我们先来看下什么是序列化,以下定义来自维基百科:
❝序列化(serialization)在计算机科学的数据处理中,是指将数据结构或对象状态转换成可取用格式(例如存成文件,存于缓冲,或经由网络中发送),以留待后续在相同或另一台计算机环境中,能恢复原先状态的过程。依照序列化格式重新获取字节的结果时,可以利用它来产生与原始对象相同语义的副本。对于许多对象,像是使用大量引用的复杂对象,这种序列化重建的过程并不容易。面向对象中的对象序列化,并不概括之前原始对象所关系的函数。这种过程也称为对象编组(marshalling)。从一系列字节提取数据结构的反向操作,是反序列化(也称为解编组、deserialization、unmarshalling)。
❞
可见,序列化和反序列化在计算机科学中的应用还是非常广泛的。就拿 LeetCode 平台来说,其允许用户输入形如:
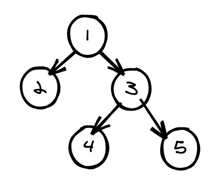
[1,2,3,null,null,4,5]
这样的数据结构来描述一颗树:

([1,2,3,null,null,4,5] 对应的二叉树)
其实序列化和反序列化只是一个概念,不是一种具体的算法,而是很多的算法。并且针对不同的数据结构,算法也会不一样。本文主要讲述的是二叉树的序列化和反序列化。看完本文之后,你就可以放心大胆地去 AC 以下两道题:
前置知识
阅读本文之前,需要你对树的遍历以及 BFS 和 DFS 比较熟悉。如果你还不熟悉,推荐阅读一下相关文章之后再来看。或者我这边也写了一个总结性的文章二叉树的遍历,你也可以看看。
前言
我们知道:二叉树的深度优先遍历,根据访问根节点的顺序不同,可以将其分为前序遍历,中序遍历, 后序遍历。即如果先访问根节点就是前序遍历,最后访问根节点就是后续遍历,其它则是中序遍历。而左右节点的相对顺序是不会变的,一定是先左后右。
❝当然也可以设定为先右后左。
❞
并且知道了三种遍历结果中的任意两种即可还原出原有的树结构。这不就是序列化和反序列化么?如果对这个比较陌生的同学建议看看我之前写的《构造二叉树系列》
有了这样一个前提之后算法就自然而然了。即先对二叉树进行两次不同的遍历,不妨假设按照前序和中序进行两次遍历。然后将两次遍历结果序列化,比如将两次遍历结果以逗号“,” join 成一个字符串。 之后将字符串反序列即可,比如将其以逗号“,” split 成一个数组。
序列化:
class Solution:
def preorder(self, root: TreeNode):
if not root: return []
return [str(root.val)] +self. preorder(root.left) + self.preorder(root.right)
def inorder(self, root: TreeNode):
if not root: return []
return self.inorder(root.left) + [str(root.val)] + self.inorder(root.right)
def serialize(self, root):
ans = ''
ans += ','.join(self.preorder(root))
ans += '
反序列化:
这里我直接用了力扣 105. 从前序与中序遍历序列构造二叉树 的解法,一行代码都不改。
class Solution:
def deserialize(self, data: str):
preorder, inorder = data.split('
实际上这个算法是不一定成立的,原因在于树的节点可能存在重复元素。也就是说我前面说的知道了三种遍历结果中的任意两种即可还原出原有的树结构是不对的,严格来说应该是「如果树中不存在重复的元素,那么知道了三种遍历结果中的任意两种即可还原出原有的树结构」。
聪明的你应该发现了,上面我的代码用了 i = inorder.index(root.val),如果存在重复元素,那么得到的索引 i 就可能不是准确的。但是,如果题目限定了没有重复元素则可以用这种算法。但是现实中不出现重复元素不太现实,因此需要考虑其他方法。那究竟是什么样的方法呢? 接下来进入正题。
DFS
序列化
我们来模仿一下力扣的记法。 比如:[1,2,3,null,null,4,5](本质上是 BFS 层次遍历),对应的树如下:
❝
选择这种记法,而不是 DFS 的记法的原因是看起来比较直观
❞

序列化的代码非常简单, 我们只需要在普通的遍历基础上,增加对空节点的输出即可(普通的遍历是不处理空节点的)。
比如我们都树进行一次前序遍历的同时增加空节点的处理。选择前序遍历的原因是容易知道根节点的位置,并且代码好写,不信你可以试试。
因此序列化就仅仅是普通的 DFS 而已,直接给大家看看代码。
Python 代码:
class Codec:
def serialize_dfs(self, root, ans):
# 空节点也需要序列化,否则无法唯一确定一棵树,后不赘述。
if not root: return ans + '#,'
# 节点之间通过逗号(,)分割
ans += str(root.val) + ','
ans = self.serialize_dfs(root.left, ans)
ans = self.serialize_dfs(root.right, ans)
return ans
def serialize(self, root):
# 由于最后会添加一个额外的逗号,因此需要去除最后一个字符,后不赘述。
return self.serialize_dfs(root, '')[:-1]
Java 代码:
public class Codec {
public String serialize_dfs(TreeNode root, String str) {
if (root == null) {
str += "None,";
} else {
str += str.valueOf(root.val) + ",";
str = serialize_dfs(root.left, str);
str = serialize_dfs(root.right, str);
}
return str;
}
public String serialize(TreeNode root) {
return serialize_dfs(root, "");
}
}
[1,2,3,null,null,4,5] 会被处理为1,2,#,#,3,4,#,#,5,#,#
我们先看一个短视频:

(动画来自力扣)
反序列化
反序列化的第一步就是将其展开。以上面的例子来说,则会变成数组:[1,2,#,#,3,4,#,#,5,#,#],然后我们同样执行一次前序遍历,每次处理一个元素,重建即可。由于我们采用的前序遍历,因此第一个是根元素,下一个是其左子节点,下下一个是其右子节点。
Python 代码:
def deserialize_dfs(self, nodes):
if nodes:
if nodes[0] == '#':
nodes.pop(0)
return None
root = TreeNode(nodes.pop(0))
root.left = self.deserialize_dfs(nodes)
root.right = self.deserialize_dfs(nodes)
return root
return None
def deserialize(self, data: str):
nodes = data.split(',')
return self.deserialize_dfs(nodes)
Java 代码:
public TreeNode deserialize_dfs(List<String> l) {
if (l.get(0).equals("None")) {
l.remove(0);
return null;
}
TreeNode root = new TreeNode(Integer.valueOf(l.get(0)));
l.remove(0);
root.left = deserialize_dfs(l);
root.right = deserialize_dfs(l);
return root;
}
public TreeNode deserialize(String data) {
String[] data_array = data.split(",");
List<String> data_list = new LinkedList<String>(Arrays.asList(data_array));
return deserialize_dfs(data_list);
}
「复杂度分析」
- 时间复杂度:每个节点都会被处理一次,因此时间复杂度为
,其中
为节点的总数。 - 空间复杂度:空间复杂度取决于栈深度,因此空间复杂度为
,其中
为树的深度。
BFS
序列化
实际上我们也可以使用 BFS 的方式来表示一棵树。在这一点上其实就和力扣的记法是一致的了。
我们知道层次遍历的时候实际上是有层次的。只不过有的题目需要你记录每一个节点的层次信息,有些则不需要。
这其实就是一个朴实无华的 BFS,唯一不同则是增加了空节点。
Python 代码:
class Codec:
def serialize(self, root):
ans = ''
queue = [root]
while queue:
node = queue.pop(0)
if node:
ans += str(node.val) + ','
queue.append(node.left)
queue.append(node.right)
else:
ans += '#,'
return ans[:-1]
反序列化
如图有这样一棵树:

那么其层次遍历为 [1,2,3,#,#, 4, 5]。我们根据此层次遍历的结果来看下如何还原二叉树,如下是我画的一个示意图:

容易看出:
- level x 的节点一定指向 level x + 1 的节点,如何找到 level + 1 呢? 这很容易通过层次遍历来做到。
- 对于给的的 level x,从左到右依次对应 level x + 1 的节点,即第 1 个节点的左右子节点对应下一层的第 1 个和第 2 个节点,第 2 个节点的左右子节点对应下一层的第 3 个和第 4 个节点。。。
- 接上,其实如果你仔细观察的话,实际上 level x 和 level x + 1 的判断是无需特别判断的。我们可以把思路逆转过来:
即第 1 个节点的左右子节点对应第 1 个和第 2 个节点,第 2 个节点的左右子节点对应第 3 个和第 4 个节点。。。(注意,没了下一层三个字)
因此我们的思路也是同样的 BFS,并依次连接左右节点。
Python 代码:
def deserialize(self, data: str):
if data == '#': return None
# 数据准备
nodes = data.split(',')
if not nodes: return None
# BFS
root = TreeNode(nodes[0])
queue = [root]
# 已经有 root 了,因此从 1 开始
i = 1
while i < len(nodes) - 1:
node = queue.pop(0)
#
lv = nodes[i]
rv = nodes[i + 1]
i += 2
# 对于给的的 level x,从左到右依次对应 level x + 1 的节点
# node 是 level x 的节点,l 和 r 则是 level x + 1 的节点
if lv != '#':
l = TreeNode(lv)
node.left = l
queue.append(l)
if rv != '#':
r = TreeNode(rv)
node.right = r
queue.append(r)
return root
「复杂度分析」
- 时间复杂度:每个节点都会被处理一次,因此时间复杂度为
,其中
为节点的总数。 - 空间复杂度:
,其中
为节点的总数。
总结
除了这种方法还有很多方案, 比如括号表示法。 关于这个可以参考力扣606. 根据二叉树创建字符串,这里就不再赘述了。
本文从 BFS 和 DFS 角度来思考如何序列化和反序列化一棵树。 如果用 BFS 来序列化,那么相应地也需要 BFS 来反序列化。如果用 DFS 来序列化,那么就需要用 DFS 来反序列化。
我们从马后炮的角度来说,实际上对于序列化来说,BFS 和 DFS 都比较常规。对于反序列化,大家可以像我这样举个例子,画一个图。可以先在纸上,电脑上,如果你熟悉了之后,也可以画在脑子里。

(Like This)
更多题解可以访问我的 LeetCode 题解仓库:https://github.com/azl397985856/leetcode 。 目前已经 30K star 啦。
关注公众号力扣加加,努力用清晰直白的语言还原解题思路,并且有大量图解,手把手教你识别套路,高效刷题。
本文使用 mdnice 排版
ans += ','.join(self.inorder(root))
return ans
反序列化:
这里我直接用了力扣 105. 从前序与中序遍历序列构造二叉树 的解法,一行代码都不改。
class Solution:
def deserialize(self, data: str):
preorder, inorder = data.split('$')
if not preorder: return None
return self.buildTree(preorder.split(','), inorder.split(','))
def buildTree(self, preorder: List[int], inorder: List[int]) -> TreeNode:
# 实际上inorder 和 preorder 一定是同时为空的,因此你无论判断哪个都行
if not preorder:
return None
root = TreeNode(preorder[0])
i = inorder.index(root.val)
root.left = self.buildTree(preorder[1:i + 1], inorder[:i])
root.right = self.buildTree(preorder[i + 1:], inorder[i+1:])
return root
实际上这个算法是不一定成立的,原因在于树的节点可能存在重复元素。也就是说我前面说的知道了三种遍历结果中的任意两种即可还原出原有的树结构是不对的,严格来说应该是「如果树中不存在重复的元素,那么知道了三种遍历结果中的任意两种即可还原出原有的树结构」。
聪明的你应该发现了,上面我的代码用了 i = inorder.index(root.val),如果存在重复元素,那么得到的索引 i 就可能不是准确的。但是,如果题目限定了没有重复元素则可以用这种算法。但是现实中不出现重复元素不太现实,因此需要考虑其他方法。那究竟是什么样的方法呢? 接下来进入正题。
DFS
序列化
我们来模仿一下力扣的记法。 比如:[1,2,3,null,null,4,5](本质上是 BFS 层次遍历),对应的树如下:
❝
选择这种记法,而不是 DFS 的记法的原因是看起来比较直观
❞

序列化的代码非常简单, 我们只需要在普通的遍历基础上,增加对空节点的输出即可(普通的遍历是不处理空节点的)。
比如我们都树进行一次前序遍历的同时增加空节点的处理。选择前序遍历的原因是容易知道根节点的位置,并且代码好写,不信你可以试试。
因此序列化就仅仅是普通的 DFS 而已,直接给大家看看代码。
Python 代码:
class Codec:
def serialize_dfs(self, root, ans):
# 空节点也需要序列化,否则无法唯一确定一棵树,后不赘述。
if not root: return ans + '#,'
# 节点之间通过逗号(,)分割
ans += str(root.val) + ','
ans = self.serialize_dfs(root.left, ans)
ans = self.serialize_dfs(root.right, ans)
return ans
def serialize(self, root):
# 由于最后会添加一个额外的逗号,因此需要去除最后一个字符,后不赘述。
return self.serialize_dfs(root, '')[:-1]
Java 代码:
public class Codec {
public String serialize_dfs(TreeNode root, String str) {
if (root == null) {
str += "None,";
} else {
str += str.valueOf(root.val) + ",";
str = serialize_dfs(root.left, str);
str = serialize_dfs(root.right, str);
}
return str;
}
public String serialize(TreeNode root) {
return serialize_dfs(root, "");
}
}
[1,2,3,null,null,4,5] 会被处理为1,2,#,#,3,4,#,#,5,#,#
我们先看一个短视频:

(动画来自力扣)
反序列化
反序列化的第一步就是将其展开。以上面的例子来说,则会变成数组:[1,2,#,#,3,4,#,#,5,#,#],然后我们同样执行一次前序遍历,每次处理一个元素,重建即可。由于我们采用的前序遍历,因此第一个是根元素,下一个是其左子节点,下下一个是其右子节点。
Python 代码:
def deserialize_dfs(self, nodes):
if nodes:
if nodes[0] == '#':
nodes.pop(0)
return None
root = TreeNode(nodes.pop(0))
root.left = self.deserialize_dfs(nodes)
root.right = self.deserialize_dfs(nodes)
return root
return None
def deserialize(self, data: str):
nodes = data.split(',')
return self.deserialize_dfs(nodes)
Java 代码:
public TreeNode deserialize_dfs(List<String> l) {
if (l.get(0).equals("None")) {
l.remove(0);
return null;
}
TreeNode root = new TreeNode(Integer.valueOf(l.get(0)));
l.remove(0);
root.left = deserialize_dfs(l);
root.right = deserialize_dfs(l);
return root;
}
public TreeNode deserialize(String data) {
String[] data_array = data.split(",");
List<String> data_list = new LinkedList<String>(Arrays.asList(data_array));
return deserialize_dfs(data_list);
}
「复杂度分析」
- 时间复杂度:每个节点都会被处理一次,因此时间复杂度为
,其中
为节点的总数。 - 空间复杂度:空间复杂度取决于栈深度,因此空间复杂度为
,其中
为树的深度。
BFS
序列化
实际上我们也可以使用 BFS 的方式来表示一棵树。在这一点上其实就和力扣的记法是一致的了。
我们知道层次遍历的时候实际上是有层次的。只不过有的题目需要你记录每一个节点的层次信息,有些则不需要。
这其实就是一个朴实无华的 BFS,唯一不同则是增加了空节点。
Python 代码:
class Codec:
def serialize(self, root):
ans = ''
queue = [root]
while queue:
node = queue.pop(0)
if node:
ans += str(node.val) + ','
queue.append(node.left)
queue.append(node.right)
else:
ans += '#,'
return ans[:-1]
反序列化
如图有这样一棵树:

那么其层次遍历为 [1,2,3,#,#, 4, 5]。我们根据此层次遍历的结果来看下如何还原二叉树,如下是我画的一个示意图:

容易看出:
- level x 的节点一定指向 level x + 1 的节点,如何找到 level + 1 呢? 这很容易通过层次遍历来做到。
- 对于给的的 level x,从左到右依次对应 level x + 1 的节点,即第 1 个节点的左右子节点对应下一层的第 1 个和第 2 个节点,第 2 个节点的左右子节点对应下一层的第 3 个和第 4 个节点。。。
- 接上,其实如果你仔细观察的话,实际上 level x 和 level x + 1 的判断是无需特别判断的。我们可以把思路逆转过来:
即第 1 个节点的左右子节点对应第 1 个和第 2 个节点,第 2 个节点的左右子节点对应第 3 个和第 4 个节点。。。(注意,没了下一层三个字)
因此我们的思路也是同样的 BFS,并依次连接左右节点。
Python 代码:
def deserialize(self, data: str):
if data == '#': return None
# 数据准备
nodes = data.split(',')
if not nodes: return None
# BFS
root = TreeNode(nodes[0])
queue = [root]
# 已经有 root 了,因此从 1 开始
i = 1
while i < len(nodes) - 1:
node = queue.pop(0)
#
lv = nodes[i]
rv = nodes[i + 1]
i += 2
# 对于给的的 level x,从左到右依次对应 level x + 1 的节点
# node 是 level x 的节点,l 和 r 则是 level x + 1 的节点
if lv != '#':
l = TreeNode(lv)
node.left = l
queue.append(l)
if rv != '#':
r = TreeNode(rv)
node.right = r
queue.append(r)
return root
「复杂度分析」
- 时间复杂度:每个节点都会被处理一次,因此时间复杂度为
,其中
为节点的总数。 - 空间复杂度:
,其中
为节点的总数。
总结
除了这种方法还有很多方案, 比如括号表示法。 关于这个可以参考力扣606. 根据二叉树创建字符串,这里就不再赘述了。
本文从 BFS 和 DFS 角度来思考如何序列化和反序列化一棵树。 如果用 BFS 来序列化,那么相应地也需要 BFS 来反序列化。如果用 DFS 来序列化,那么就需要用 DFS 来反序列化。
我们从马后炮的角度来说,实际上对于序列化来说,BFS 和 DFS 都比较常规。对于反序列化,大家可以像我这样举个例子,画一个图。可以先在纸上,电脑上,如果你熟悉了之后,也可以画在脑子里。

(Like This)
更多题解可以访问我的 LeetCode 题解仓库:https://github.com/azl397985856/leetcode 。 目前已经 30K star 啦。
关注公众号力扣加加,努力用清晰直白的语言还原解题思路,并且有大量图解,手把手教你识别套路,高效刷题。
本文使用 mdnice 排版
)
if not preorder: return None
return self.buildTree(preorder.split(','), inorder.split(','))
def buildTree(self, preorder: List[int], inorder: List[int]) -> TreeNode:
# 实际上inorder 和 preorder 一定是同时为空的,因此你无论判断哪个都行
if not preorder:
return None
root = TreeNode(preorder[0])
i = inorder.index(root.val)
root.left = self.buildTree(preorder[1:i + 1], inorder[:i])
root.right = self.buildTree(preorder[i + 1:], inorder[i+1:])
return root
实际上这个算法是不一定成立的,原因在于树的节点可能存在重复元素。也就是说我前面说的知道了三种遍历结果中的任意两种即可还原出原有的树结构是不对的,严格来说应该是「如果树中不存在重复的元素,那么知道了三种遍历结果中的任意两种即可还原出原有的树结构」。
聪明的你应该发现了,上面我的代码用了 i = inorder.index(root.val),如果存在重复元素,那么得到的索引 i 就可能不是准确的。但是,如果题目限定了没有重复元素则可以用这种算法。但是现实中不出现重复元素不太现实,因此需要考虑其他方法。那究竟是什么样的方法呢? 接下来进入正题。
DFS
序列化
我们来模仿一下力扣的记法。 比如:[1,2,3,null,null,4,5](本质上是 BFS 层次遍历),对应的树如下:
❝选择这种记法,而不是 DFS 的记法的原因是看起来比较直观
❞

序列化的代码非常简单, 我们只需要在普通的遍历基础上,增加对空节点的输出即可(普通的遍历是不处理空节点的)。
比如我们都树进行一次前序遍历的同时增加空节点的处理。选择前序遍历的原因是容易知道根节点的位置,并且代码好写,不信你可以试试。
因此序列化就仅仅是普通的 DFS 而已,直接给大家看看代码。
Python 代码:
class Codec:
def serialize_dfs(self, root, ans):
# 空节点也需要序列化,否则无法唯一确定一棵树,后不赘述。
if not root: return ans + '#,'
# 节点之间通过逗号(,)分割
ans += str(root.val) + ','
ans = self.serialize_dfs(root.left, ans)
ans = self.serialize_dfs(root.right, ans)
return ans
def serialize(self, root):
# 由于最后会添加一个额外的逗号,因此需要去除最后一个字符,后不赘述。
return self.serialize_dfs(root, '')[:-1]
Java 代码:
public class Codec {
public String serialize_dfs(TreeNode root, String str) {
if (root == null) {
str += "None,";
} else {
str += str.valueOf(root.val) + ",";
str = serialize_dfs(root.left, str);
str = serialize_dfs(root.right, str);
}
return str;
}
public String serialize(TreeNode root) {
return serialize_dfs(root, "");
}
}
[1,2,3,null,null,4,5] 会被处理为1,2,#,#,3,4,#,#,5,#,#
我们先看一个短视频:

(动画来自力扣)
反序列化
反序列化的第一步就是将其展开。以上面的例子来说,则会变成数组:[1,2,#,#,3,4,#,#,5,#,#],然后我们同样执行一次前序遍历,每次处理一个元素,重建即可。由于我们采用的前序遍历,因此第一个是根元素,下一个是其左子节点,下下一个是其右子节点。
Python 代码:
def deserialize_dfs(self, nodes):
if nodes:
if nodes[0] == '#':
nodes.pop(0)
return None
root = TreeNode(nodes.pop(0))
root.left = self.deserialize_dfs(nodes)
root.right = self.deserialize_dfs(nodes)
return root
return None
def deserialize(self, data: str):
nodes = data.split(',')
return self.deserialize_dfs(nodes)
Java 代码:
public TreeNode deserialize_dfs(List<String> l) {
if (l.get(0).equals("None")) {
l.remove(0);
return null;
}
TreeNode root = new TreeNode(Integer.valueOf(l.get(0)));
l.remove(0);
root.left = deserialize_dfs(l);
root.right = deserialize_dfs(l);
return root;
}
public TreeNode deserialize(String data) {
String[] data_array = data.split(",");
List<String> data_list = new LinkedList<String>(Arrays.asList(data_array));
return deserialize_dfs(data_list);
}
「复杂度分析」
- 时间复杂度:每个节点都会被处理一次,因此时间复杂度为
,其中
为节点的总数。
- 空间复杂度:空间复杂度取决于栈深度,因此空间复杂度为
,其中
为树的深度。
BFS
序列化
实际上我们也可以使用 BFS 的方式来表示一棵树。在这一点上其实就和力扣的记法是一致的了。
我们知道层次遍历的时候实际上是有层次的。只不过有的题目需要你记录每一个节点的层次信息,有些则不需要。
这其实就是一个朴实无华的 BFS,唯一不同则是增加了空节点。
Python 代码:
class Codec:
def serialize(self, root):
ans = ''
queue = [root]
while queue:
node = queue.pop(0)
if node:
ans += str(node.val) + ','
queue.append(node.left)
queue.append(node.right)
else:
ans += '#,'
return ans[:-1]
反序列化
如图有这样一棵树:

那么其层次遍历为 [1,2,3,#,#, 4, 5]。我们根据此层次遍历的结果来看下如何还原二叉树,如下是我画的一个示意图:

容易看出:
- level x 的节点一定指向 level x + 1 的节点,如何找到 level + 1 呢? 这很容易通过层次遍历来做到。
- 对于给的的 level x,从左到右依次对应 level x + 1 的节点,即第 1 个节点的左右子节点对应下一层的第 1 个和第 2 个节点,第 2 个节点的左右子节点对应下一层的第 3 个和第 4 个节点。。。
- 接上,其实如果你仔细观察的话,实际上 level x 和 level x + 1 的判断是无需特别判断的。我们可以把思路逆转过来:
即第 1 个节点的左右子节点对应第 1 个和第 2 个节点,第 2 个节点的左右子节点对应第 3 个和第 4 个节点。。。(注意,没了下一层三个字)
因此我们的思路也是同样的 BFS,并依次连接左右节点。
Python 代码:
def deserialize(self, data: str):
if data == '#': return None
# 数据准备
nodes = data.split(',')
if not nodes: return None
# BFS
root = TreeNode(nodes[0])
queue = [root]
# 已经有 root 了,因此从 1 开始
i = 1
while i < len(nodes) - 1:
node = queue.pop(0)
#
lv = nodes[i]
rv = nodes[i + 1]
i += 2
# 对于给的的 level x,从左到右依次对应 level x + 1 的节点
# node 是 level x 的节点,l 和 r 则是 level x + 1 的节点
if lv != '#':
l = TreeNode(lv)
node.left = l
queue.append(l)
if rv != '#':
r = TreeNode(rv)
node.right = r
queue.append(r)
return root
「复杂度分析」
- 时间复杂度:每个节点都会被处理一次,因此时间复杂度为
,其中
为节点的总数。
- 空间复杂度:
,其中
为节点的总数。
总结
除了这种方法还有很多方案, 比如括号表示法。 关于这个可以参考力扣606. 根据二叉树创建字符串,这里就不再赘述了。
本文从 BFS 和 DFS 角度来思考如何序列化和反序列化一棵树。 如果用 BFS 来序列化,那么相应地也需要 BFS 来反序列化。如果用 DFS 来序列化,那么就需要用 DFS 来反序列化。
我们从马后炮的角度来说,实际上对于序列化来说,BFS 和 DFS 都比较常规。对于反序列化,大家可以像我这样举个例子,画一个图。可以先在纸上,电脑上,如果你熟悉了之后,也可以画在脑子里。

(Like This)
更多题解可以访问我的 LeetCode 题解仓库:https://github.com/azl397985856/leetcode 。 目前已经 30K star 啦。
关注公众号力扣加加,努力用清晰直白的语言还原解题思路,并且有大量图解,手把手教你识别套路,高效刷题。
本文使用 mdnice 排版
ans += ','.join(self.inorder(root)) return ans反序列化:
这里我直接用了力扣 105. 从前序与中序遍历序列构造二叉树 的解法,一行代码都不改。
class Solution:
def deserialize(self, data: str):
preorder, inorder = data.split('$')
if not preorder: return None
return self.buildTree(preorder.split(','), inorder.split(','))
def buildTree(self, preorder: List[int], inorder: List[int]) -> TreeNode:
# 实际上inorder 和 preorder 一定是同时为空的,因此你无论判断哪个都行
if not preorder:
return None
root = TreeNode(preorder[0])
i = inorder.index(root.val)
root.left = self.buildTree(preorder[1:i + 1], inorder[:i])
root.right = self.buildTree(preorder[i + 1:], inorder[i+1:])
return root
实际上这个算法是不一定成立的,原因在于树的节点可能存在重复元素。也就是说我前面说的知道了三种遍历结果中的任意两种即可还原出原有的树结构是不对的,严格来说应该是「如果树中不存在重复的元素,那么知道了三种遍历结果中的任意两种即可还原出原有的树结构」。
聪明的你应该发现了,上面我的代码用了 i = inorder.index(root.val),如果存在重复元素,那么得到的索引 i 就可能不是准确的。但是,如果题目限定了没有重复元素则可以用这种算法。但是现实中不出现重复元素不太现实,因此需要考虑其他方法。那究竟是什么样的方法呢? 接下来进入正题。
DFS
序列化
我们来模仿一下力扣的记法。 比如:[1,2,3,null,null,4,5](本质上是 BFS 层次遍历),对应的树如下:
❝选择这种记法,而不是 DFS 的记法的原因是看起来比较直观
❞

序列化的代码非常简单, 我们只需要在普通的遍历基础上,增加对空节点的输出即可(普通的遍历是不处理空节点的)。
比如我们都树进行一次前序遍历的同时增加空节点的处理。选择前序遍历的原因是容易知道根节点的位置,并且代码好写,不信你可以试试。
因此序列化就仅仅是普通的 DFS 而已,直接给大家看看代码。
Python 代码:
class Codec:
def serialize_dfs(self, root, ans):
# 空节点也需要序列化,否则无法唯一确定一棵树,后不赘述。
if not root: return ans + '#,'
# 节点之间通过逗号(,)分割
ans += str(root.val) + ','
ans = self.serialize_dfs(root.left, ans)
ans = self.serialize_dfs(root.right, ans)
return ans
def serialize(self, root):
# 由于最后会添加一个额外的逗号,因此需要去除最后一个字符,后不赘述。
return self.serialize_dfs(root, '')[:-1]
Java 代码:
public class Codec {
public String serialize_dfs(TreeNode root, String str) {
if (root == null) {
str += "None,";
} else {
str += str.valueOf(root.val) + ",";
str = serialize_dfs(root.left, str);
str = serialize_dfs(root.right, str);
}
return str;
}
public String serialize(TreeNode root) {
return serialize_dfs(root, "");
}
}
[1,2,3,null,null,4,5] 会被处理为1,2,#,#,3,4,#,#,5,#,#
我们先看一个短视频:

(动画来自力扣)
反序列化
反序列化的第一步就是将其展开。以上面的例子来说,则会变成数组:[1,2,#,#,3,4,#,#,5,#,#],然后我们同样执行一次前序遍历,每次处理一个元素,重建即可。由于我们采用的前序遍历,因此第一个是根元素,下一个是其左子节点,下下一个是其右子节点。
Python 代码:
def deserialize_dfs(self, nodes):
if nodes:
if nodes[0] == '#':
nodes.pop(0)
return None
root = TreeNode(nodes.pop(0))
root.left = self.deserialize_dfs(nodes)
root.right = self.deserialize_dfs(nodes)
return root
return None
def deserialize(self, data: str):
nodes = data.split(',')
return self.deserialize_dfs(nodes)
Java 代码:
public TreeNode deserialize_dfs(List<String> l) {
if (l.get(0).equals("None")) {
l.remove(0);
return null;
}
TreeNode root = new TreeNode(Integer.valueOf(l.get(0)));
l.remove(0);
root.left = deserialize_dfs(l);
root.right = deserialize_dfs(l);
return root;
}
public TreeNode deserialize(String data) {
String[] data_array = data.split(",");
List<String> data_list = new LinkedList<String>(Arrays.asList(data_array));
return deserialize_dfs(data_list);
}
「复杂度分析」
- 时间复杂度:每个节点都会被处理一次,因此时间复杂度为
,其中
为节点的总数。
- 空间复杂度:空间复杂度取决于栈深度,因此空间复杂度为
,其中
为树的深度。
BFS
序列化
实际上我们也可以使用 BFS 的方式来表示一棵树。在这一点上其实就和力扣的记法是一致的了。
我们知道层次遍历的时候实际上是有层次的。只不过有的题目需要你记录每一个节点的层次信息,有些则不需要。
这其实就是一个朴实无华的 BFS,唯一不同则是增加了空节点。
Python 代码:
class Codec:
def serialize(self, root):
ans = ''
queue = [root]
while queue:
node = queue.pop(0)
if node:
ans += str(node.val) + ','
queue.append(node.left)
queue.append(node.right)
else:
ans += '#,'
return ans[:-1]
反序列化
如图有这样一棵树:

那么其层次遍历为 [1,2,3,#,#, 4, 5]。我们根据此层次遍历的结果来看下如何还原二叉树,如下是我画的一个示意图:

容易看出:
- level x 的节点一定指向 level x + 1 的节点,如何找到 level + 1 呢? 这很容易通过层次遍历来做到。
- 对于给的的 level x,从左到右依次对应 level x + 1 的节点,即第 1 个节点的左右子节点对应下一层的第 1 个和第 2 个节点,第 2 个节点的左右子节点对应下一层的第 3 个和第 4 个节点。。。
- 接上,其实如果你仔细观察的话,实际上 level x 和 level x + 1 的判断是无需特别判断的。我们可以把思路逆转过来:
即第 1 个节点的左右子节点对应第 1 个和第 2 个节点,第 2 个节点的左右子节点对应第 3 个和第 4 个节点。。。(注意,没了下一层三个字)
因此我们的思路也是同样的 BFS,并依次连接左右节点。
Python 代码:
def deserialize(self, data: str):
if data == '#': return None
# 数据准备
nodes = data.split(',')
if not nodes: return None
# BFS
root = TreeNode(nodes[0])
queue = [root]
# 已经有 root 了,因此从 1 开始
i = 1
while i < len(nodes) - 1:
node = queue.pop(0)
#
lv = nodes[i]
rv = nodes[i + 1]
i += 2
# 对于给的的 level x,从左到右依次对应 level x + 1 的节点
# node 是 level x 的节点,l 和 r 则是 level x + 1 的节点
if lv != '#':
l = TreeNode(lv)
node.left = l
queue.append(l)
if rv != '#':
r = TreeNode(rv)
node.right = r
queue.append(r)
return root
「复杂度分析」
- 时间复杂度:每个节点都会被处理一次,因此时间复杂度为
,其中
为节点的总数。
- 空间复杂度:
,其中
为节点的总数。
总结
除了这种方法还有很多方案, 比如括号表示法。 关于这个可以参考力扣606. 根据二叉树创建字符串,这里就不再赘述了。
本文从 BFS 和 DFS 角度来思考如何序列化和反序列化一棵树。 如果用 BFS 来序列化,那么相应地也需要 BFS 来反序列化。如果用 DFS 来序列化,那么就需要用 DFS 来反序列化。
我们从马后炮的角度来说,实际上对于序列化来说,BFS 和 DFS 都比较常规。对于反序列化,大家可以像我这样举个例子,画一个图。可以先在纸上,电脑上,如果你熟悉了之后,也可以画在脑子里。

(Like This)
更多题解可以访问我的 LeetCode 题解仓库:https://github.com/azl397985856/leetcode 。 目前已经 30K star 啦。
关注公众号力扣加加,努力用清晰直白的语言还原解题思路,并且有大量图解,手把手教你识别套路,高效刷题。