leetcode链表之两个链表的第一个公共节点

622 阅读2分钟

本文主要记录一下leetcode链表之两个链表的第一个公共节点

题目

输入两个链表,找出它们的第一个公共节点。

如下面的两个链表: 在节点 c1 开始相交。

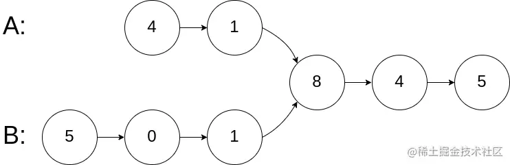
示例 1: 输入:intersectVal = 8, listA = [4,1,8,4,5], listB = [5,0,1,8,4,5], skipA = 2, skipB = 3 输出:Reference of the node with value = 8 输入解释:相交节点的值为 8 (注意,如果两个列表相交则不能为 0)。从各自的表头开始算起,链表 A 为 [4,1,8,4,5],链表 B 为 [5,0,1,8,4,5]。在 A 中,相交节点前有 2 个节点;在 B 中,相交节点前有 3 个节点。

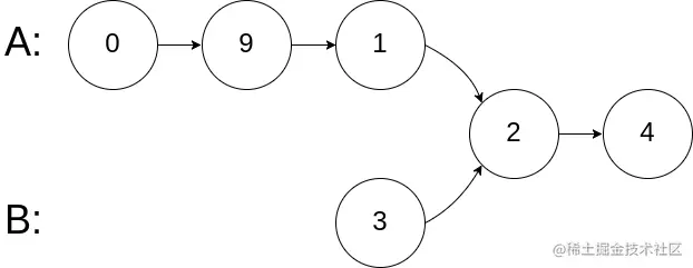
示例 2: 输入:intersectVal = 2, listA = [0,9,1,2,4], listB = [3,2,4], skipA = 3, skipB = 1 输出:Reference of the node with value = 2 输入解释:相交节点的值为 2 (注意,如果两个列表相交则不能为 0)。从各自的表头开始算起,链表 A 为 [0,9,1,2,4],链表 B 为 [3,2,4]。在 A 中,相交节点前有 3 个节点;在 B 中,相交节点前有 1 个节点。

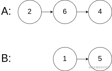
示例 3: 输入:intersectVal = 0, listA = [2,6,4], listB = [1,5], skipA = 3, skipB = 2 输出:null 输入解释:从各自的表头开始算起,链表 A 为 [2,6,4],链表 B 为 [1,5]。由于这两个链表不相交,所以 intersectVal 必须为 0,而 skipA 和 skipB 可以是任意值。 解释:这两个链表不相交,因此返回 null。

注意:

如果两个链表没有交点,返回 null.
在返回结果后,两个链表仍须保持原有的结构。
可假定整个链表结构中没有循环。
程序尽量满足 O(n) 时间复杂度,且仅用 O(1) 内存。
本题与主站 160 题相同:https://leetcode-cn.com/problems/intersection-of-two-linked-lists/

来源:力扣(LeetCode) 链接:leetcode-cn.com/problems/li… 著作权归领扣网络所有。商业转载请联系官方授权,非商业转载请注明出处。

题解

/**
 * Definition for singly-linked list.
 * public class ListNode {
 *     int val;
 *     ListNode next;
 *     ListNode(int x) {
 *         val = x;
 *         next = null;
 *     }
 * }
 */
public class Solution {
    public ListNode getIntersectionNode(ListNode headA, ListNode headB) {
        ListNode c1 = headA;
        ListNode c2 = headB;
        while (c1 !=  c2) {
            c1 = c1 == null ? headB : c1.next;
            c2 = c2 == null ? headA : c2.next;
        }

        return c1;
    }
}

小结

整体的思路就是分别在两个链表后面拼接上对方链表(由于题目要求两个链表必须保持原有的结构,因而这里再遍历的时候改变遍历指针),然后同时遍历,判断节点是否相等,如果相当则表示找到了公共节点。如果找不到相同的,最后c1与c2都为null,跳出循环,最后返回null

doc