的所有邻接结点进行横向访问。
    1. 显然,深度优先搜索是一个递归的过程

深度优先遍历算法步骤

    1. 访问初始结点v,并标记结点v为已访问。
    1. 查找结点v的第一个邻接结点w。
    1. 若w存在,则继续执行4,如果w不存在,则回到第1步,将从v的下一个结点继续。
    1. 若w未被访问,对w进行深度优先遍历递归(即把w当做另一个v,然后进行步骤123)。
    1. 查找结点v的w邻接结点的下一个邻接结点,转到步骤3。
    1. 分析图 29

代码实现

    //得到第一个邻接节点的下标
    /**
     * 如果存在, 就返回对应的下标否则返回-1
     * @param index
     * @return
     */
    public int getFirstNeighbor(int index){
        for (int j = 0; j < vertextList.size(); j++) {
            if (edges[index][j]>0){
                return j;
            }
        }
        return -1;
    }

    //根据前一个邻接节点的下标来获取下一个邻接节点
    public int getNextNeighbor(int v1,int v2){
        for (int j = v2+1; j < vertextList.size(); j++) {
            if (edges[v1][j]>0){
                return j;
            }
        }
        return -1;
    }

    //深度优先遍历算法
    private void dfs(boolean[] isVisited,int index){
        //首先访问该节点 输出
        System.out.print(getValueByIndex(index)+"->");
        //将该节点设为已访问
        isVisited[index] = true;
        //查找节点i的第一个邻接节点
        int w = getFirstNeighbor(index);
        while (w!=-1){
            if (!isVisited[w]){
                dfs(isVisited,w);
            }
            //如果w节点已经被访问过
            w = getNextNeighbor(index,w);
        }
    }

    //对dfs进行一个重载,遍历所有的节点 并进行dfs
    public void  dfs(){
        //遍历所有的节点 进行dsf(回溯)
        for (int i = 0; i < getNumOfVertex(); i++) {
            if (!isVisited[i]){
                dfs(isVisited,i);
            }
        }
    }

图的广度优先遍历

  1. 图的广度优先搜索(Broad First Search) 。
  2. 类似于一个分层搜索的过程,广度优先遍历需要使用一个队列以保持访问过的结点的顺序,以便按这个顺序来 访问这些结点的邻接结点

广度优先遍历算法步骤

    1. 访问初始结点v并标记结点v为已访问。
    1. 结点v入队列
    1. 当队列非空时,继续执行,否则算法结束。
    1. 出队列,取得队头结点u。
    1. 查找结点u的第一个邻接结点w。
    1. 若结点u的邻接结点w不存在,则转到步骤3;否则循环执行以下三个步骤:
    • 6.1 若结点 w 尚未被访问,则访问结点 w 并标记为已访问。
    • 6.2 结点w入队列
    • 6.3 查找结点 u 的继 w 邻接结点后的下一个邻接结点 w,转到步骤 6

代码汇总

public class Graph {

    private ArrayList<String> vertextList;//存储顶点的集合
    private int[][] edges; //存储图的对应的邻接矩阵
    private int numOfEdges;//表示边的数目
    //定义数组boolean[] 记录某个节点是否被访问
    private boolean isVisited[];

    public static void main(String[] args) {
        //测试创建图
        String Vertexts[] = {"A","B","C","D","E"};
        //创建图对象
        Graph graph = new Graph(Vertexts.length);
        //循环添加顶点
        for (String value:Vertexts) {
            graph.insertVertex(value);
        }
        //添加边
        //A-B A-C B-C B-D B-E
        graph.insertEdge(0,1,1);
        graph.insertEdge(0,2,1);
        graph.insertEdge(1,2,1);
        graph.insertEdge(1,3,1);
        graph.insertEdge(1,4,1);

        //显示邻接矩阵
        graph.showGraph();
        //深度遍历
        System.out.println("深度优先");
        graph.dfs();
        System.out.println( );
        //广度遍历
        System.out.println("广度优先");
        graph.bfs();
    }

    //构造器
    public Graph(int n) {
        //初始化矩阵和顶点集合
        edges = new int[n][n];
        vertextList = new ArrayList<>(n);
        numOfEdges = 0;
        isVisited = new boolean[n];
    }

    //得到第一个邻接节点的下标
    /**
     * 如果存在, 就返回对应的下标否则返回-1
     * @param index
     * @return
     */
    public int getFirstNeighbor(int index){
        for (int j = 0; j < vertextList.size(); j++) {
            if (edges[index][j]>0){
                return j;
            }
        }
        return -1;
    }

    //根据前一个邻接节点的下标来获取下一个邻接节点
    public int getNextNeighbor(int v1,int v2){
        for (int j = v2+1; j < vertextList.size(); j++) {
            if (edges[v1][j]>0){
                return j;
            }
        }
        return -1;
    }

    //深度优先遍历算法
    private void dfs(boolean[] isVisited,int index){
        //首先访问该节点 输出
        System.out.print(getValueByIndex(index)+"->");
        //将该节点设为已访问
        isVisited[index] = true;
        //查找节点i的第一个邻接节点
        int w = getFirstNeighbor(index);
        while (w!=-1){
            if (!isVisited[w]){
                dfs(isVisited,w);
            }
            //如果w节点已经被访问过
            w = getNextNeighbor(index,w);
        }
    }

    //对dfs进行一个重载,遍历所有的节点 并进行dfs
    public void  dfs(){
        isVisited = new boolean[getNumOfVertex()];
        //遍历所有的节点 进行dsf(回溯)
        for (int i = 0; i < getNumOfVertex(); i++) {
            if (!isVisited[i]){
                dfs(isVisited,i);
            }
        }
    }

    //对一个节点进行官渡优先遍历的方法
    private void bfs(boolean[] isVisited,int i){
        int u ; //表示队列的头节点对应的下标
        int w ; //表示邻接节点
        //队列, 记录节点访问的顺序
        LinkedList queue  = new LinkedList<>();
        //访问节点,输出节点信息
        System.out.print(getValueByIndex(i)+"->");
        //标记为已访问
        isVisited[i] = true;
        //将节点加入对列
        queue.addLast(i);
        while (!queue.isEmpty()){
            //取出对列的头节点下标
            u = (int) queue.removeFirst();
            //得到第一个邻节点的下标
            w = getFirstNeighbor(u);
            while (w!=-1){//找到了
                //是否访问过
                if (!isVisited[w]){
                    System.out.print(getValueByIndex(w)+"->");
                    //标记已经访问
                    isVisited[w] = true;
                    //入队
                    queue.addLast(w);
                }
                //以u为前驱点,找w后面的下一个邻接点
                w = getNextNeighbor(u,w);//体现出广度优先
            }
        }
    }

    //遍历所有的节点 , 都进行广度优先搜索
    private void bfs(){
        isVisited = new boolean[getNumOfVertex()];
        for (int i = 0; i < getNumOfVertex(); i++) {
            if (!isVisited[i]){
                bfs(isVisited,i);
            }
        }
    }

    //图中常用的方法
    //返回节点的个数
    public int getNumOfVertex() {
        return vertextList.size();
    }
    //得到边的数目
    public int getNumOfEdges() {
        return numOfEdges;
    }
    //返回节点i(下标)对应的数据 0->A 1->B
    public String getValueByIndex(int i){
        return vertextList.get(i);
    }
    //返回v1和v2的权值
    public int getWeight(int v1,int v2){
        return edges[v1][v2];
    }
    //显示图对应的矩阵
    public void showGraph(){
        for (int [] link: edges) {
            System.out.println(Arrays.toString(link));
        }
    }
    
    //插入节点
    public void insertVertex(String vertex){
        vertextList.add(vertex);
    }
    //添加边

    /**
     *
     * @param v1 点的下标即是第几个顶点 "A"-"B" "A"->0 "B"->1
     * @param v2 第二个顶点对应的下标
     * @param weight 权值
     */
    public void insertEdge(int v1, int v2 , int weight){
        edges[v1][v2] = weight;
        edges[v2][v1] = weight;
        numOfEdges ++;
    }

}

图的深度优先 VS 广度优先

31