声明: 本文转自阮一峰博客: http:// www.ruanyifeng.com/blog/2013/07/rsa_algorithm_part_two.html
如果你问我,哪一种算法最重要?
我可能会回答"公钥加密算法"。
因为它是计算机通信安全的基石,保证了加密数据不会被破jie。你可以想象一下,信用卡交易被破jie的后果。
进入正题之前,我先简单介绍一下,什么是"公钥加密算法"。
一、历史
1976年以前,所有的加密方法都是同一种模式:
(1)甲方选择某一种加密规则,对信息进行加密;
(2)乙方使用同一种规则,对信息进行解密。
由于加密和解密使用同样规则(简称"密钥"),这被称为"对称加密算法"(Symmetric-key algorithm)。
这种加密模式有一个最大弱点:甲方必须把加密规则告诉乙方,否则无法解密。保存和传递密钥,就成了最头疼的问题。

1976年,两位美国计算机学家Whitfield Diffie 和 Martin Hellman,提出了一种崭新构思,可以在不直接传递密钥的情况下,完成解密。这被称为"Diffie-Hellman密钥交换算法"。这个算法启发了其他科学家。人们认识到,加密和解密可以使用不同的规则,只要这两种规则之间存在某种对应关系即可,这样就避免了直接传递密钥。 这种新的加密模式被称为"非对称加密算法"。
(1)乙方生成两把密钥(公钥和私钥)。公钥是公开的,任何人都可以获得,私钥则是保密的。
(2)甲方获取乙方的公钥,然后用它对信息加密。
(3)乙方得到加密后的信息,用私钥解密。
如果公钥加密的信息只有私钥解得开,那么只要私钥不泄漏,通信就是安全的。

1977年,三位数学家Rivest、Shamir 和 Adleman 设计了一种算法,可以实现非对称加密。这种算法用他们三个人的名字命名,叫做RSA算法。从那时直到现在,RSA算法一直是最广为使用的"非对称加密算法"。毫不夸张地说,只要有计算机网络的地方,就有RSA算法。
这种算法非常可靠,密钥越长,它就越难破jie。根据已经披露的文献,目前被破jie的最长RSA密钥是768个二进制位。也就是说,长度超过768位的密钥,还无法破jie(至少没人公开宣布)。因此可以认为,1024位的RSA密钥基本安全,2048位的密钥极其安全。
下面,我就进入正题,解释RSA算法的原理。文章共分成两部分,今天是第一部分,介绍要用到的四个数学概念。你可以看到,RSA算法并不难,只需要一点数论知识就可以理解。
二、互质关系
如果两个正整数,除了1以外,没有其他公因子,我们就称这两个数是互质关系(coprime)。比如,15和32没有公因子,所以它们是互质关系。这说明,不是质数也可以构成互质关系。
关于互质关系,不难得到以下结论:
1. 任意两个质数构成互质关系,比如13和61。
2. 一个数是质数,另一个数只要不是前者的倍数,两者就构成互质关系,比如3和10。
3. 如果两个数之中,较大的那个数是质数,则两者构成互质关系,比如97和57。
4. 1和任意一个自然数是都是互质关系,比如1和99。
5. p是大于1的整数,则p和p-1构成互质关系,比如57和56。
6. p是大于1的奇数,则p和p-2构成互质关系,比如17和15。
三、欧拉函数
请思考以下问题:
任意给定正整数n,请问在小于等于n的正整数之中,有多少个与n构成互质关系?(比如,在1到8之中,有多少个数与8构成互质关系?)
计算这个值的方法就叫做欧拉函数,以φ(n)表示。在1到8之中,与8形成互质关系的是1、3、5、7,所以 φ(n) = 4。
φ(n) 的计算方法并不复杂,但是为了得到最后那个公式,需要一步步讨论。
第一种情况
如果n=1,则 φ(1) = 1 。因为1与任何数(包括自身)都构成互质关系。
第二种情况
如果n是质数,则 φ(n)=n-1 。因为质数与小于它的每一个数,都构成互质关系。比如5与1、2、3、4都构成互质关系。
第三种情况
如果n是质数的某一个次方,即 n = p^k (p为质数,k为大于等于1的整数),则

比如 φ(8) = φ(2^3) =2^3 - 2^2 = 8 -4 = 4。
这是因为只有当一个数不包含质数p,才可能与n互质。而包含质数p的数一共有p^(k-1)个,即1×p、2×p、3×p、...、p^(k-1)×p,把它们去除,剩下的就是与n互质的数。
上面的式子还可以写成下面的形式:

可以看出,上面的第二种情况是 k=1 时的特例。
第四种情况
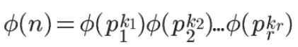
如果n可以分解成两个互质的整数之积,
n = p1 × p2
则
φ(n) = φ(p1p2) = φ(p1)φ(p2)
即积的欧拉函数等于各个因子的欧拉函数之积。比如,φ(56)=φ(8×7)=φ(8)×φ(7)=4×6=24。
这一条的证明要用到"中国剩余定理",这里就不展开了,只简单说一下思路:如果a与p1互质(a<p1),b与p2互质(b<p2),c与p1p2互质(c<p1p2),则c与数对 (a,b) 是一一对应关系。由于a的值有φ(p1)种可能,b的值有φ(p2)种可能,则数对 (a,b) 有φ(p1)φ(p2)种可能,而c的值有φ(p1p2)种可能,所以φ(p1p2)就等于φ(p1)φ(p2)。
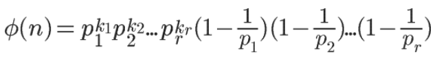
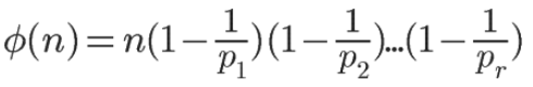
第五种情况
因为任意一个大于1的正整数,都可以写成一系列质数的积。

根据第4条的结论,得到

再根据第 3 条的结论,得到

也就等于

这就是欧拉函数的通用计算公式。比如,1323 的欧拉函数,计算过程如下:

四、欧拉定理
欧拉函数的用处,在于欧拉定理。"欧拉定理"指的是:
如果两个正整数a和n互质,则n的欧拉函数 φ(n) 可以让下面的等式成立:
也就是说,a的φ(n)次方被n除的余数为1。或者说,a的φ(n)次方减去1,可以被n整除。比如,3和7互质,而7的欧拉函数φ(7)等于6,所以3的6次方(729)减去1,可以被7整除(728/7=104)。
欧拉定理的证明比较复杂,这里就省略了。我们只要记住它的结论就行了。
欧拉定理可以大大简化某些运算。比如,7和10互质,根据欧拉定理,

已知 φ(10) 等于4,所以马上得到7的4倍数次方的个位数肯定是1。

因此,7的任意次方的个位数(例如7的222次方),心算就可以算出来。
欧拉定理有一个特殊情况。
假设正整数a与质数p互质,因为质数p的φ(p)等于p-1,则欧拉定理可以写成
这就是著名的费马小定理。它是欧拉定理的特例。
欧拉定理是RSA算法的核心。理解了这个定理,就可以理解RSA。
五、模反元素
还剩下最后一个概念:
如果两个正整数a和n互质,那么一定可以找到整数b,使得 ab-1 被n整除,或者说ab被n除的余数是1。
这时,b就叫做a的"模反元素"。
比如,3和11互质,那么3的模反元素就是4,因为 (3 × 4)-1 可以被11整除。显然,模反元素不止一个, 4加减11的整数倍都是3的模反元素 {...,-18,-7,4,15,26,...},即如果b是a的模反元素,则 b+kn 都是a的模反元素。
欧拉定理可以用来证明模反元素必然存在。

可以看到,a的 φ(n)-1 次方,就是a的模反元素。
好了,需要用到的数学工具,全部介绍完了。RSA算法涉及的数学知识,就是上面这些,有了这些知识,我们就可以看懂RSA算法了。
六、密钥生成的步骤
我们通过一个例子,来理解RSA算法。假设爱丽丝要与鲍勃进行加密通信,她该怎么生成公钥和私钥呢?

第一步,随机选择两个不相等的质数p和q。
爱丽丝选择了61和53。(实际应用中,这两个质数越大,就越难破jie。)
第二步,计算p和q的乘积n。
爱丽丝就把61和53相乘。
n = 61×53 = 3233
n的长度就是密钥长度。3233写成二进制是110010100001,一共有12位,所以这个密钥就是12位。实际应用中,RSA密钥一般是1024位,重要场合则为2048位。
第三步,计算n的欧拉函数φ(n)。
根据公式:
φ(n) = (p-1)(q-1)
爱丽丝算出φ(3233)等于60×52,即3120。
第四步,随机选择一个整数e,条件是1< e < φ(n),且e与φ(n) 互质。
爱丽丝就在1到3120之间,随机选择了17。(实际应用中,常常选择65537。)
第五步,计算e对于φ(n)的模反元素d。
所谓"模反元素"就是指有一个整数d,可以使得ed被φ(n)除的余数为1。
ed ≡ 1 (mod φ(n))
这个式子等价于
ed - 1 = kφ(n)
于是,找到模反元素d,实质上就是对下面这个二元一次方程求解。
ex + φ(n)y = 1
已知 e=17, φ(n)=3120,
17x + 3120y = 1
这个方程可以用"扩展欧几里得算法"求解,此处省略具体过程。总之,爱丽丝算出一组整数解为 (x,y)=(2753,-15),即 d=2753。
至此所有计算完成。
第六步,将n和e封装成公钥,n和d封装成私钥。
在爱丽丝的例子中,n=3233,e=17,d=2753,所以公钥就是 (3233,17),私钥就是(3233, 2753)。
实际应用中,公钥和私钥的数据都采用ASN.1格式表达(实例)。
七、RSA算法的可靠性
回顾上面的密钥生成步骤,一共出现六个数字:
p q n φ(n) e d
这六个数字之中,公钥用到了两个(n和e),其余四个数字都是不公开的。其中最关键的是d,因为n和d组成了私钥,一旦d泄漏,就等于私钥泄漏。
那么,有无可能在已知n和e的情况下,推导出d?
(1)ed≡1 (mod φ(n))。只有知道e和φ(n),才能算出d。
(2)φ(n)=(p-1)(q-1)。只有知道p和q,才能算出φ(n)。
(3)n=pq。只有将n因数分解,才能算出p和q。
结论:如果n可以被因数分解,d就可以算出,也就意味着私钥被破jie。
可是,大整数的因数分解,是一件非常困难的事情。目前,除了暴力破jie,还没有发现别的有效方法。维基百科这样写道:
"对极大整数做因数分解的难度决定了RSA算法的可靠性。换言之,对一极大整数做因数分解愈困难,RSA算法愈可靠。
假如有人找到一种快速因数分解的算法,那么RSA的可靠性就会极度下降。但找到这样的算法的可能性是非常小的。今天只有短的RSA密钥才可能被暴力破jie。到2008年为止,世界上还没有任何可靠的攻击RSA算法的方式。
只要密钥长度足够长,用RSA加密的信息实际上是不能被解破的。"
举例来说,你可以对3233进行因数分解(61×53),但是你没法对下面这个整数进行因数分解。
12301866845301177551304949 58384962720772853569595334 79219732245215172640050726 36575187452021997864693899 56474942774063845925192557 32630345373154826850791702 61221429134616704292143116 02221240479274737794080665 351419597459856902143413
它等于这样两个质数的乘积:
33478071698956898786044169 84821269081770479498371376 85689124313889828837938780 02287614711652531743087737 814467999489 × 36746043666799590428244633 79962795263227915816434308 76426760322838157396665112 79233373417143396810270092 798736308917
事实上,这大概是人类已经分解的最大整数(232个十进制位,768个二进制位)。比它更大的因数分解,还没有被报道过,因此目前被破jie的最长RSA密钥就是768位。
## 八、加密和解密
有了公钥和密钥,就能进行加密和解密了。
(1)加密要用公钥 (n,e)
假设鲍勃要向爱丽丝发送加密信息m,他就要用爱丽丝的公钥 (n,e) 对m进行加密。这里需要注意,m必须是整数(字符串可以取ascii值或unicode值),且m必须小于n。
所谓"加密",就是算出下式的c:
爱丽丝的公钥是 (3233, 17),鲍勃的m假设是65,那么可以算出下面的等式:
于是,c等于2790,鲍勃就把2790发给了爱丽丝。
(2)解密要用私钥(n,d)
爱丽丝拿到鲍勃发来的2790以后,就用自己的私钥(3233, 2753) 进行解密。可以证明,下面的等式一定成立:
也就是说,c的d次方除以n的余数为m。现在,c等于2790,私钥是(3233, 2753),那么,爱丽丝算出
因此,爱丽丝知道了鲍勃加密前的原文就是65。
至此,"加密--解密"的整个过程全部完成。
我们可以看到,如果不知道d,就没有办法从c求出m。而前面已经说过,要知道d就必须分解n,这是极难做到的,所以RSA算法保证了通信安全。
你可能会问,公钥(n,e) 只能加密小于n的整数m,那么如果要加密大于n的整数,该怎么办?有两种解决方法:一种是把长信息分割成若干段短消息,每段分别加密;另一种是先选择一种"对称性加密算法"(比如DES),用这种算法的密钥加密信息,再用RSA公钥加密DES密钥。
九、私钥解密的证明
最后,我们来证明,为什么用私钥解密,一定可以正确地得到m。也就是证明下面这个式子:
因为,根据加密规则
于是,c可以写成下面的形式:
将c代入要我们要证明的那个解密规则:
它等同于求证
由于
所以
将ed代入:
接下来,分成两种情况证明上面这个式子。
(1)m与n互质。
根据欧拉定理,此时
得到
原式得到证明。
(2)m与n不是互质关系。
此时,由于n等于质数p和q的乘积,所以m必然等于kp或kq。
以 m = kp为例,考虑到这时k与q必然互质,则根据欧拉定理,下面的式子成立:
进一步得到
即
将它改写成下面的等式
这时t必然能被p整除,即 t=t'p
因为 m=kp,n=pq,所以
原式得到证明。
完成,收工!

【传播知识,共享价值】,感谢小伙伴们的关注和支持,我是【诸葛小猿】,一个彷徨中奋斗的互联网民工!!!























