数据结构和mysql索引

100 阅读2分钟
  • 1 二叉查找树

特点:它或者是一棵空树,或者是具有下列性质的二叉树: 若它的左子树不空,则左子树上所有结点的值均小于它的根结点的值; 若它的右子树不空,则右子树上所有结点的值均大于它的根结点的值; 它的左、右子树也分别为二叉排序树。

极端二叉查找树

  • 2 AVL(平衡二叉树) 平衡二叉树是一种特殊的二叉查询树,它的左右两个子树的高度差的绝对值不超过1,并且左右两个子树都是一棵平衡二叉树。

左旋:

右旋

双旋转

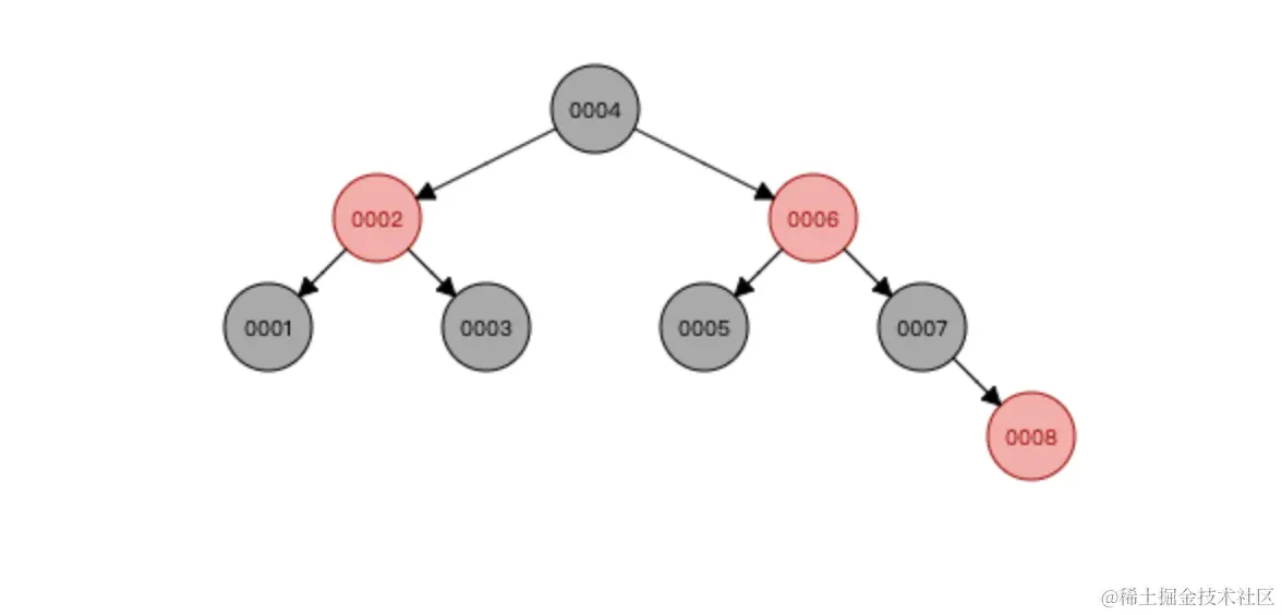
  • 3 红黑树

一种二叉查找树,但在每个节点增加一个存储位表示节点的颜色,可以是红或黑(非红即黑)。通过对任何一条从根到叶子的路径上各个节点着色的方式的限制,红黑树确保没有一条路径会比其它路径长出两倍,因此,红黑树是一种弱平衡二叉树(由于是弱平衡,可以看到,在相同的节点情况下,AVL树的高度低于红黑树),相对于要求严格的AVL树来说,它的旋转次数少,所以对于搜索,插入,删除操作较多的情况下,我们就用红黑树。

红黑树是每个节点都带有颜色属性的二叉查找树,颜色为红色或黑色。在二叉查找树强制一般要求以外,对于任何有效的红黑树我们增加了如下的额外要求:

  • 1、节点是红色或黑色。
  • 2、根是黑色。
  • 3、所有叶子都是黑色(叶子是NIL节点)。
  • 4、每个红色节点必须有两个黑色的子节点。(从每个叶子到根的所有路径上不能有两个连续的红色节点。)
  • 5、从任一节点到其每个叶子的所有简单路径都包含相同数目的黑色节点。

  • 4 B树 与自平衡二叉查找树不同,B树适用于读写相对大的数据块的存储系统,例如磁盘。B树减少定位记录时所经历的中间过程,从而加快存取速度。B树这种数据结构可以用来描述外部存储。这种数据结构常被应用在数据库和文件系统的实现上。
  • 5 B+树 特点是能够保持数据稳定有序,其插入与修改拥有较稳定的对数时间复杂度。B+ 树元素自底向上插入,这与二叉树恰好相反。

查询优化和数据结构