第十二模块:开发常用工具(选修)
第一章 快速入门
1.1什么是Git
- 文件夹拷贝
- 本地版本控制
- 集中式版本控制
- 分布式版本控制
1.2为什么要做版本控制
要保留之前所有的版本,以便回滚和修改。
1.3安装git
1.4版本控制流程
版本控制 -------------->git管理文件夹
1.进入要管理的文件夹(进入)
2.初始化(提名)
3.管理
4.生成版本
第二章 春生创业史
2.1版本1生成(第一阶段)
第一步:
进入要管理的文件夹,鼠标右键点击"git bash"菜单
第二步:
在启动的"git bash"命令窗口中,执行初始化 即:让git帮助我们管理当前文件夹
$ git init
第三步:
管理目录下的文件状态
$ git status
注:新增的文件和修改过后的文件都是红色
第四步:
管理指定文件(红变绿)
$ git add P1_JSbasic.md
$ git add 文件名
$ git add .
个人信息配置:用户名、邮箱【一次即可】
$ git config --global user.email "1097576058@qq.com"
$ git config --global user.name"jingjing"
第五步:
生成版本
$ git commit -m '描述信息'
版本2生成
修改完P1_JSbasic.md文件
第一步:
管理目录下的文件状态
$ git status
检测到modified P1_JSbasic.md 文件
第二步:
管理指定文件(红变绿)
$ git add P1_JSbasic.md
或者
$ git add .
第三步:
生成版本号
$ git commit -m 'v2'
查看两个版本的记录
$ git log
2.2 第二阶段:拓展新功能
$ git add .
$ git commit -m '描述信息'
2.3 第三阶段:回滚事件
git分为三大区域:工作区,暂存区,版本库
工作区(红色):已管 新增/修改
暂存区(绿色):add*
版本库(绿色):commit -m
回滚至之前版本:
$ git log
$ git reset --hard 2fd0f0a62f828241cc7480b5aba27ceedb62783b
注释:commit MD5加密的长串字符2fd0f0a62f828241cc7480b5aba27ceedb62783b
回滚之之后版本
$ git reflog
$ git reset --hard 57d582b
注意:v2版本前的57d582b
新修改文件--->已控制版本
$ git init
$ git status
$ git checkout -- index.html
暂存区--->新修改文件
$ git add .
$ git status(变绿)
$ git reset HEAD index.html
$ git status(变红)
2.4基于分支修复线上bug具体过程
$ git log
$ git branch //*master 主干 查看分支
$ git branch dev //创建分支名称为dev
切换到dev分支进行开发
$ git checkout dev
修复bug代码
$ git branch bug //创建bug分支
$ git checkout bug //切换到bug分支
修改完bug代码
$ git branch master //切换到master主干
$ git merge bug //把bug分支的代码合并到主干分支master
$ git branch -d bug //删除bug分支代码
$ git branch //查看分支,此时已经没有了bug分支,只有dev和master
$ git checkout dev //切换回dev分支继续开发代码
把dev开发完的代码合并到master中
$ git checkout master //切换到master主干
$ git merge dev //把dev分支的代码合并到主干分支master
产生冲突:
CONFLICT (content): Merge conflict in index.html
Automatic merge failed; fix conflicts and then commit the result.
需要手动修改代码
修改完代码后
$ git add .
$ git commit -m'上线'
$ git log
2.5 第四阶段:商城&紧急修复bug
2.5.1 分支
分支可以给使用者提供多个环境的可以,意味着你可以把你的工作从开发主线上分离出来,以免影响开发主线。
2.5.2 紧急修复bug方案
2.5.3命令总结
查看分支
$ git branch
创建分支
$ git branch 分支名称
切换分支
$ git checkout 分支名称
分支合并(可能产生冲突)
$ git merge 要合并的分支
注意:先需要切换分支再合并
删除分支
$ git branch -d 分支名称
2.5.4工作流
2.6第五阶段:进军三里屯
$ git init
$ git add README.md
$ git commit -m "first commit"
$ git branch -M master
$ git remote add origin https://github.com/liujing199010232929AABB/JS.git
$ git push -u origin master
1.在家里上传代码
1.给远程仓库起别名
$ git remote add origin https://github.com/liujing199010232929AABB/JS.git
2.推送dev分支到GitHub仓库
$ git push -u origin dev
2.到公司新电脑第一次获取代码
1.把GitHub仓库代码拉倒本地来
$ git clone https://github.com/liujing199010232929AABB/JS.git 内部已实现git remote add origin 远程仓库地址
2.切换分支
$ git checkout 分支
进入下载完毕的JS文件夹中
$ ls //查看文件夹中文件
$ cd JS //进入文件夹(里面有很多文件)
$ cat index.html //查看文件内容
$ git log //可以查看提交记录
$ git branch //虽然只显示master 但是dev分支也存在只是没有显示出来
$ git checkout dev//切换到dev分支
$ cat index.html//查看dev分支写的index.html代码
3.在公司进行开发
1.切换到dev分支进行开发
$ git checkout dev
2.把master分支合并到dev[仅一次]
$ git merge master
3.修改代码
4.提交代码
$ git add .
$ git commit -m 'xxxxxx'
$ git push origin dev
4.回到家中继续写代码
1.切换到dev分支进行开发
$ git checkout dev
2.拉代码
$ git pull origin dev
3.继续开发
4.提交代码
$ git add .
$ git commit -m 'xxxxxx'
$ git push origin dev
5.在公司继续开发
1.切换到dev分支进行开发
$ git checkout dev
2.把master分支合并到dev[仅一次]
$ git merge master
3.修改代码
4.提交代码
$ git add .
$ git commit -m 'xxxxxx'
$ git push origin dev
6.开发完毕要上线
在公司
$ touch a4.html
$ git add .
$ git commit -m '开发完毕'
1.将dev分支合并到master,进行上线
$ git checkout master
$ git merge dev
$ git push origin master//也是最新的master
2.把dev分支也推送到远程
$ git checkout dev
$ git merge master
$ git push origin dev//也是最新的dev
7.再次开发
$ git pull origin dev
$ git pull origin master
2.7奔波于沙河和三里屯之间
在沙河把代码保存到GitHub仓库中
$ git branch//检查到有master和dev分支
$ git checkout dev//切换到dev分支
$ git merge master //把master最新的版本合并到dev代码中,将dev代码更新为最新代码
$ git log //查看最新版本
$ touch d1.html //新建代码d1.html
$ git status
$ git add .
$ git commit -m'上班第一天代码'
$ git push -u origin master
或者
$ git push origin dev
在三里屯GitHub仓库中拉倒本地
$ git pull origin dev//从GitHub仓库dev分支中把代码拉下来
2.8忘记推送代码(合并,会有冲突)
$ vim a5.html
在公司开发项目新功能50%
$ git add .
$ git commit -m '开发项目新功能50%'
没有推送到github仓库
在家开发其他新功能
$ git add .
$ git commit -m '在家开发其他新功能'
$ git push origin dev
第二天在在公司开发项目新功能另外的50%
$ git pull origin dev
直接报冲突,需要手动修改代码
CONFLICT (content): Merge conflict in index.html
Automatic merge failed; fix conflicts and then commit the result.
解决冲突,继续开发
$ git add .
$ git commit -m '继续开发完毕'
$ git push origin dev
上线
两个命令
$ git pull origin dev
等同于
$ git fetch origin dev //把GitHub仓库代码放到版本库中
$ git merge origin/dev//把版本库中的代码合并到本地工作区
2.9 rebase(变基)应用场景
作用:rebase使git提交记录变得简洁
第一种:
把多个git记录整合成一个
$ git rebase -i HEAD~3//代表最新的三条记录合并
或者添加版本号
$ git rebase -i f10c4efcb506deed03f7fedc8f44a81fd5e2994f(v2版本号)//v2-v4版本合并
会显示
pick f10c4ef 第二天代码版本
s 5279092 第三天代码版本
s 86b37dc 第四天代码版本
第三天代码版本和第四天代码版本合并到第二天代码版本
:wq
$ rm -fr ".git/rebase-merge"//代表删除之前合并的
vim编辑器中常用命令
a或i代表命令可编辑
输入冒号:代表进入编辑器末尾
再输入:wq +enter键直接再进入vim另外一个对话框
再输入:wq +enter,保存并退出到git bash 界面中
第二种:
vim编辑器中常用命令
a或i代表命令可编辑
ESC 退出编辑
a进入编辑
:wq+Enter代表保存退出
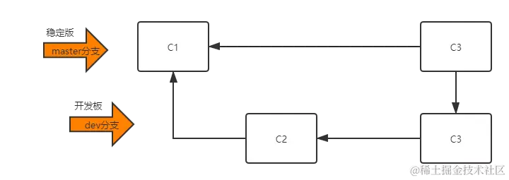
$ git log --graph//图形显示log程序
$ git log --graph --pretty=format:"%h %s"//h:hash值;s:记录
步骤如下:
第一步:切换到dev分支
$ git checkout dev
第二步:在dev分支把master代码何并到dev分支
$ git rebase master//相当于$ git merge master
第三步:切换回master分支
$ git checkout master
第四步:
$ git merge dev//把dev分支合并到master上
$ git log --graph --pretty=format:"%h %s"//h:hash值;s:记录
第三种:
$ git pull origin dev
相当于
$ git fetch origin dev
$ git rebase origin dev
2.10 快速解决冲突(Beyond Compare软件应用)
1.安装Beyond Compare
2.在git中配置
$ git config --local merge.tool bc3//起一个别名
$ git config --local mergetool.path 'D:\Program Files (x86)\Beyond Compare 4\Beyond Compare 4' //安装目录 'usr/local/bin/bcomp'
$ git config --local mergetool.keepBackup false//不用保留源文件备份
注意 --local 只对当前项目有效
$ pwd
/c/Users/静静/Desktop/download/pro_rebase
3.应用Beyond Compare解决冲突
$ git mergetool
2.11总结
添加远程连接(别名)
$ git remote add origin 地址
推送代码
$ git push origin dev
下载代码
$ git clone 地址
拉取代码
$ git pull origin dev
等价于
$ git fetch origin dev
$ git merge origin/dev
保持代码提交简洁(变基)
$ git rebase 分支
记录图形展示
$ git log --graph --pretty=format:"%h %s"
2.12多人协同开发gitflow工作流思路(第六阶段)
在GitHub项目中创建组织(New organization)
下面把个人电脑上面的代码推送到组织(liujingfamily2)中的项目dbhost
git中的版本控制
$ git tag -a v1 -m'第一版'//在本地tag打在了此次提交的记录上面
注意 tag v1 是对hash值做的简写
推送到GitHub中
$ git push origin --tags
多人协作项目
第一步:创建dev分支
$ git checkout -b dev//创建dev并且切换到dev分支
等价于
$ git branch dev
$ git checkout dev
第二步:把dev分支推送到GitHub
$ git push origin dev
新人工作人员
把代码克隆到本地开发
$ git clone https://github.com/liujingfamily2/dbhost.git
切换到dev分支
$ git checkout dev
再在dev分支拆分doudizhu任务
$ git checkout -b doudizhu //创建doudizhu并且切换到doudizhu分支
doudizhu任务继续开发
$ vim 斗地主.html
开发完斗地主功能
:wq
回到doudizhu分支
$ git add 斗地主.html
$ git commit -m'斗地主第一版本'
$ git push origin doudizhu //推送到GitHub中斗地主分支,完成斗地主第一版本
review阶段
1.合并前需要在leader中GitHub中配置,配置过程:settings->Branches->Add rule->Branch name pattern(添加分支名称)和下面勾选的review规则细节
2.需要在小弟GitHub中pull requests中把doudiz分支合并到dev分支
3.在leader中GitHub中pull requests中点击merge pull request按钮,下方的delete branch可以删除doudizhu任务分支
或者
leader用代码review
第一步:
git fetch origin
git checkout -b doudizhu origin/doudizhu
git merge dev
第二步:
git checkout dev
git merge --no-ff doudizhu
git push origin dev
提出测试
$ git checkout dev
$ git checkout -b release//切出release分支进行测试
$ git push origin release
在GitHub中把release分支合并到master分支
1.需要在leaderGitHub中pull requests中把release分支合并到master分支
3.在leader中GitHub中pull requests中点击merge pull request按钮,下方的delete branch可以删除release任务分支
在本地把release分支合并到dev分支
$ git checkout dev
$ git merge release
$ git branch -d release//删除release分支
$ git checkout master
$ git pull origin master
$ git tag -a v2 -m‘第二版’
$ git push origin --tags
运维人员就可以线上下载代码做上线
$ git clone -b v2 地址
2.13第七阶段:给其他开源软件贡献代码
1.fork源码
将别人的源代码拷贝到我自己的远程仓库。
2.在自己的仓库修改代码
3.给源代码的作者提交 修复bug的申请(pull request)
第三章 其他
3.1配置
项目配置文件:项目/.git/config 在当前项目生效
$ vim .git/config
$ git config --local user.name‘jingjing’
$ git config --local user.email'jingjing@xx.com'
全局配置文件:~/.gitconfig
$ vim ~/.gitconfig
$ git config --global user.name 'jingjing'
$ git config --global user.email'jingjing@xx.com'
系统配置文件:/etc/.gitconfig
$ git config --system user.name 'jingjing'
$ git config --system user.email'jingjing@xx.com'
注意:需要有root权限
应用场景:
$ git config --local user.name‘jingjing’
$ git config --local user.email'jingjing@xx.com'
$ git config --local merge.tool bc3//起一个别名
$ git config --local mergetool.path 'D:\Program Files (x86)\Beyond Compare 4\Beyond Compare 4' //安装目录 'usr/local/bin/bcomp'
$ git config --local mergetool.keepBackup false//不用保留源文件备份
$ git remote add origin 地址 //origin默认添加在本地配置文件中(--local)
3.2免密码登录
URL中体现
原来的地址:https://github.com/liujingfamily2/dbhost.git
修改的地址:https://用户名:密码@github.com/liujingfamily2/dbhost.git
$ git remote add origin https://用户名:密码@github.com/liujingfamily2/dbhost.git
$ git push origin master
SSH实现(公钥)
1.生成公钥和私钥(默认放在~/.ssh/id_rsa.pub)id_rsa.pub公钥;id_rsa私钥
$ ssh-keygen +enter+enter+enter
$ cat ~/.ssh/id_rsa.pub//拿到公钥
2.拷贝公钥的内容,并设置到GitHub中(个人菜单下的setting->SSH & GPG keys)
ssh-rsa AAAAB3NzaC1yc2EAAAADAQABAAABgQDlDTFpg0s2JzV4KAMsaR7NpkGHCzWlECswFdPHgoalsXjgvCQCGhbe0zmtqRduhAcDXeRZyeVETP57kPksGJnHsfwRrZp1v4Luvg35wj8LngYLWRAZSiAWo0xUPnDAUDQxLq3jQdThAiK6i4ffCQ3gXfjfQ6x/qWKF+Kzesxu07mGzmwcZIRqnB7aEJF6ZivYkhcUgWNPwwWjm2wdhzwiEh2vdsY10y08DcFx8YS/1ZAENRsSz7psziQP1RT09iwP7PszewdXYmJIdXXO/MhN5ELCnbNEogXIEU61L+fV/SSk59J0p7YYsaqWOtsxR/IdvfawsS0kM7DSmdHleugSLnI6zi2RTCYg+J7m15/AyUrljN6xAAHxKfhICM/onQJvTVLoaqXc1e8SljvXNMVJj/tTIRaOfuYeBGDW9y6RB+Y01+cjYNhlEWq71yJ4FYJKI7LdnJXqqqH2AedLw2liV8wqwPejI81BjZThvheAHsQytwbnlSl4ffIoay7p9/+M= 静静@LAPTOP-99HKOQPP
3.在git本地中配置ssh地址
$ git remote add origin git@github.com:tornadoweb/tornado.git//GitHub中use SSH地址
4.以后使用
$ git push origin master
git自动管理凭证
3.3git忽略文件
可以在github文件中直接搜索gitignore,搜索参考文档
$ vim .gitignore//创建.gitignore文件
在.gitignore文件中键入不想管理的文件
files/ //会忽略files文件夹下的所有文件
!a.html //取反
*.py[a|b|c]//忽略所有的.pya .pyb .pyc
3.4任务管理相关
issues:文档以及任务管理
wiki:项目文档