简单的特征值梯度剪枝,CPU和ARM上带来4-5倍的训练加速 | ECCV 2020

571 阅读5分钟

论文通过DBTD方法计算过滤阈值,再结合随机剪枝算法对特征值梯度进行裁剪,稀疏化特征值梯度,能够降低回传阶段的计算量,在CPU和ARM上的训练分别有3.99倍和5.92倍的加速效果

来源:晓飞的算法工程笔记 公众号

论文: Accelerating CNN Training by Pruning Activation Gradients

Introduction


  在训练过程中,特征值梯度的回传和权值梯度的计算占了大部分的计算消耗。由于这两个操作都是以特征值梯度作为输入,而且零梯度不会占用计算资源,所以稀疏化特征值梯度可以降低回传阶段的计算消耗以及内存消耗。论文的目标在于高效地降低训练负载,从而在资源有限的平台进行大规模数据集的训练。   论文假设特征值梯度服从正态分布,基于此计算阈值τ\tau,随后使用随机剪枝算法(stochastic pruning)将小于阈值的特征值梯度随机置为零或±τ\pm \tau。经理论推理和实验证明,这种方法不仅能够有效地稀疏化特征值梯度,还能在加速训练的同时,不影响训练的收敛性。

General Dataflow


  卷积层通常包含4个阶段:推理、特征值梯度回传、权值梯度计算和权值更新。为了表示这些阶段的计算,论文定义了一些符号:

  卷积层的四个训练阶段的总结为:

  论文通过可视化发现,回传阶段的特征值梯度几乎全是非常小的、接近于零的值,自然而然地想到将这些值去掉不会对权值更新阶段造成很大的影响,所以论文认为剪枝特征值梯度能够加速卷积层在训练时的计算。

Sparsification Algorithms


Distribution Based Threshold Determination (DBTD)

  剪枝操作最关键的步骤是决定选择哪些元素进行消除,先前有研究使用最小堆进行元素选择,但这会带来较大的额外计算开销。为此,论文采用简单的阈值过滤进行元素选择。

  论文首先分析了两种经典的卷积网络结构的特征值梯度分布:Conv-ReLU结构和Conv-BN-ReLU结构:

  • 对于Conv-ReLU结构,输出的特征值梯度dOdO是稀疏的,但其分布是无规律的,而结构的输入特征值梯度dIdI几乎全是非零值。通过统计发现,dI()dI(\cdot)的分布以零值对称分布,且密度随着梯度值的增加而下降。
  • 对于Conv-BN-ReLU结构,BN层设置在卷积层与ReLU层中间,改变了梯度的分布,且dOdO的分布与dIdI类似,。

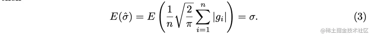
  所以,上述的两种结构的梯度都可认为服从零均值、方差为σ2\sigma^2的正态分布。对于Conv-ReLu结构,由于ReLU不会降低稀疏性,dOdO能够继承dIdI的稀疏性,将dIdI是作为Conv-ReLU结构中的剪枝目标梯度gg。而对于Conv-BN-ReLU结构,则将dOdO作为剪枝目标gg。这样,两种结构的剪枝目标都可统一为正态分布。假设gg的数量为nn,可以计算梯度的绝对值的均值,并得到该均值的期望为:

  这里的期望为从分布中采样nn个点的期望,而非分布的整体期望,再定义以下公式

  将公式2代入公式1中,可以得到:

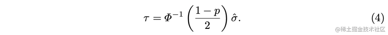
  从公式3可以看出σ~\tilde{\sigma}为参数σ\sigma的无偏估计,接近于真实的均值,且σ~\tilde{\sigma}的整体计算消耗是可以接受的。基于上面的分析,论文结合正态分布的累积函数Φ\Phi、剪枝率ppσ~\tilde{\sigma}计算阈值τ\tau

Stochastic Pruning

  剪枝少量值较小的梯度几乎对权值的更新没有影响,但如果将这些值较小的梯度全部设为零,则会对特征值梯度的分布影响很大,进而影响梯度更新,造成严重的精度损失。参考Stochastic Rounding算法,论文采用随机剪枝来解决这个问题。

  随机剪枝逻辑如算法1所示,对于小于阈值τ\tau的梯度值,随机采样一个缩放权重来计算新阈值,再根据新阈值将梯度值置为零或±τ\pm \tau

  随机剪枝的效果如图2所示,能够在保持梯度分布的数学期望的情况下进行剪枝,与当前的方法相比,论文提出的方法的优点如下:

  • Lower runtime cost:DBTD的计算复杂度O(n)O(n)小于top-k算法O(nlogk)O(nlogk),且DBTD对硬件更友好,能够在异构平台实现。
  • Lower memory footprint:随机裁剪能保持收敛性,且不需要存储而外的内存。

  至此,Sparsification Algorithms在梯度回传时的特征值梯度计算为:

Experimental Results


  在CIFAR-10、CIFAR-100以及ImageNet上进行准确率验证。

  在CIFAR-10和ImageNet上进行收敛性验证。

  在不同的设备上进行加速效果验证。

Conclustion


  论文通过DBTD方法计算过滤阈值,再结合随机剪枝算法对特征值梯度进行裁剪,稀疏化特征值梯度,能够降低回传阶段的计算量,在CPU和ARM上的训练分别有3.99倍和5.92倍的加速效果。论文提出的特征值稀疏化算法看似很简单,其实进行了充分的理论推导以及实验验证,才得到最终合理的过滤方法,唯一可惜的是没在GPU设备上进行实验验证。论文对算法的收敛性以及期望有详细的理论验证,不过这里没有列出来,有兴趣的可以去看看原文。



如果本文对你有帮助,麻烦点个赞或在看呗~
更多内容请关注 微信公众号【晓飞的算法工程笔记】

work-life balance.