【数据结构】链表的LeetCode题:141.环形链表I,4.环形链表II,234.回文链表

226 阅读2分钟

141.环形链表¹

给定一个链表,判断链表中是否有环。

为了表示给定链表中的环,我们使用整数 pos 来表示链表尾连接到链表中的位置(索引从 0 开始)。 如果 pos-1,则在该链表中没有环

示例 1:

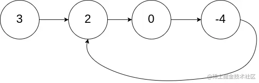
输入:head = [3,2,0,-4], pos = 1
输出:true
解释:链表中有一个环,其尾部连接到第二个节点。

img

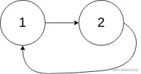
示例 2:

输入:head = [1,2], pos = 0
输出:true
解释:链表中有一个环,其尾部连接到第一个节点。

img

示例 3:

输入:head = [1], pos = -1
输出:false
解释:链表中没有环。

img

解法一:枚举法

  • 思路:用一个表保存所有结点,若结点已经在表中,则有环
    • 这里的表用HashSet最好,因为 set 的 contains 方法与 add 方法都是基于hash表,复杂度 O(1)--> 5ms
    • 若用ArrayList,则 contains 方法的复杂度是 O(n)--> 372ms
  • 复杂度
    • Time:O(n)
    • Space:O(n),链表中的每个节点都要放到容器中
public boolean hasCycle(ListNode head) {
        if (head == null || head.next == null) return false;

        ListNode node = head;
    	// 这里太合适用set了
        Set<ListNode> set = new HashSet<>();
        while(node.next != null) {
            if (set.contains(node)) 
                return true;
                set.add(node);
                node = node.next;
        }
        return false;
}

解法二:双指针(快慢)

  • 思路:如果有环,走的快(一次两步)的指针一定能追上走的慢的指针(一次一步)
  • 复杂度
    • Time:O(n)
    • Space:O(1)
public boolean hasCycle(ListNode head) {
        if (head == null || head.next == null) return false;

        ListNode qn = head,sn = head; // quickNode,slowNode
    	// 关键是这个判断条件
    	// qn != null 保证了 qn.next 不会出现空指针异常;
    	// qn.next != null 保证了 qn.next.next 不会出现空指针异常;
        while (qn != null && qn.next != null) { 
            sn = sn.next;
            qn = qn.next.next;
            if (sn == qn) {
                return true;
            }
        }
        return false;
}

4.环形链表 II²

给定一个链表,返回链表开始入环的第一个节点。 如果链表无环,则返回 null

为了表示给定链表中的环,我们使用整数 pos 来表示链表尾连接到链表中的位置(索引从 0 开始)。 如果 pos-1,则在该链表中没有环。

说明:不允许修改给定的链表。

示例 1:

输入:head = [3,2,0,-4], pos = 1
输出:tail connects to node index 1
解释:链表中有一个环,其尾部连接到第二个节点。

img

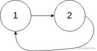
示例 2:

输入:head = [1,2], pos = 0
输出:tail connects to node index 0
解释:链表中有一个环,其尾部连接到第一个节点。

img

示例 3:

输入:head = [1], pos = -1
输出:no cycle
解释:链表中没有环。

img

解法一:双指针(快慢)

  • 思路:这其实是一个规律,快慢指针相遇后,快指针从头再与慢相遇处即环始点
  • 复杂度
    • Time:O(n)
    • Space:O(1)
public ListNode detectCycle(ListNode head) {
        ListNode fast = head;
        ListNode slow = head;
        // 让快慢指针相遇
        while (true) {
            // 无环判断
            // 注意:这里不能放到循环条件,假设,那么退出循环那部分如何操作?
            if (fast == null || fast.next == null) {
                return null;
            }
            fast = fast.next.next;
            slow = slow.next;
            // 定位到两指针相遇处
            if (slow == fast) {
                break;
            }
        }
    	// 将快指针从头开始,慢指针还在相遇处
        fast = head;
    	// 两指针再次相遇位置就是环始点
        while (fast != slow) {
            fast = fast.next;
            slow = slow.next;
        }

        return fast;
}

234. 回文链表

请判断一个链表是否为回文链表。

示例 1:

输入: 1->2
输出: false

示例 2:

输入: 1->2->2->1
输出: true

解法一:栈

  • 思路:遍历链表,将所有节点压入栈,再遍历一遍进行对比 注:栈里应该存的是val,而不是ListNode,因为比较的时候顺序是相反的,ListNode肯定都不相同。
  • 复杂度
    • Time:O(n)
    • Space:O(n),用了个Stack
public boolean isPalindrome(ListNode head) {
        // 注:栈里存的是具体value,是Stack<Integer>,不是Stack<ListNode>
        Stack<Integer> stack = new Stack<>();
        // 注:链表用for遍历更简洁
        for (ListNode p = head; p != null; p = p.next) 
            stack.push(p.val);
        for (ListNode p = head; p != null; p = p.next)
            if (p.val != stack.pop())
                return false;
        return true;
    }

2.解法二:折半对比

  • 思路:先将链表前一半反转,然后从中间开始同时进行遍历比较(双指针)。但是要注意一点,若长度是奇数情况,则要将后面的指针(cur)后移一位
  • 复杂度
    • Time:O(n)
    • Space:O(1)
public boolean isPalindrome(ListNode head) {
        // 1.计算链表长度
        int len = 0;
        for (ListNode p = head; p != null; p = p.next) len++;
		
        // 2.将链表前一半倒序,反转链表的模板
        ListNode cur = head, pre = null;
        for (int i = 0; i < len / 2; i++) {
            ListNode tmp = cur.next;
            cur.next = pre;
            pre = cur;
            cur = tmp;
        }
		
    	// 注:若长度是奇数,则要将cur后移一位再比较
        if (len % 2 == 1) cur = cur.next;
    	// 3.从中间开始同时遍历前一半与后一半,比较val
        for (; pre != null && cur != null; pre = pre.next, cur = cur.next) 
            if (pre.val != cur.val)
                return false;

        return true;
    }