高等数学

327 阅读3分钟

极限

广义的“极限”是指“无限靠近而永远不能到达”的意思。数学中的“极限”指:某一个函数中的某一个变量,此变量在变大(或者变小)的永远变化的过程中,逐渐向某一个确定的数值A不断地逼近而“永远不能够重合到A”(“永远不能够等于A,但是取等于A‘已经足够取得高精度计算结果)的过程中,此变量的变化,被人为规定为“永远靠近而不停止”、其有一个“不断地极为靠近A点的趋势”。极限是一种“变化状态”的描述。此变量永远趋近的值A叫做“极限值”(当然也可以用其他符号表示)。

极限运算法则

两个重要准则

夹逼定理

单调有界必有极限

两个重要极限

无穷小比较

等阶无穷小

当x->0时,

连续

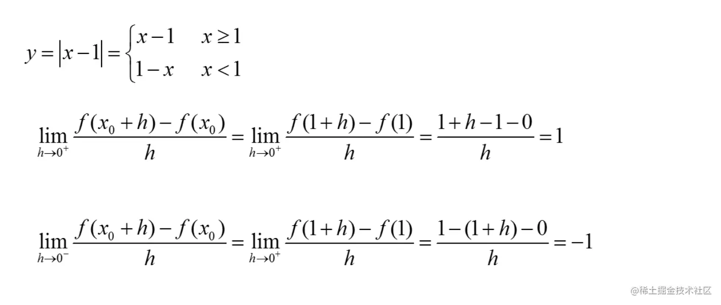
某点连续性判定:左极限 = 右极限 = 该点函数值

一切初等函数在其定义区间内都是连续的

导数

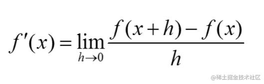
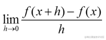
导数(Derivative),也叫导函数值。又名微商,是微积分中的重要基础概念。当函数y=f(x)的自变量x在一点x0上产生一个增量Δx时,函数输出值的增量Δy与自变量增量Δx的比值在Δx趋于0时的极限a如果存在,a即为在x0处的导数,记作f'(x0)或df(x0)/dx。

导数是函数的局部性质。一个函数在某一点的导数描述了这个函数在这一点附近的变化率。如果函数的自变量和取值都是实数的话,函数在某一点的导数就是该函数所代表的曲线在这一点上的切线斜率。导数的本质是通过极限的概念对函数进行局部的线性逼近。例如在运动学中,物体的位移对于时间的导数就是物体的瞬时速度。

不是所有的函数都有导数,一个函数也不一定在所有的点上都有导数。若某函数在某一点导数存在,则称其在这一点可导,否则称为不可导。然而,可导的函数一定连续;不连续的函数一定不可导

可导必连续

连续不一定可导

切线

几何上,切线指的是一条刚好触碰到曲线上某一点的直线。更准确地说,当切线经过曲线上的某点(即切点)时,切线的方向与曲线上该点的方向是相同的。平面几何中,将和圆只有一个公共交点的直线叫做圆的切线。

切线斜率

斜率绝对值越大,直线越陡峭

导函数

常用求导公式

反函数求导

复合函数求导

高阶导数

费马引理

罗尔定理

拉格朗日中值定理

理解:总能找到c点和ab两点斜率相等

柯西中值定理

极值

凹凸性

拐点

洛必达法则

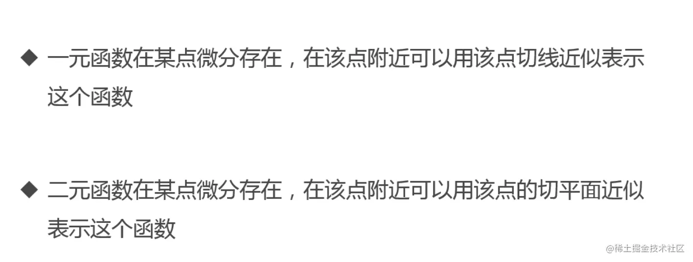
微分

可微的充要条件

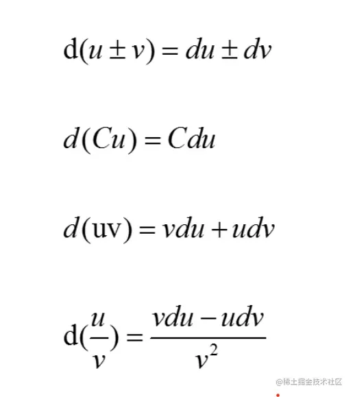
微分常见公式

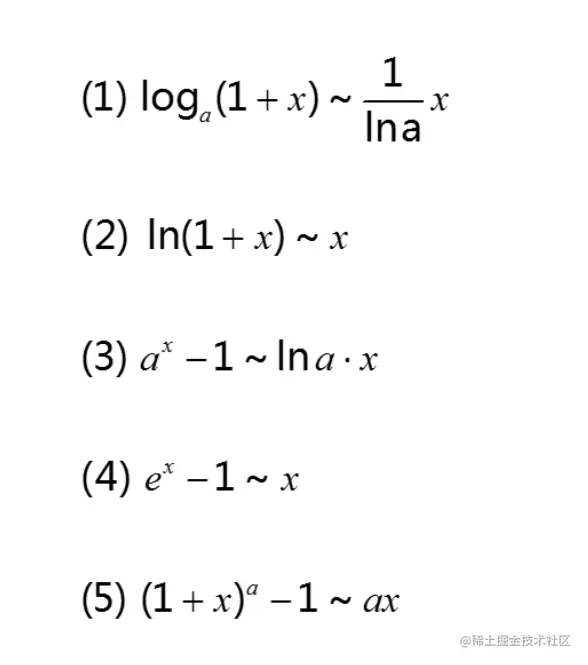
常用近似结论

泰勒公式

收敛半径

牛顿-拉夫逊迭代法

# x^4-2x^3-x+2 = 0
# 4x^3 - 6x^2 -1
x0 =5
err = 1
n = 0

while err>0.0001:
    xn = x0-(x0**4 -2*x0**3 -x0+2)/(4*x0**3-6*x0**2-1)
    err = abs(xn-x0)
    x0 = xn
    n = n +1

print(x0)

多元函数

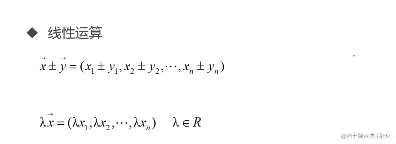
向量

二元函数极限

多元函数连续性

偏导数

偏导数的几何意义

偏导数与连续的关系

计算偏导数

二阶偏导数

多元函数极值必要条件

二元函数

极值存在充分条件

拉格朗日乘数法

全微分

全微分充要条件

充分条件

理解全微分

全微分计算

全微分作用

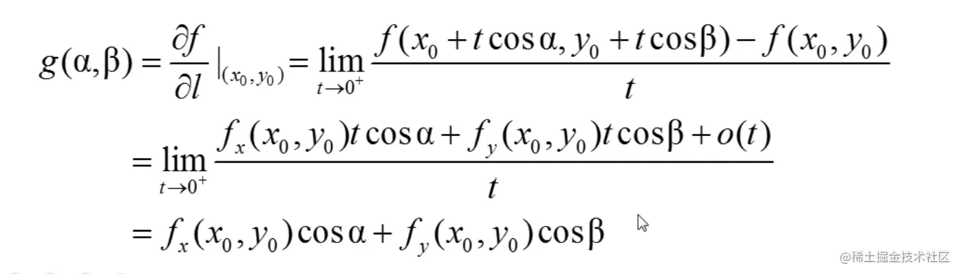
方向导数

方向导数意义

射线参数方程

方向导数

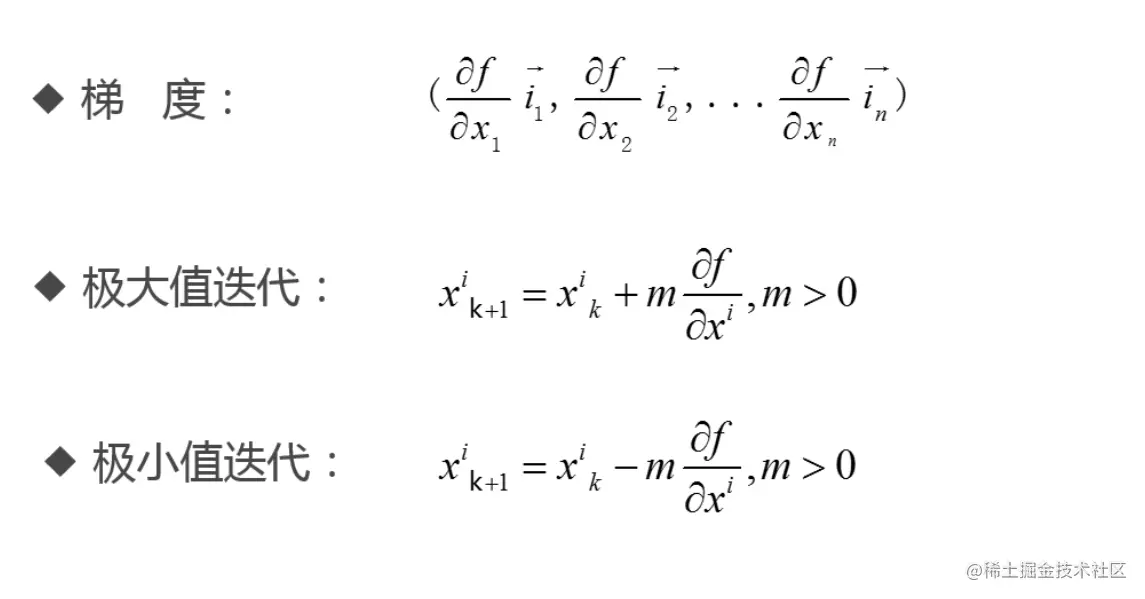
梯度

梯度下降算法

梯度下降算法局限性

二元函数泰勒公式