先看再点赞,给自己一点思考的时间,如果对自己有帮助,微信搜索【程序职场】关注这个执着的职场程序员。
我有什么:职场规划指导,技能提升方法,讲不完的职场故事,个人成长经验。
输入一个复杂链表(每个节点中有节点值,以及两个指针,一个指向下一个节点,另一个特殊指针指向任意一个节点),返回结果为复制后复杂链表的 head。
请对此链表进行深拷贝,并返回拷贝后的头结点。(注意,输出结果中请不要返回参数中的节点引用,否则判题程序会直接返回空)
public class RandomListNode {
int label;
RandomListNode next = null;
RandomListNode random = null;
RandomListNode(int label) {
this.label = label;
}
}
123456789

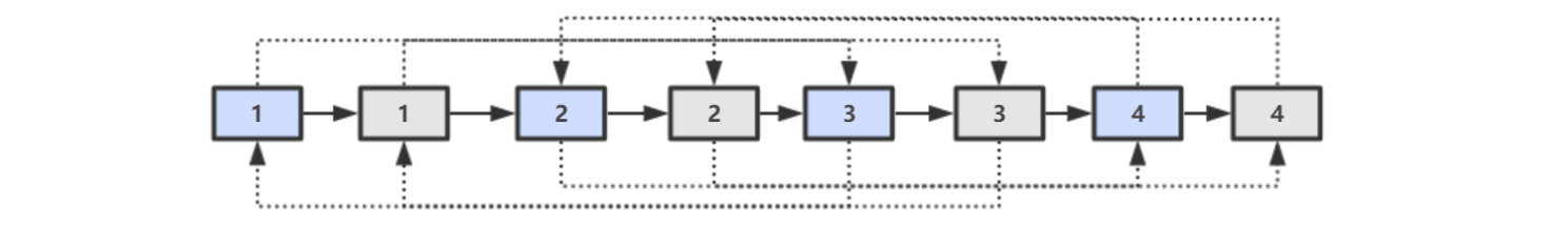
解题思路
第一步,在每个节点的后面插入复制的节点。

第二步,对复制节点的 random 链接进行赋值。

第三步,拆分。

/*
public class RandomListNode {
int label;
RandomListNode next = null;
RandomListNode random = null;
RandomListNode(int label) {
this.label = label;
}
}
*/
public class Solution {
public RandomListNode Clone(RandomListNode pHead) {
if(pHead == null)
return null;
// 插入节点-相同值紧跟
RandomListNode cur = pHead;
while(cur != null) {
RandomListNode clone = new RandomListNode(cur.label);
clone.next = cur.next;
cur.next = clone;
cur = clone.next;
}
// 拷贝指针
cur = pHead;
while(cur != null) {
RandomListNode clone = cur.next;
if(cur.random != null)
clone.random = cur.random.next;
cur = clone.next;
}
// 分离两组
cur = pHead;
RandomListNode pCloneHead = pHead.next;
while(cur.next != null) {
RandomListNode next = cur.next;
cur.next = next.next;
cur = next;
}
return pCloneHead;
}
}
我是【尔东双月】一枚执着的职场程序员,微信搜索【程序职场】关注我。别忘了三连啊,点赞、收藏、留言,随意给,我不挑。
知乎号: 程序职场
注:如果文章有任何问题,欢迎毫不留情地指正。