【JavaScript 数据结构】- 树和堆

1,180 阅读6分钟

前言

我们之前了解了 数组 / 栈 / 队列 / 链表,现在就来了解点稍微复杂点的~~

数据结构 - 树

树的数据结构就像我们生活中的真实的树,只不过是倒过来的形状。

树的前置知识

在了解树之前我们需要知道一些专业名词:

  • 节点:树中的每个元素称为节点,如 A、B、C、D、E、F、G、H、I、J。
  • 父节点:指向子节点的节点,如 A。
  • 子节点:被父节点指向的节点,如 A 的孩子 B、C、D。
  • 父子关系:相邻两节点的连线,称为父子关系,如 A 与 B,C 与 H,D 与 J。
  • 根节点:没有父节点的节点,如 A。
  • 叶子节点:没有子节点的节点,如 E、F、G、H、I、J。
  • 兄弟节点:具有相同父节点的多个节点称为兄弟节点,如 B、C、D。
  • 节点的高度:节点到叶子节点的最长路径所包含的边数。
  • 节点的深度:根节点到节点的路径所包含的边数。
  • 节点层数:节点的深度 +1(根节点的层数是 1 )。
  • 树的高度:等于根节点的高度。
  • 森林: n 棵互不相交的树的集合。

从上图我们可以很清晰的知道:

高度是从下往上度量,比如一个人的身高 180cm ,起点就是从 0 开始的。

深度是从上往下度量,比如泳池的深度 180cm ,起点也是从 0 开始的。

高度和深度是带有度字的,都是从 0 开始计数的。

而层数的计算,是和我们平时的楼层的计算是一样的,最底下那层是第 1 层,是从 1 开始计数的,所以根节点位于第 1 层,其他子节点依次加 1。

二叉树分类 - 二叉树

定义

每个节点最多只有 2 个子节点的树,这两个节点分别是左子节点和右子节点,二叉树并不要求每个节点都有两个子节点,有的节点只有左子节点,有的节点只有右子节点。

二叉树分类 - 满二叉树

定义

一种特殊的二叉树,除了叶子节点外,每个节点都有左右两个子节点,这种二叉树叫做满二叉树。

二叉树分类 - 完全二叉树

定义

一种特殊的二叉树,叶子节点都在最底下两层,最后一层叶子节都靠左排列,并且除了最后一层,其他层的节点个数都要达到最大,这种二叉树叫做完全二叉树。

完全二叉树与不是完全二叉树的区分比较难,所以对比下图看看。

堆其实是一种特殊的树。只要满足以下两点,它就是一个堆:

  • 堆是一个完全二叉树 —— 完全二叉树:除了最后一层,其他层的节点个数都是满的,最后一层的节点都靠左排列。
  • 堆中每一个节点的值都必须大于等于(或小于等于)其子树中每个节点的值。 —— 也可以说:堆中每个节点的值都大于等于(或者小于等于)其左右子节点的值。这两种表述是等价的。

二叉树的实现和遍历

** 实现 **

二叉树主要有以下几种方法:

  • insert(key):向树中插入一个新的键。
  • search(key):在树中查找一个键,如果节点存在,则返回 true;如果不存在,则返回 false。
  • min:返回树中最小的值/键。
  • max:返回树中最大的值/键。
  • remove(key):从树中移除某个键。

3 种遍历方式:

  1. 前序遍历(根 => 左 => 右) —— 对于树中的任意节点来说,先访问这个节点,然后再访问它的左子树,最后访问它的右子树。

  2. 中序遍历(左 => 根 => 右) —— 对于树中的任意节点来说,先访问它的左子树,然后再访问它的本身,最后访问它的右子树。

  3. 后序遍历(左 => 右 => 根) —— 对于树中的任意节点来说,先访问它的左子树,然后再访问它的右子树,最后访问它本身。

  • preOrderTraverse:通过先序遍历方式遍历所有节点。
  • inOrderTraverse:通过中序遍历方式遍历所有节点。
  • postOrderTraverse:通过后序遍历方式遍历所有节点。

增删查改

function BinarySearchTree() {
  // 用于实例化节点的类
  let Node = function (key) {
    this.key = key; // 节点的键值
    this.left = null; // 左节点的指针
    this.right = null; // 右节点的指针
  };
  let root = null; // 将根节点置为null

  this.insert = function (key) {
    let newNode = new Node(key); // 实例化一个节点
    if (root === null) {
      root = newNode; // 如果是个空数,直接将该节点作为根节点
    } else {
      insertNode(root, newNode); // 插入节点(传入根节点作为参数)
    }
  };
  let insertNode = function (node, newNode) {
    // 如果插入节点的键值小于当前节点的键值
    // 第一次执行insertNode函数时,当前节点就是根节点
    if (newNode.key < node.key) {
      if (node.left === null) {
        // 如果当前节点的左子节点为空,就直接在该左子节点处插入
        node.left = newNode;
      } else {
        // 如果左子节点不为空,需要继续执行insertNode函数
        // 将要插入的节点于左子节点的后代继续比较,知道找到可以插入的位置
        insertNode(node.left, newNode);
      }
    } else {
      // 如果插入节点的键值大于当前节点的键值
      // 处理过程类似,只是inserNode函数继续比较的是右子节点
      if (node.right === null) {
        node.right = newNode;
      } else {
        insertNode(node.right, newNode);
      }
    }
  };

  // 搜索最小值
  // 在二叉搜索树里,不管是整个树还是其子树,最小值一定在树最左侧的最底层。
  // 因此给定一颗树或其子树,只需要一直向左节点遍历到底就行了。

  this.min = function (node) {
    node = node || root;
    // 一直遍历左侧子节点,直到底部
    while (node && node.left !== null) {
      node = node.left;
    }
    return node;
  };

  // 搜索最大值 - 搜索最大值与搜索最小值类似,只是沿着树的右侧遍历。
  this.max = function (node) {
    node = node || root;
    while (node && node.right !== null) {
      node = node.right;
    }
    return node;
  };

  // 搜索特定值
  // 搜索特定值的处理与插入值的处理类似。
  // 遍历树,将要搜索的值与遍历到的节点比较,如果前者大于后者,则递归遍历右侧子节点,反之,则递归遍历左侧子节点。
  this.search = function (key, node) {
    node = node || root;
    return searchNode(key, node);
  };
  let searchNode = function (key, node) {
    // 如果node === null,说明树中没有要查找的值,返回false
    if (node === null) {
      return false;
    }
    if (key < node.key) {
      // 如果要查找的值小于该节点,继续递归遍历其左侧节点
      return searchNode(key, node.left);
    } else if (key > node.key) {
      // 如果要查找的值大于该节点,继续递归遍历其右侧节点
      return searchNode(key, node.right);
    } else {
      // 如果要查找的值等于该节点,说明查找成功,返回改节点
      return node;
    }
  };

  // 移除节点 - 首先要在树中查找到要移除的节点,再判断该节点是否有子节点、有一个子节点或者有两个子节点,最后分别处理。
  this.remove = function (key, node) {
    node = node || root;
    return removeNode(key, node);
  };
  let self = this;
  let removeNode = function (key, node) {
    // 如果node === null,说明树中没有要查找的值,返回false
    if (node === null) {
      return false;
    }

    // 找到要删除的节点

    node = self.search(key, node);

    // 第一种情况,该节点没有子节点
    if (node.left === null && node.right === null) {
      node = null;
      return node;
    }
    // 第二种情况,该节点只有一个子节点的节点
    if (node.left === null) {
      // 只有右节点
      node = node.right;
      return node;
    } else if (node.right === null) {
      // 只有左节点
      node = node.left;
      return node;
    }
    // 第三种情况,有有两个子节点的节点
    // 将右侧子树中的最小值,替换到要删除的位置
    // 找到最小值
    let aux = self.min(node.right);
    // 替换
    node.key = aux.key;
    // 删除最小值
    node.right = removeNode(aux.key, node.right);
    return node;
    // 当要删除的节点有两个子节点时,为了不破坏树的结构,
    // 删除后要替补上来的节点的键值大小必须在已删除节点的左、右子节点的键值之间,且替补上来的节点不应该有子节点,否则会产生一个节点有多个字节点的情况,因此,找右侧子树的最小值替换上来。
    // 同理,找左侧子树的最大值替换上来也可以。
  };

第三种情况的处理过程,如下图所示:

先序遍历

  // 先序遍历
  this.preOrderTraverse = (callback) => {
    // 同样的,callback用于对遍历到的节点做操作
    preOrderTraverseNode(root, callback);
  };
  let preOrderTraverseNode = function (node, callback) {
    // 遍历到node为null为止
    if (node !== null) {
      callback(node.key); // 先处理当前节点
      preOrderTraverseNode(node.left, callback); // 再继续遍历左子节点
      preOrderTraverseNode(node.right, callback); // 最后遍历右子节点
    }
  };
  

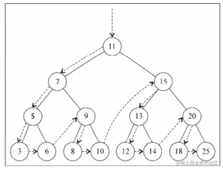
先序:

中序遍历

  // 中序遍历
  this.inOrderTraverse = function (callback) {
    inOrderTraverseNode = (root, callback);
  };
  let inOrderTraverseNode = function (node, callback) {
    // 遍历到node === null 为止
    if (node !== null) {
      // 先遍历左子节点
      inOrderTraverseNode(node.left, callback);
      callback(node.key); // 处理当前节点
      // 最后遍历右子节点
      inOrderTraverseNode(node.right, callback);
    }
  };

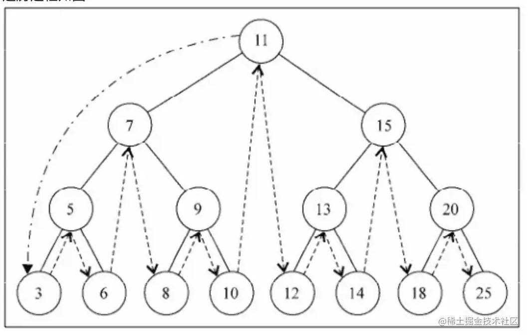
中序:

后序遍历

  // 后序遍历
  this.postOrderTraverse = function (callback) {
    postOrderTraverseNode = (root, callback);
  };
  let postOrderTraverseNode = function (node, callback) {
    // 遍历到node === null 为止
    if (node !== null) {
      // 先遍历左子节点
      inOrderTraverseNode(node.left, callback);
      // 遍历右子节点
      inOrderTraverseNode(node.right, callback);
      callback(node.key); // 最后处理当前节点
    }
  };

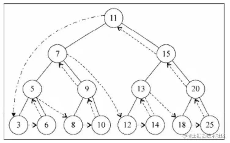
后序:

  // 打印
  this.print = function () {
    console.log('root :', root);
    return root;
  };
}

// 测试
let binarySearchTree = new BinarySearchTree();
let arr = [11, 7, 5, 3, 6, 9, 8, 10, 15, 13, 12, 14, 20, 18, 25];
for (let i = 0; i < arr.length; i++) {
  let value = arr[i];
  binarySearchTree.insert(value);
}

console.log('先序遍历:');
let arr = [];
binarySearchTree.preOrderTraverse(function (value) {
  arr.push(value);
});
console.log('arr :', arr); // [11, 7, 5, 3, 6, 9, 8, 10, 15, 13, 12, 14, 20, 18, 25]
let min = binarySearchTree.min();
console.log('min:', min); // 3
let max = binarySearchTree.max();
console.log('max:', max); // 25
let search = binarySearchTree.search(10);
console.log('search:', search); // 10
let remove = binarySearchTree.remove(13);
console.log('remove:', remove); // 13

console.log('先序遍历:');
let arr1 = [];
binarySearchTree.preOrderTraverse(function (value) {
  arr1.push(value);
});
console.log('arr1 :', arr1); //  [11, 7, 5, 3, 6, 9, 8, 10, 15, 14, 12, 20, 18, 25]

console.log('中序遍历:');
let arr2 = [];
binarySearchTree.inOrderTraverse(function (value) {
  arr2.push(value);
});
console.log('arr2 :', arr2); // [3, 5, 6, 7, 8, 9, 10, 11, 12, 14, 15, 18, 20, 25]

console.log('后序遍历:');
let arr3 = [];
binarySearchTree.postOrderTraverse(function (value) {
  arr3.push(value);
});
console.log('arr3 :', arr3); //  [3, 6, 5, 8, 10, 9, 7, 12, 14, 18, 25, 20, 15, 11]

binarySearchTree.print(); // 看控制台