重学数据结构(四、数组和广义表)

671 阅读9分钟

一、数组

1、数组的定义

数组是由类型相同的数据元素构成的有序集合,每个元素称为数组元素,每个元素受 n(n>=1) 个线性关系的约束,每个元素在 n 个线性关系中的序号i1, i2, …,in 称为该元素的下标,可以通过下标访问该数据元素。

数组分为一维数组和多维数组。

数组一旦被定义, 它的维数和维界就不再改变。 因此, 除了结构的初始化和销毁之外, 数组只有存取元素和修改元素值的操作。


1.1、一维数组

一维数组是指下标的个数只有一个的数组, 有时称为向量, 是最基本的数据类型, 在Java 中需要事先声明,程序才能够在编译过程中预留内存空间。

声明的格式一般为:

<数据类型><变量名称>[]= new<数据类型>[<数组大小>];

例如:

float numbera=new int[5];

声明一个长度为 5 的浮点数据类型的一维数组,数组名为numbera。


1.2、多维数组

多维数组是指下标的个数有两个或两个以上, 我们比较常用的是二维数组。

二维数组的声明同一维数组。 格式为:

<数据类型> <数组名称>[][]=new 〈数据类型>[sizel][size2];

例如:

int data[][]=newim [5][4];

表示声明了名称为data的整形二维数组。


2、数组存储

2.1、一维数组的存储

一维数组A[n] = {a0, a1…,an-1}的数据存储按照顺序存储, 逻辑地址和物理地址都是连续的。

在这里插入图片描述
在这里插入图片描述

一维数组任意数据元素ai的存储单元地址:Loc(ai) = Loc(a0) + i * k (0 ≤ i < n),其中k为单个元素所占空间。


2.2、多维数组的存储

由于内存是一维的,而数组是多维结构,可以认为二维数组是一个每个数据元素是一维数组的一维数组;三维数组是每个数据元素是二维数组的一维数组;四维数组是个每个数据元素是三维数组的一维数组,以此类推。

以二维数组的顺序存储为例说明, 对于一个m×n的二维数组,可以看成一个矩阵:

在这里插入图片描述
在这里插入图片描述

也可以看成一个行向量的一维数组: 在这里插入图片描述

二维数组在顺序存储时一般有两种。

  • 行优先顺序: 存储时先按行从小到大的顺序存储, 在每一行中按列号从小到大存储。
在这里插入图片描述
在这里插入图片描述
  • 列优先顺序: 存储时先按列从小到大的顺序存储, 在每一列中按行号从小到大存储。 在这里插入图片描述

以上的两种存储顺序中, 第一个被存放的元素总是第一行第一列的数据元素, 所以该元素的地址是我们的己知条件。

行优先顺序存储二维数组的任一数据元素 a[i,j] 的存储单元地址:Loc(a[i,j]) = Loc(a[0, 0]) + (i * n + j) *k (0 ≤ i < m,0 ≤ j < n),其中k为单个元素所占空间。

列优先存储的二维数组a[i,j]的存储单元地址:Loc(a[i,j]) = Loc(a[0,0]) + (j * m + i)*k(0 ≤ i < m,0 ≤ j < n),其中k为单个元素所占空间。


二、矩阵的存储

1、矩阵的压缩存储

所谓矩阵的压缩存储, 也就是在存储数组时, 尽量减少存储空间, 所以在矩阵存储中, 如果有规律可寻, 只要存储其中一部分, 而另一部分的存储地址可以通过相应的算法将它计算出来, 从而占有比较少的存储空间达到存储整个矩阵的目的。

矩阵的压缩存储仅是针对特殊矩阵的, 而对于没有规律可循的二维数组则不能够使用矩阵压缩存储。

二维数组(矩阵)的压缩存储一般有 3 种, 它们分别是对称矩阵、 稀疏矩阵和三角矩阵。

1.1、对称矩阵

若n阶矩阵A中的元素满足以下条件:

aij=aji(i>=1;j>=1)

则成为对称矩阵。如下例: 在这里插入图片描述

结合数据结构压缩存储的思想,我们可以使用一维数组存储对称矩阵。由于矩阵中沿对角线两侧的数据相等,因此数组中只需存储对角线一侧(包含对角线)的数据即可。

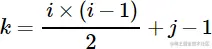
对称矩阵的实现过程是,若存储下三角中的元素,只需将各元素所在的行标 i 和列标 j 代入下面的公式: 在这里插入图片描述

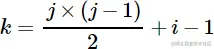
存储上三角的元素要将各元素的行标 i 和列标 j 代入另一个公式:

在这里插入图片描述
在这里插入图片描述

最终求得的 k 值即为该元素存储到数组中的位置(矩阵中元素的行标和列标都从 1 开始)。

例如,在数组 skr[6] 中存储上文中的对称矩阵,则矩阵的压缩存储状态如图 所示(存储上三角和下三角的结果相同):

在这里插入图片描述
在这里插入图片描述

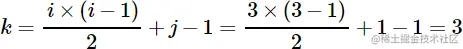
注意,以上两个公式既是用来存储矩阵中元素的,也用来从数组中提取矩阵相应位置的元素。例如,如果想从上图中的数组提取矩阵中位于 (3,1) 处的元素,由于该元素位于下三角,需用下三角公式获取元素在数组中的位置,即:

在这里插入图片描述
在这里插入图片描述

1.2、稀疏矩阵

稀疏矩阵是矩阵中的一种特殊情况,其非零元素的个数远小于零元素的个数。

在这里插入图片描述
在这里插入图片描述

稀疏矩阵压缩存储主要采用三元表示法来实现。其存储规则是每一个非零元素占有一行, 每行中包含非零元素所在的行号、 列号、 非零元素的数值。

(row col value)

例如稀疏矩阵:

在这里插入图片描述
在这里插入图片描述

采用三元表示法:

在这里插入图片描述
在这里插入图片描述

1.3、三角矩阵

以对角线划分,三角矩阵有上三角和下三角两种。

在这里插入图片描述 主对角线下的数据元素全部相同的矩阵为上三角矩阵,主对角线上元素全部相同的矩阵为下三角矩阵。

对于这类特殊的矩阵,压缩存储的方式是:重复元素C可共用一个存储空间,其余的元素可以采用对称矩阵的压缩存储方式存储。

这么一来,对称矩阵可以看做一种特殊的三角矩阵。


三、广义表

1、广义表的定义

广义表是线性表的推广, 具体定义为n(n>=0)个元素的有限序列。

一般记作:LS=(a1,a2,a3, … ai, …, an)

广义表的数据元素可以分为两种,一种不可再分(原子),一种可再分(子表)。

以下是一些常见的广义表定义:

  • A = ():A 表示一个广义表,只不过表是空的。
  • B = (e):广义表 B 中只有一个原子 e。
  • C = (a,(b,c,d)) :广义表 C 中有两个元素,原子 a 和子表 (b,c,d)。
  • D = (A,B,C):广义表 D 中存有 3 个子表,分别是A、B和C。这种表示方式等同于 D = ((),(e),(b,c,d)) 。
  • E = (a,E):广义表 E 中有两个元素,原子 a 和它本身。这是一个递归广义表,等同于:E = (a,(a,(a,…)))。

从上面的例子可以归纳出一些结论:

  • 广义表的元素可以是子表, 而子表的元素还可以是子子表……由此, 广义表是一个多层次的结构。
  • 广义表可为其他广义表共享。
  • 广义表可以是一个递归表,即广义表也可以是其本身的一个子表。

当广义表不是空表时,称第一个数据(原子或子表)为"表头",剩下的数据构成的新广义表为"表尾"。

2、广义表的存储

由于广义表中的数据元素具有不同的结构,通常是一种递归的数据结构,很难为每个广义表分配固定大小的存储空间,一般用链式存储结构表示,有头尾表示法和孩子兄弟表示法两种存储方式。

在这里插入图片描述
在这里插入图片描述

2.1、头尾表示法

任意非空的广义表,可分解为表头和表尾,反之,一对确定的表头和表尾可唯一确定一个广义表。

在头尾表示法中需要有两种结构的结点:一种是表结点,可以表示字表;一种是原子结点,用来表示原子。

在这里插入图片描述在这里插入图片描述 在表结点中有三个域组成:标志域、指向表头的指针域和指向表尾的指针域; 而原子结点需要两个域:标志域和值域。标志域是用来区分这两种结点的。


2.3、孩子兄弟表示法

在孩子兄弟表示法中,原子结点和表结点用相似的两种结点来表示。

在这里插入图片描述 其中表结点有孩子结点,cp和bp分别指向第一个孩子换一个兄弟的指针域;

原子结点是无孩子结点,data和bp分别是指域和指向兄弟的指针域。

tag是标志域,用来区分这两类结点,如tag为1,则表示该结点为表结点即有孩子的结点;tag为0,则表示该节点为原子结点即无孩子结点。

在这里插入图片描述

上一篇:重学数据结构(三、队列)




本文为学习笔记类博客,主要资料来源如下!

参考:

【1】:邓俊辉 编著. 《数据结构与算法》 【2】:王世民 等编著 . 《数据结构与算法分析》 【3】: Michael T. Goodrich 等编著.《Data-Structures-and-Algorithms-in-Java-6th-Edition》 【4】:严蔚敏、吴伟民 编著 . 《数据结构》 【5】:程杰 编著 . 《大话数据结构》 【6】:Java数据结构–数组、矩阵、广义表 【7】:矩阵(稀疏矩阵)压缩存储(3种方式) 【8】:什么是广义表、广义表及定义详解