目标检测中的IOU和CIOU原理讲解以及应用(附测试代码)

1,131 阅读4分钟

上期讲解了目标检测中的三种数据增强的方法,这期我们讲讲目标检测中用来评估对象检测算法的IOU和CIOU的原理应用以及代码实现。

交并比IOU(Intersection over union)

在目标检测任务中,我们用框框来定位对象,如下图定位图片中这个汽车,假设实际框是图中红色的框框,你的算法预测给出的是紫色的框框,怎么判断你的算法预测的这个框框的效果好坏呢?

这就用到我们的交并比函数IOU了,计算公式如下:

将我们图片汽车的实际红色框记为A,算法的预测框记为B,交并比就是数学中A和B的交集A∩B跟A和B的并集的A∪B的面积之比,非常容易理解。IOU实际上衡量了两个边界框重叠地相对大小,预测框和真实框重叠越大,说明你的算法预测效果比较好,IOU是一个评价指标

那么回到刚刚的问题:如何利用IOU进行判断算法的预测效果好坏呢?也就是这个预测框是否可以当做正确的定位到我们的目标汽车呢?

在计算机检测任务中,如果我们算法的预测框和实际框之间的交并比IOU≧0.5,那么你的算法预测结果是可以接受的,就说你预测的这个框框是正确的,这个阈值0.5,你可以设置得更高,边界框越精确,在YOLOv3中正是用到这个IOU来对我们的先验框进行了一个筛选,以及计算测试集的模型效果mAP时也用到了IOU进行阈值判断。

效果图

首先借助Opencv和numpy框画两个框,然后计算IOU进行展示,如下图。

IOU实现代码

以框的左上角(x1,y1)和右下角(x2,y2)坐标形式来计算它们之间的IOU。

import cv2import numpy as npdef CountIOU(RecA, RecB):  xA = max(RecA[0], RecB[0])  yA = max(RecA[1], RecB[1])  xB = min(RecA[2], RecB[2])  yB = min(RecA[3], RecB[3])  # 计算交集部分面积  interArea = max(0, xB - xA + 1) * max(0, yB - yA + 1)  # 计算预测值和真实值的面积  RecA_Area = (RecA[2] - RecA[0] + 1) * (RecA[3] - RecA[1] + 1)  RecB_Area = (RecB[2] - RecB[0] + 1) * (RecB[3] - RecB[1] + 1)  # 计算IOU  iou = interArea / float(RecA_Area + RecB_Area - interArea)  return iouif __name__ == "__main__":  img = np.zeros((512, 512, 3), np.uint8)  img.fill(255)  RecA = [50, 50, 300, 300]   # x1,y1,x2,y2  RecB = [60, 60, 320, 320]  cv2.rectangle(img, (RecA[0], RecA[1]), (RecA[2], RecA[3]), (0, 255, 0), 5)  cv2.rectangle(img, (RecB[0], RecB[1]), (RecB[2], RecB[3]), (255, 0, 0), 5)  IOU = CountIOU(RecA, RecB)  font = cv2.FONT_HERSHEY_SIMPLEX  cv2.putText(img, "IOU = %.2f" % IOU, (130, 190), font, 0.8, (0, 0, 0), 2)  cv2.imshow("image", img)  cv2.waitKey()  cv2.destroyAllWindows()

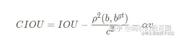
CIOU(Complete-IOU)

IoU是比值的概念,对目标物体的尺寸scale是不敏感的。我们在计算框框BBox的回归损失函数进行优化有多种优化方式,如在CIOU之前有GIOU、DIOU,而CIOU解决了一般IoU无法直接优化两个框框没有重叠的部分。

IoU经过GIOU再到DIOU最终发展到CIOU,CIOU将目标与框框anchor之间的距离,重叠率、尺度以及惩罚项都考虑进去,使得目标框回归变得更加稳定,不会像IoU和GIoU一样出现训练过程中发散等问题,而惩罚因子把预测框长宽比拟合目标框的长宽比考虑进去,在最新发布的yolov4中anchor的回归就是用的CIOU方式

CIOU计算公式

效果图

首先借助Opencv和numpy框画两个框,然后按照公式计算CIOU进行展示,如下图。

代码实现:

import torchimport numpy as npimport cv2import mathdef box_ciou(b1, b2):    """    输入为:    ----------    b1: tensor, shape=(batch, feat_w, feat_h, anchor_num, 4), xywh    b2: tensor, shape=(batch, feat_w, feat_h, anchor_num, 4), xywh    返回为:    -------    ciou: tensor, shape=(batch, feat_w, feat_h, anchor_num, 1)    """# 求出预测框左上角右下角    b1_xy = b1[..., :2]    b1_wh = b1[..., 2:4]    b1_wh_half = b1_wh/2\.    b1_mins = b1_xy - b1_wh_half    b1_maxes = b1_xy + b1_wh_half    # 求出真实框左上角右下角    b2_xy = b2[..., :2]    b2_wh = b2[..., 2:4]    b2_wh_half = b2_wh/2\.    b2_mins = b2_xy - b2_wh_half    b2_maxes = b2_xy + b2_wh_half    # 求真实框和预测框所有的iou    intersect_mins = torch.max(b1_mins, b2_mins)    intersect_maxes = torch.min(b1_maxes, b2_maxes)    intersect_wh = torch.max(intersect_maxes - intersect_mins, torch.zeros_like(intersect_maxes))    intersect_area = intersect_wh[..., 0] * intersect_wh[..., 1]    b1_area = b1_wh[..., 0] * b1_wh[..., 1]    b2_area = b2_wh[..., 0] * b2_wh[..., 1]    union_area = b1_area + b2_area - intersect_area    iou = intersect_area / (union_area + 1e-6)    # 计算中心的差距    center_distance = torch.sum(torch.pow((b1_xy - b2_xy), 2), axis=-1)    # 找到包裹两个框的最小框的左上角和右下角    enclose_mins = torch.min(b1_mins, b2_mins)    enclose_maxes = torch.max(b1_maxes, b2_maxes)    enclose_wh = torch.max(enclose_maxes - enclose_mins, torch.zeros_like(intersect_maxes))    # 计算对角线距离    enclose_diagonal = torch.sum(torch.pow(enclose_wh,2), axis=-1)    ciou = iou - 1.0 * (center_distance) / (enclose_diagonal + 1e-7)    v = (4 / (math.pi ** 2)) * torch.pow((torch.atan(b1_wh[..., 0]/b1_wh[..., 1]) - torch.atan(b2_wh[..., 0]/b2_wh[..., 1])), 2)    alpha = v / (1.0 - iou + v)    ciou = ciou - alpha * v    return ciouif __name__ == "__main__":    img = np.zeros((512, 512, 3), np.uint8)    img.fill(255)    RecA = [1, 90, 90, 150, 150]    RecB = [1, 150, 150, 200, 200]    a = torch.tensor(RecA, dtype=torch.float)  # tensor, shape=(batch, feat_w, feat_h, anchor_num, 4), xywh    b = torch.tensor(RecB, dtype=torch.float)    cv2.rectangle(img, (int(RecA[1]-RecA[3]/2), int(RecA[2]-RecA[4]/2)), (int(RecA[1]+RecA[3]/2), int(RecA[2]+RecA[4]/2)), (0, 255, 0), 5)    cv2.rectangle(img,(int(RecB[1]-RecB[3]/2), int(RecB[2]-RecB[4]/2)), (int(RecB[1]+RecB[3]/2), int(RecB[2]+RecB[4]/2)), (255, 0, 0), 5)    CIOU = box_ciou(a,b)    font = cv2.FONT_HERSHEY_SIMPLEX    cv2.putText(img, "CIOU = %.2f" % CIOU, (130, 190), font, 0.8, (0, 0, 0), 2)    cv2.imshow("image", img)    cv2.waitKey()    cv2.destroyAllWindows()

相关代码,还请关注微信公众号:码农的后花园,回复关键字:IOU,下载使用。

更多有关python、深度学习和计算机编程和电脑知识的精彩内容,可以关注微信公众号:码农的后花园