算法数据结构 | 三个步骤完成强连通分量分解的Kosaraju算法

200 阅读7分钟

强连通分量分解的Kosaraju算法

今天是算法数据结构专题的第35篇文章,我们来聊聊图论当中的强连通分量分解的Tarjan算法。

Kosaraju算法一看这个名字很奇怪就可以猜到它也是一个根据人名起的算法,它的发明人是S. Rao Kosaraju,这是一个在图论当中非常著名的算法,可以用来拆分有向图当中的强连通分量

背景知识

这里有两个关键词,一个是有向图,另外一个是强连通分量。有向图是它的使用范围,我们只能使用在有向图当中。对于无向图其实也存在强连通分量这个概念,但由于无向图的连通性非常强,只需要用一个集合维护就可以知道连通的情况,所以也没有必要引入一些算法。

有向图我们都了解,那么什么叫做强连通分量呢?强连通分量的英文是strongly connected components。这是一个很直白的翻译,要理解它我们首先需要理解强连通的概念。在有向图当中,如果两个点之间彼此存在一条路径相连,那么我们称这两个点强连通。那么推广一下,如果一张图当中的一个部分中的每两个点都连通,那么这个部分就称为强连通分量。

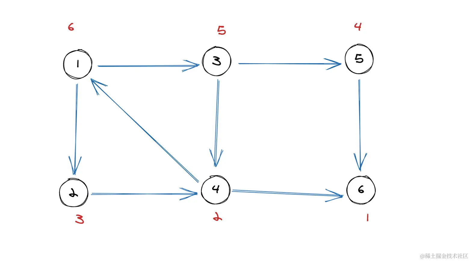
强连通分量一般是一张完整的图的一个部分,比如下面这张图当中的{1, 2, 3, 4}节点就可以被看成是一个强连通分量。

其实求解强连通分量的算法并不止一种,除了Kosaraju之外还有大名鼎鼎的Tarjan算法可以用来求解。但相比Tarjan算法,Kosaraju算法更加直观,更加容易理解。

算法原理

Kosaraju算法的原理非常简单,简单到只有三个步骤

  1. 我们通过后序遍历的方式遍历整个有向图,并且维护每个点的出栈顺序
  2. 我们将有向图反向,根据出栈顺序从大到小再次遍历反向图
  3. 对于点u来说,在遍历反向图时所有能够到达的v都和u在一个强连通分量当中

怎么样,是不是很简单?

下面我们来详细阐述一下细节,首先后序遍历和维护出栈顺序是一码事。也就是在递归的过程当中当我们遍历完了u这个节点所有连通的点之后,再把u加入序列。其实也就是u在递归出栈的时候才会被加入序列,那么序列当中存储的也就是每个点的出栈顺序。

这里我用一小段代码演示一下,看完也就明白了。

popped = [] # 存储出栈节点

def dfs(u):
    for v in Graph[u]:
        dfs(v)
        popped.append(u)

我们在访问完了所有的v之后再把u加入序列,这也就是后序遍历,和二叉树的后序遍历是类似的。

反向图也很好理解,由于我们求解的范围是有向图,如果原图当中存在一条边从u指向v,那么反向图当中就会有一条边从v指向u。也就是把所有的边都调转反向。

我们用上面的图举个例子,对于原图来说,它的出栈顺序我们用红色笔标出。

也就是[6, 4, 2, 5, 3, 1],我们按照出栈顺序从大到小排序,也就是将它反序一下,得到[1, 3, 5, 2, 4, 6]。1是第一个,也就是最后一个出栈的,也意味着1是遍历的起点。

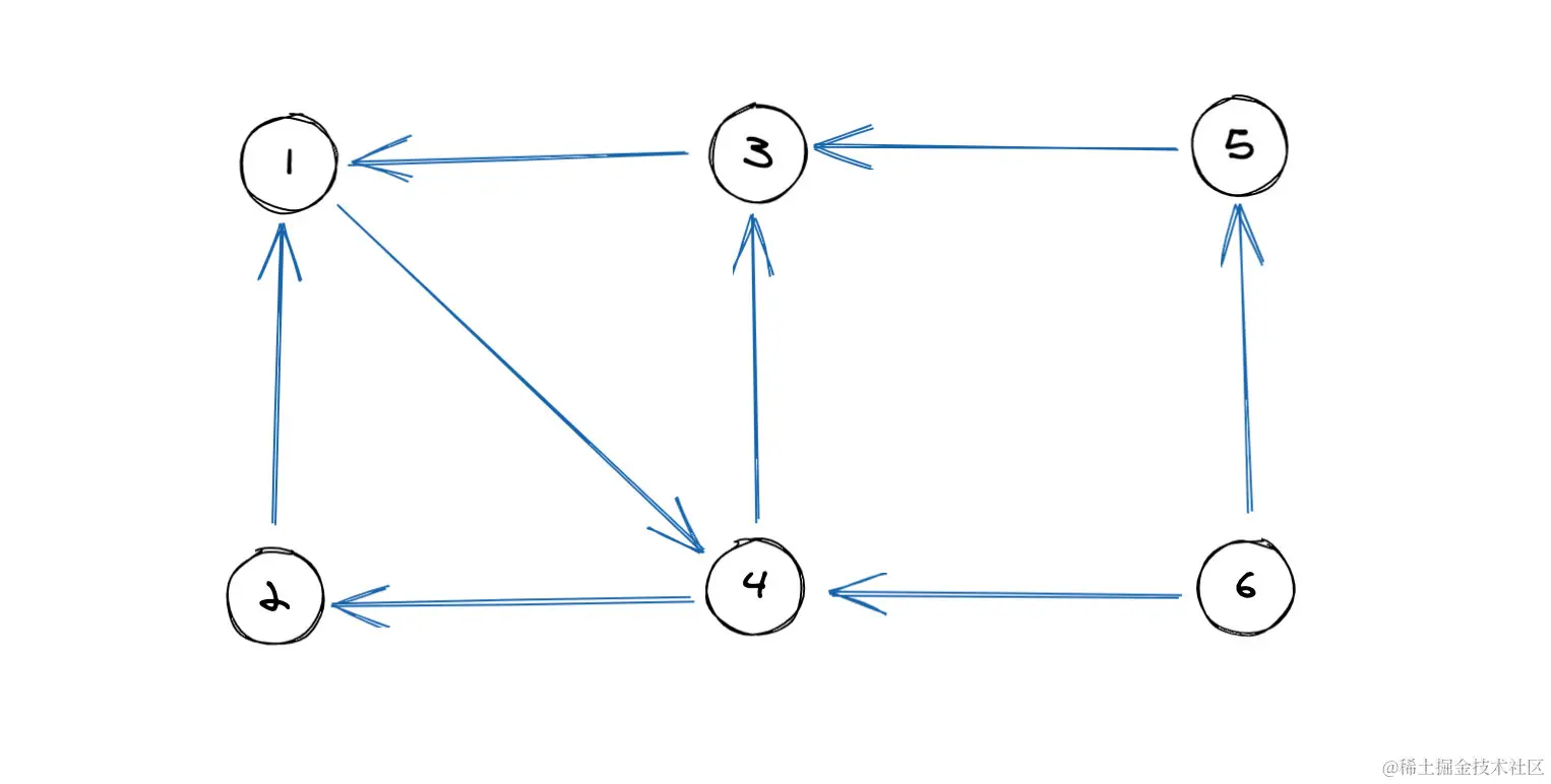
我们将它反向之后可以得到:

我们再次从1出发可以遍历到2,3, 4,说明{1, 2, 3, 4}是一个强连通分量。

怎么样,整个过程是不是非常简单?

我们将这段逻辑用代码实现,也并不会很复杂。

N = 7
graph, rgraph = [[] for _ in range(N)], [[] for _ in range(N)]
used = [False for _ in range(N)]
popped = []


# 建图
def add_edge(u, v):
    graph[u].append(v)
    rgraph[v].append(u)


# 正向遍历
def dfs(u):
    used[u] = True
    for v in graph[u]:
        if not used[v]:
            dfs(v)
    popped.append(u)


# 反向遍历
def rdfs(u, scc):
    used[u] = True
    scc.append(u)
    for v in rgraph[u]:
        if not used[v]:
            rdfs(v, scc)
            
# 建图,测试数据         
def build_graph():
    add_edge(13)
    add_edge(12)
    add_edge(24)
    add_edge(34)
    add_edge(35)
    add_edge(41)
    add_edge(46)
    add_edge(56)


if __name__ == "__main__":
    build_graph()
    for i in range(1, N):
        if not used[i]:
            dfs(i)

    used = [False for _ in range(N)]
    # 将第一次dfs出栈顺序反向
    popped.reverse()
    for i in popped:
        if not used[i]:
            scc = []
            rdfs(i, scc)
            print(scc)

思考

算法讲完了,代码也写了,但是并没有结束,仍然有一个很大的疑惑没有解开。算法的原理很简单,很容易学会,但问题是为什么这样做就是正确的呢?这其中的原理是什么呢?我们似乎仍然没有弄得非常清楚。

这里面的原理其实很简单,我们来思考一下,如果我们在正向dfs的时候,u点出现在了v点的后面,也就是u点后于v点出栈。有两种可能,一种可能是u点可以连通到v点,说明u是v的上游还有一种可能是u不能连通到v,说明图被分割成了多个部分。对于第二种情况我们先不考虑,因为这时候u和v一定不在一个连通分量里。对于第一种情况,u是v的上游,说明u可以连通到v。

这时候,我们将图反向,如果我们从u还可以访问到v,那说明了什么?很明显,说明了在正向图当中v也有一条路径连向u,不然反向之后u怎么连通到v呢?所以,u和v显然是一个强连通分量当中的一个部分。我们再把这个结论推广,所有u可以访问到的,第一次遍历时在它之前出栈的点,都在一个强连通分量当中。

如果你能理解了这一点,那么整个算法对你来说也就豁然开朗了,相信剩下的细节也都不足为虑了。

今天的文章到这里就结束了,如果喜欢本文的话,请来一波素质三连,给我一点支持吧(关注、转发、点赞)。

原文链接,求个关注

- END -