焦点损失函数 Focal Loss 与 GHM

757 阅读8分钟

文章来自公众号【机器学习炼丹术】

1 focal loss的概述

焦点损失函数 Focal Loss(2017年何凯明大佬的论文)被提出用于密集物体检测任务。

当然,在目标检测中,可能待检测物体有1000个类别,然而你想要识别出来的物体,只是其中的某一个类别,这样其实就是一个样本非常不均衡的一个分类问题。

而Focal Loss简单的说,就是解决样本数量极度不平衡的问题的。

说到样本不平衡的解决方案,相比大家是知道一个混淆矩阵的f1-score的,但是这个好像不能用在训练中当成损失。而Focal loss可以在训练中,让小数量的目标类别增加权重,让分类错误的样本增加权重

先来看一下简单的二值交叉熵的损失:

  • y’是模型给出的预测类别概率,y是真实样本。就是说,如果一个样本的真实类别是1,预测概率是0.9,那么log(0.9)-log(0.9)就是这个损失。
  • 讲道理,一般我不喜欢用二值交叉熵做例子,用多分类交叉熵做例子会更舒服。

【然后看focal loss的改进】: 这个增加了一个(1y)γ(1-y')^\gamma的权重值,怎么理解呢?就是如果给出的正确类别的概率越大,那么(1y)γ(1-y')^\gamma就会越小,说明分类正确的样本的损失权重小,反之,分类错误的样本的损权重大


【focal loss的进一步改进】: 这里增加了一个α\alpha,这个alpha在论文中给出的是0.25,这个就是单纯的降低正样本或者负样本的权重,来解决样本不均衡的问题

两者结合起来,就是一个可以解决样本不平衡问题的损失focal loss。


【总结】:

  1. α\alpha解决了样本的不平衡问题;
  2. β\beta解决了难易样本不平衡的问题。让样本更重视难样本,忽视易样本。
  3. 总之,Focal loss会的关注顺序为:样本少的、难分类的;样本多的、难分类的;样本少的,易分类的;样本多的,易分类的。

2 GHM

  • GHM是Gradient Harmonizing Mechanism。

这个GHM是为了解决Focal loss存在的一些问题。

【Focal Loss的弊端1】 让模型过多的关注特别难分类的样本是会有问题的。样本中有一些异常点、离群点(outliers)。所以模型为了拟合这些非常难拟合的离群点,就会存在过拟合的风险。

2.1 GHM的办法

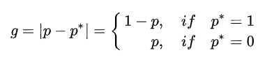
Focal Loss是从置信度p的角度入手衰减loss的。而GHM是一定范围内置信度p的样本数量来衰减loss的。

首先定义了一个变量g,叫做梯度模长(gradient norm) 可以看出这个梯度模长,其实就是模型给出的置信度pp^*与这个样本真实的标签之间的差值(距离)。g越小,说明预测越准,说明样本越容易分类。

下图中展示了g与样本数量的关系:

【从图中可以看到】

  • 梯度模长接近于0的样本多,也就是易分类样本是非常多的
  • 然后样本数量随着梯度模长的增加迅速减少
  • 然后当梯度模长接近1的时候,样本的数量又开始增加。

GHM是这样想的,对于梯度模长小的易分类样本,我们忽视他们;但是focal loss过于关注难分类样本了。关键是难分类样本其实也有很多!,如果模型一直学习难分类样本,那么可能模型的精确度就会下降。所以GHM对于难分类样本也有一个衰减。

那么,GHM对易分类样本和难分类样本都衰减,那么真正被关注的样本,就是那些不难不易的样本。而抑制的程度,可以根据样本的数量来决定。

这里定义一个GD,梯度密度

GD(g)=1l(g)k=1Nδ(gk,g)GD(g)=\frac{1}{l(g)}\sum_{k=1}^N{\delta(g_k,g)}

  • GD(g)GD(g)是计算在梯度g位置的梯度密度;
  • δ(gk,g)\delta(g_k,g)就是样本k的梯度gkg_k是否在[gϵ2,g+ϵ2][g-\frac{\epsilon}{2},g+\frac{\epsilon}{2}]这个区间内。
  • l(g)l(g)就是[gϵ2,g+ϵ2][g-\frac{\epsilon}{2},g+\frac{\epsilon}{2}]这个区间的长度,也就是ϵ\epsilon

总之,GD(g)GD(g)就是梯度模长在[gϵ2,g+ϵ2][g-\frac{\epsilon}{2},g+\frac{\epsilon}{2}]内的样本总数除以ϵ\epsilon.

然后把每一个样本的交叉熵损失除以他们对应的梯度密度就行了。 LGHM=i=1NCE(pi,pi)GD(gi)L_{GHM}=\sum^N_{i=1}{\frac{CE(p_i,p_i^*)}{GD(g_i)}}

  • CE(pi,pi)CE(p_i,p_i^*)表示第i个样本的交叉熵损失;
  • GD(gi)GD(g_i)表示第i个样本的梯度密度;

2.2 论文中的GHM

论文中呢,是把梯度模长划分成了10个区域,因为置信度p是从0~1的,所以梯度密度的区域长度就是0.1,比如是0~0.1为一个区域。

下图是论文中给出的对比图:

【从图中可以得到】

  • 绿色的表示交叉熵损失;
  • 蓝色的是focal loss的损失,发现梯度模长小的损失衰减很有效;
  • 红色是GHM的交叉熵损失,发现梯度模长在0附近和1附近存在明显的衰减。

当然可以想到的是,GHM看起来是需要整个样本的模型估计值,才能计算出梯度密度,才能进行更新。也就是说mini-batch看起来似乎不能用GHM。

在GHM原文中也提到了这个问题,如果光使用mini-batch的话,那么很可能出现不均衡的情况。

【我个人觉得的处理方法】

  1. 可以使用上一个epoch的梯度密度,来作为这一个epoch来使用;
  2. 或者一开始先使用mini-batch计算梯度密度,然后模型收敛速度下降之后,再使用第一种方式进行更新。

3 python实现

上面讲述的关键在于focal loss实现的功能:

  1. 分类正确的样本的损失权重小,分类错误的样本的损权重大
  2. 样本过多的类别的权重较小

在CenterNet中预测中心点位置的时候,也是使用了Focal Loss,但是稍有改动。

3.1 概述

这里面和上面讲的比较类似,我们忽视脚标。

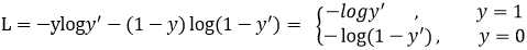
  • 假设Y=1Y=1,那么预测的Y^\hat{Y}越靠近1,说明预测的约正确,然后(1Y^)α(1-\hat{Y})^\alpha就会越小,从而体现分类正确的样本的损失权重小;otherwize的情况也是这样。
  • 但是这里的otherwize中多了一个(1Y)β(1-Y)^\beta,这个是用来平衡样本不均衡问题的,在后面的代码部分会提到CenterNet的热力图。就会明白这个了。

3.2 代码讲解

下面通过代码来理解:

class FocalLoss(nn.Module):
    def __init__(self):
        super().__init__()
        self.neg_loss = _neg_loss

    def forward(self, output, target, mask):
        output = torch.sigmoid(output)
        loss = self.neg_loss(output, target, mask)
        return loss

这里面的output可以理解为是一个1通道的特征图,每一个pixel的值都是模型给出的置信度,然后通过sigmoid函数转换成0~1区间的置信度。

而target是CenterNet的热力图,这一点可能比较难理解。打个比方,一个10*10的全都是0的特征图,然后这个特征图中只有一个pixel是1,那么这个pixel的位置就是一个目标检测物体的中心点。有几个1就说明这个图中有几个要检测的目标物体。

然后,如果一个特征图上,全都是0,只有几个孤零零的1,未免显得过于稀疏了,直观上也非常的不平滑。所以CenterNet的热力图还需要对这些1为中心做一个高斯 可以看作是一种平滑: 可以看到,数字1的四周是同样的数字。这是一个以1为中心的高斯平滑。


这里我们回到上面说到的(1Y)β(1-Y)^\beta 对于数字1来说,我们计算loss自然是用第一行来计算,但是对于1附近的其他点来说,就要考虑(1Y)β(1-Y)^\beta了。越靠近1的点的YY越大,那么(1Y)β(1-Y)^\beta就会越小,这样从而降低1附近的权重值。其实这里我也讲不太明白,就是根据距离1的距离降低负样本的权重值,从而可以实现样本过多的类别的权重较小


我们回到主题,对output进行sigmoid之后,与output一起放到了neg_loss中。我们来看什么是neg_loss:

def _neg_loss(pred, gt, mask):
    pos_inds = gt.eq(1).float() * mask
    neg_inds = gt.lt(1).float() * mask

    neg_weights = torch.pow(1 - gt, 4)

    loss = 0

    pos_loss = torch.log(pred) * torch.pow(1 - pred, 2) * pos_inds
    neg_loss = torch.log(1 - pred) * torch.pow(pred, 2) * \
               neg_weights * neg_inds

    num_pos = pos_inds.float().sum()
    pos_loss = pos_loss.sum()
    neg_loss = neg_loss.sum()

    if num_pos == 0:
        loss = loss - neg_loss
    else:
        loss = loss - (pos_loss + neg_loss) / num_pos
    return loss

先说一下,这里面的mask是根据特定任务中加上的一个小功能,就是在该任务中,一张图片中有一部分是不需要计算loss的,所以先用过mask把那个部分过滤掉。这里直接忽视mask就好了。

neg_weights = torch.pow(1 - gt, 4)可以得知β=4\beta=4,从下面的代码中也不难推出,α=2\alpha=2,剩下的内容就都一样了。

把每一个pixel的损失都加起来,除以目标物体的数量即可。