【数据结构】数组的LeetCode题:11.盛水最多的容器,283.移动零,15.三数之和

156 阅读3分钟

在讲LeetCode关于数组的习题之前,先讲述两个思想:空间换时间和时间换空间

  • 空间换时间
    • 用空间换时间的设计思想。当内存空间充足的时候,如果我们更加追求代码的执行速度,我们就可以选择空间复杂度相对较高、但时间复杂度相对很低的算法或者数据结构。
    • 缓存实际上就是利用了空间换时间的设计思想。如果我们把数据存储 在硬盘上,会比较节省内存,但每次查找数据都要询问一次硬盘,会比较慢。但如果我们通 过缓存技术,事先将数据加载在内存中,虽然会比较耗费内存空间,但是每次数据查询的速 度就大大提高了
    • 数据结构中双向链表正是用了空间换时间,提高了crud的效率
  • 时间换空间
    • 如果内存比较紧缺,比如代码跑在 手机或者单片机上,这个时候,就要反过来用时间换空间的设计思路

对于执行较慢的程序,可以通过消耗更多的内存(空间换时间)来进行优化;而消耗过多内存的程序,可以通过消耗更多的时间(时间换空间)来降低内存的消耗

注:下面每题的右上角的数字表示难易度:1-简单,2-中等,3-困难

11.盛水最多的容器²

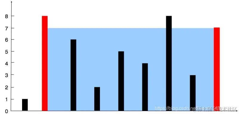
给你 n 个非负整数 a1,a2,...,an,每个数代表坐标中的一个点 (i, ai) 。在坐标内画 n 条垂直线,垂直线 i 的两个端点分别为 (i, ai) 和 (i, 0)。找出其中的两条线,使得它们与 x 轴共同构成的容器可以容纳最多的水。

说明:你不能倾斜容器,且 n 的值至少为 2。 在这里插入图片描述 图中垂直线代表输入数组 [1,8,6,2,5,4,8,3,7]。在此情况下,容器能够容纳水(表示为蓝色部分)的最大值为 49。

示例:

输入:[1,8,6,2,5,4,8,3,7]
输出:49

解法一:枚举

  • 思路:枚举出左右两边的所有情况
  • 复杂度
    • Time:O(n^2),448ms
    • Space:O(1)
public int maxArea(int[] height) {
        int capcity = 0;
        for (int i = 0; i < height.length - 1; i++) {
            for (int j = i + 1; j < height.length; j++) {
                capcity = Math.max(capcity, Math.min(height[i],height[j]) * (j-i));
            }
        }
        return capcity;
}

解法二:双指针(夹逼)

  • 思路:双指针列举两边,高度小的一边向内移动

    ====>空间换时间(升维),将两重循环,变成一次循环+夹逼指针

  • 复杂度

    • Time:O(n), 4ms
    • Space:O(1)
public int maxArea(int[] height) {
        public int maxArea(int[] height) {
        int capcity = 0;
        // 双指针    
        int i = 0, j = height.length - 1;
        while (i < j) {
            capcity = Math.max(capcity, (j - i) * Math.min(height[i],height[j]));
            // i,j小的那个向中间移动
            if (height[i] <= height[j])
                i++;
            else 
                j--;
        }
        return capcity;
    }
}

代码优化:这种比较后要移动索引的,可以优化成条件表达式

public int maxArea(int[] height) {
     
        int capcity = 0;
        int i = 0, j = height.length - 1;
        while (i < j) {
            // 在为高度比较大小的时候就移动指针
            int minheigh = height[i] <= height[j] ? height[i++] : height[j--];
            // 注:这里要j - i + 1,因为已经向内移动了
            capcity = Math.max(capcity, (j - i + 1) * minheigh);
        }
        return capcity;
}

283.移动零¹(数组删除问题)

给定一个数组 nums,编写一个函数将所有 0 移动到数组的末尾,同时保持非零元素的相对顺序。

输入: [0,1,0,3,12]
输出: [1,3,12,0,0]

解法一:双指针(真假)

可以引申到数组一次删除多个元素,避免了多次数组copy

public void moveZeroes(int[] nums) {
        // 双指针,i记录下标++,j记录赋值下标
        int i , j;
        for (i = 0, j = 0; i < nums.length; i++) {
            if (nums[i] != 0) nums[j++] = nums[i];
        }
    	// 将剩余元素置0
        while (j < nums.length) {
            nums[j++] = 0;
        }
}

15. 三数之和²

给你一个包含 n 个整数的数组 nums,判断 nums 中是否存在三个元素 *a,b,c ,*使得 a + b + c = 0 ?请你找出所有满足条件且不重复的三元组。

注意:答案中不可以包含重复的三元组。

示例:

给定数组 nums = [-1, 0, 1, 2, -1, -4],

满足要求的三元组集合为:
[
  [-1, 0, 1],
  [-1, -1, 2]
]

解法一:循环枚举(超时)

  • 去重:数组排序 --> list.contains
  • 注意每次循环的边界条件:length - 2;length - 1;length
public List<List<Integer>> threeSum(int[] nums) {
        Arrays.sort(nums);
        List<List<Integer>> list = new ArrayList<>();
	    // 注意每次循环的结束条件
        for (int i = 0; i < nums.length - 2; i++) {
            for (int j = i + 1; j < nums.length - 1; j++) {
                for (int k = j + 1; k < nums.length; k++) {
                    if (nums[i] + nums[j] + nums[k] == 0) {
                        List addlist = Arrays.asList(nums[i],nums[j],nums[k]);
                        // 必须先排序,否则每次contains都是fasle
                        if (!list.contains(addlist))
                        list.add(addlist);
                    }
                }
            }
        }
        return list;
}

解法二:双指针(夹逼)

空间换时间(升维):一次循环+夹逼指针 = 两重循环

  • 排序,去重的基础
  • 循环取第一位,i < length - 2
    • 判断第一位是否重复
  • 双指针找二三位(代替了两重循环)
    • 找到了
      • 判断二三位的下一个是否重复
      • l++,r--
    • 小于sum,l++
    • 大于sum,r--;

优化:若第一位(nums[i]) 大于0,那么直接就不用找了,和肯定大于0了,break

public List<List<Integer>> threeSum(int[] nums) {
        if (nums.length < 3 || nums == null) return new ArrayList();
        Arrays.sort(nums);
        List<List<Integer>> list = new ArrayList<>();
        // 优化:若nums[i]>0,sum肯定大于0,不用找了
        for(int i = 0; i < nums.length - 2 && nums[i] <= 0; i++) {
            // 第一位去重
            if (i > 0 && nums[i]  == nums[i - 1]) continue;
            int sum = 0, left = i + 1, right = nums.length-1;
			
            while(left < right) {
                if ((sum = nums[i] + nums[left] + nums[right]) == 0) {
                    list.add(Arrays.asList(nums[i],nums[left],nums[right]));
                    // 第二位去重,while可能后面有多个相同
                    while(left < right && nums[left] == nums[left + 1] ) left++;
                    // 第三位去重,left
                    while(left < right && nums[right] == nums[right - 1]) right--;
                   
                    left++;
                    right--;
                }else if (sum < 0) {
                    left++;
                }else {
                    right--;
                }
            }
        } 
        return list;
}