题目描述
你有一个带有四个圆形拨轮的转盘锁。每个拨轮都有 10 个数字: '0', '1', '2', '3', '4', '5', '6', '7', '8', '9' 。每个拨轮可以自由旋转:例如把 '9' 变为 '0','0' 变为 '9' 。每次旋转都只能旋转一个拨轮的一位数字。
锁的初始数字为 '0000' ,一个代表四个拨轮的数字的字符串。
列表 deadends 包含了一组死亡数字,一旦拨轮的数字和列表里的任何一个元素相同,这个锁将会被永久锁定,无法再被旋转。
字符串 target 代表可以解锁的数字,你需要给出最小的旋转次数,如果无论如何不能解锁,返回 -1。
示例 1:
输入:deadends = ["0201","0101","0102","1212","2002"], target = "0202"
输出:6
解释:
可能的移动序列为 "0000" -> "1000" -> "1100" -> "1200" -> "1201" -> "1202" -> "0202"。
注意 "0000" -> "0001" -> "0002" -> "0102" -> "0202" 这样的序列是不能解锁的,
因为当拨动到 "0102" 时这个锁就会被锁定。
示例 2:
输入: deadends = ["8888"], target = "0009"
输出:1
解释:
把最后一位反向旋转一次即可 "0000" -> "0009"。
示例 3:
输入: deadends = ["8887","8889","8878","8898","8788","8988","7888","9888"], target = "8888"
输出:-1
解释:
无法旋转到目标数字且不被锁定。
示例 4:
输入: deadends = ["0000"], target = "8888"
输出:-1
提示:
- 死亡列表 deadends 的长度范围为 [1, 500]。
- 目标数字 target 不会在 deadends 之中。
- 每个 deadends 和 target 中的字符串的数字会在 10,000 个可能的情况 '0000' 到 '9999' 中产生。
来源:力扣(LeetCode)链接
思路
这道题很有意思,有个类似于我们皮箱的那种密码锁,可以通过上下转动转出任意的密码,不过这里有个限制,就是不能通过一些死亡数字,算是给我们增加了一些难度,否则的话就只看密码的数字是大还是小了,例如是 3 的话就从0->1->2->3,是 8 的话就0->9->8。
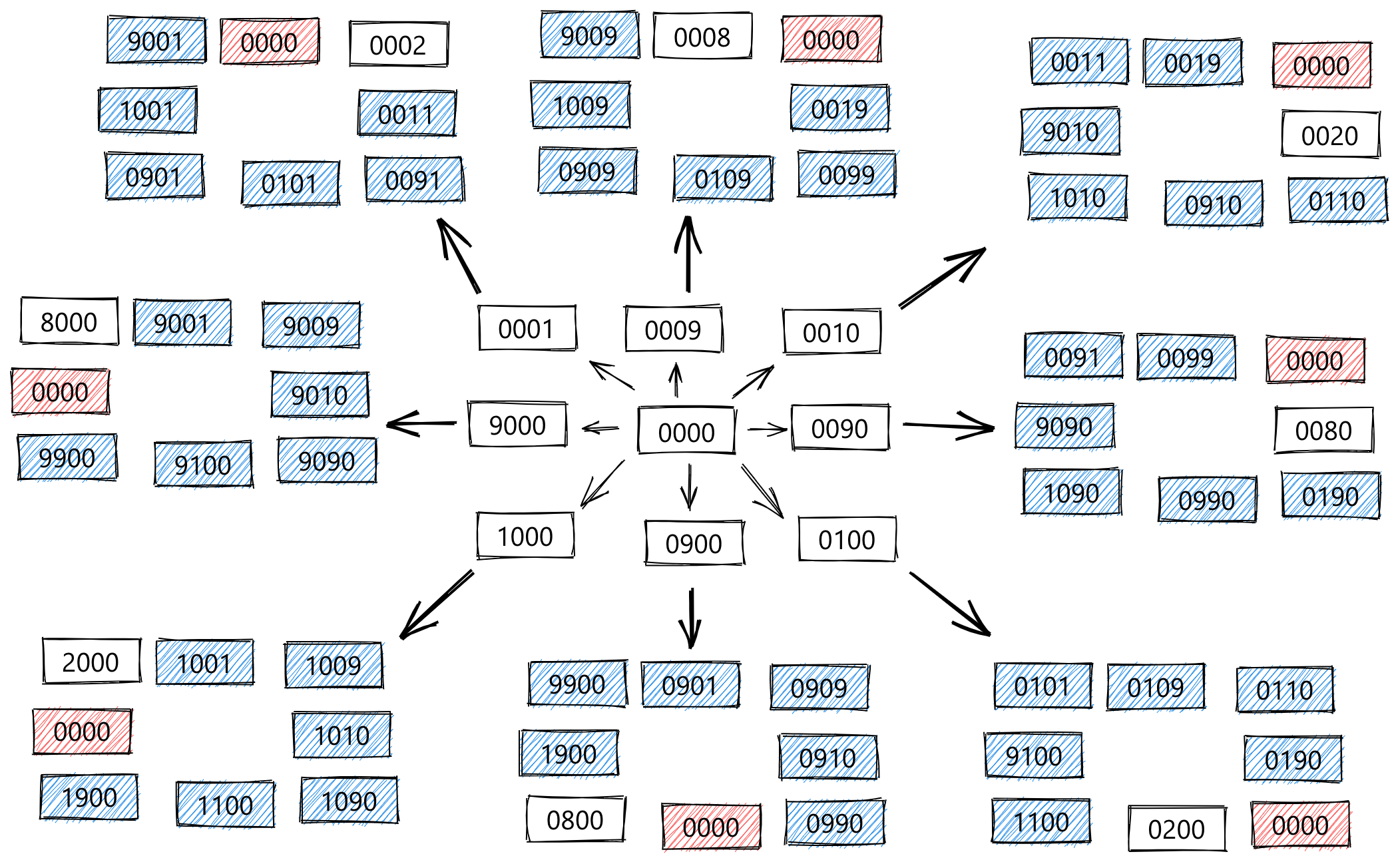
我们可以把0 0 0 0看做一个原点,然后这 1 个点可以变化出 8 种不同的结果,如下图所示:

然后这 8 个点可以继续变化:

请注意观察上图,其中有 8 种组合又回到了 0 0 0 0,还有蓝色部分都是具有重合项的。
那么我们的思路来了,可以利用这种变化,从0 0 0 0变化为 8 个点,再继续由先和 8 个点继续变化。。。直到我们找到了目标密码,每变化一次需要旋转一次。
var openLock = function (deadends, target) {
// 存储所有的原点,最初是 0000
let nodes = new Set();
nodes.add('0000');
// 匹配过的点,比如 0000 这种,对于匹配过的点不会加入到原点集合里面去
const history = new Set();
// 初始化旋转次数
let step = 0;
// 向上旋转,例如从0->1
const plus = function (nums, i) {
let array = nums.split('');
if (array[i] === '9') {
array[i] = '0';
} else {
array[i] = Number(array[i]) + 1;
}
return array.join('');
};
// 向下旋转,例如从0->9
const miuns = function (nums, i) {
let array = nums.split('');
if (array[i] === '0') {
array[i] = '9';
} else {
array[i] = Number(array[i]) - 1;
}
return array.join('');
};
// 原点没有目标密码
while (!nodes.has(target)) {
// 新增的原点集合
const newNodes = new Set();
// 当前原点集合
for (const nums of nodes) {
// 遇到不通的路就跳过
if (deadends.includes(nums)) {
continue;
}
// 遍历数字,分别做向上和向下旋转
for (let i = 0; i < nums.length; i++) {
// 旋转后的结果,把向上和向下旋转后的原点都存储起来
let result = plus(nums, i);
// 排除已选择的原点
if (!history.has(result) && !newNodes.has(result)) {
newNodes.add(result);
}
result = miuns(nums, i);
if (!history.has(result) && !newNodes.has(result)) {
newNodes.add(result);
}
}
// 已检查过的原点
history.add(nums);
}
step++;
// 新生成的原点集合,下一轮将对这些原点进行旋转
nodes = newNodes;
// 这里很关键,最后可能收敛没了
if (nodes.size === 0) {
return -1;
}
}
return step;
};
经过测试结果如下:
- 43/43 cases passed (652 ms)
- Your runtime beats 33.05 % of javascript submissions
- Your memory usage beats 72.41 % of javascript submissions (48.8 MB)
结果正确,但好像运行时间有点长,哪里可以优化呢?
我们目前的思路是由一个原点慢慢扩散到终点,也就是目标密码。就像是向水面扔了一颗石子,激起了一圈的涟漪,然后这圈涟漪最终碰到了我们的目标,那么如果我同时在目标处扔一个石子,让两个涟漪互相靠近,这样是不是会快很多呢?直觉告诉我肯定会快很多,而且,涟漪不需要扩散得很大就可以发现目标,我们来试一下
var openLock = function (deadends, target) {
// 存储所有的原点,最初是 0000
let nodes = new Set();
nodes.add('0000');
// 目标原点
let targetNodes = new Set();
targetNodes.add(target);
// 匹配过的点,比如 0000 这种,对于匹配过的点不会加入到原点集合里面去
const history = new Set();
// 初始化旋转次数
let step = 0;
// 向上旋转,例如从0->1
const plus = function (nums, i) {
let array = nums.split('');
if (array[i] === '9') {
array[i] = '0';
} else {
array[i] = Number(array[i]) + 1;
}
return array.join('');
};
// 向下旋转,例如从0->9
const miuns = function (nums, i) {
let array = nums.split('');
if (array[i] === '0') {
array[i] = '9';
} else {
array[i] = Number(array[i]) - 1;
}
return array.join('');
};
// 原点没有目标密码
while (nodes.size > 0 && targetNodes.size > 0) {
// 新增的原点集合
const newNodes = new Set();
// 当前原点集合
for (const nums of nodes) {
// 遇到不通的路就跳过
if (deadends.includes(nums)) {
continue;
}
// 相遇
if (targetNodes.has(nums)) {
return step;
}
// 遍历数字,分别做向上和向下旋转
for (let i = 0; i < nums.length; i++) {
// 旋转后的结果,把向上和向下旋转后的原点都存储起来
let result = plus(nums, i);
// 排除已选择的原点
if (!history.has(result) && !newNodes.has(result)) {
newNodes.add(result);
}
result = miuns(nums, i);
if (!history.has(result) && !newNodes.has(result)) {
newNodes.add(result);
}
}
// 已检查过的原点
history.add(nums);
}
step++;
// 交换集合,下一轮对targetNodes进行检查
nodes = targetNodes;
// 新生成的原点集合,下下一轮将对这些原点进行旋转
targetNodes = newNodes;
}
// 没有结果
return -1;
};
代码稍加改动的结果:
- 43/43 cases passed (208 ms)
- Your runtime beats 80 % of javascript submissions
- Your memory usage beats 100 % of javascript submissions (44.2 MB)
借用斯温(DOTA 英雄)的一句名言:『这下牛 b 了』,运行时间和所占内存都上了一个台阶
最近在看算法方面的内容,碰到有趣的就分享一下,感谢支持