plotly-express-11-plotly实现柱状图

909 阅读9分钟

plotly-express-11-plotly实现柱状图

本文中介绍的是如何在plotly中绘制柱状图Bar,主要是通过两种方法来实现:

  • 基于px.bar
  • 基于go.Bar

good method

一个很好的方法,如何将Series型数据的indexvalue通过不同的颜色柱展示出来

数据

img
img

文本显示部分

img
img
  • ounter(line
  • ounter(line
  • ounter(line
  • ounter(line
  • ounter(line
  • ounter(line
  • ounter(line
  • ounter(line
  • ounter(line
  • ounter(line
  • ounter(line
  • ounter(line
  • ounter(line
  • ounter(line
  • ounter(line
  • ounter(line
  • ounter(line
  • ounter(line
  • ounter(line
  • ounter(line
  • ounter(line
  • ounter(line
  • ounter(line
  • ounter(line
  • ounter(line
  • ounter(line
  • ounter(line
  • ounter(line
  • ounter(line
  • ounter(line
  • ounter(line
  • ounter(line
  • ounter(line
  • ounter(line
  • ounter(line
  • ounter(line
  • ounter(line
  • ounter(line
  • ounter(line
  • ounter(line
  • ounter(line
  • ounter(line
# 颜色的随机生成:#123456  # 加上6位数字构成def random_color_generator(number_of_colors):    color = ["#"+''.join([random.choice('0123456789ABCDEF') for j in range(6)])                 for i in range(number_of_colors)]    return color
trace = go.Bar( x = cnt_srs.index, y = cnt_srs.values, text = text, marker = dict( color = random_color_generator(100), line = dict(color='rgb(8, 48, 107)', # 柱子的外围线条颜色和宽度 width = 1.5) ), opacity = 0.7 # 透明度设置)
# 数据部分:一定是列表的形式data = [trace]
# 布局设置layout = go.Layout( title = 'Prime genre', # 整个图的标题 margin = dict( l = 100 # 左边距离 ), xaxis = dict( title = 'Type of app' # 2个轴的标题 ), yaxis = dict( title = 'Count of app' ), width = 900, # figure的宽高 height = 500)
fig = go.Figure(data=data, layout=layout)
fig.update_traces(textposition="outside")
fig.show()

结果

每次运行的结果不同,因为引入了随机模块

导入库

  • ounter(line
  • ounter(line
  • ounter(line
  • ounter(line
  • ounter(line
  • ounter(line
  • ounter(line
  • ounter(line
  • ounter(line
import pandas as pdimport numpy as np
import plotly_express as pximport plotly.graph_objects as go
import dashimport dash_core_components as dccimport dash_html_components as html

基于px.bar实现

With px.bar, each row of the DataFrame is represented as a rectangular mark.

basic

  • ounter(line
  • ounter(line
  • ounter(line
data_canada = px.data.gapminder().query("country == 'Canada'")fig = px.bar(data_canada, x="year", y="pop")fig.show()

自定义customize

  • ounter(line
  • ounter(line
  • ounter(line
  • ounter(line
  • ounter(line
  • ounter(line
fig = px.bar(data_canada, x="year",y="pop",             color="lifeExp",height=400,             hover_data=["lifeExp","gdpPercap"],             labels={"pop":"population of Canada"}  # 将y轴的名称pop改掉            )fig.show()

堆叠柱状图

When several rows share the same value of x (here Female or Male), the rectangles are stacked on top of one another by default.

通过堆叠的方式展示

通过分组的方式展示

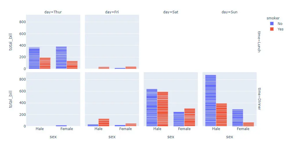
facetted subplots

  • ounter(line
  • ounter(line
  • ounter(line
  • ounter(line
  • ounter(line
  • ounter(line
  • ounter(line
fig = px.bar(df, x="sex",y="total_bill",             color="smoker",barmode="group",             facet_col="day",   #  in the horizontal direction 水平方向             facet_row="time",  #  in the vertical direction  竖直方向             category_orders={"day":["Thur","Fri","Sat","Sun"],  # 2个方向的具体分类情况                             "time":["Lunch","Dinner"]})fig.show()

基于go.Bar实现

basic

  • ounter(line
  • ounter(line
  • ounter(line
  • ounter(line
  • ounter(line
animals = ["cat","dog","pig","chicken","monkeys"]values = [20,50,40,60,30]
fig = go.Figure(data=(go.Bar(x=animals,y=values)))fig.show()

grouped bar chart

  • ounter(line
  • ounter(line
  • ounter(line
  • ounter(line
  • ounter(line
  • ounter(line
  • ounter(line
  • ounter(line
  • ounter(line
  • ounter(line
  • ounter(line
  • ounter(line
  • ounter(line
animals = ["cat","dog","pig","chicken","monkeys"]values_1 = [20,50,40,60,40]values_2 = [40,70,20,50,20]
fig = go.Figure(data=[ go.Bar(x=animals,y=values_1,name="shenzhen Zoo"), # 多组数据用列表的形式 go.Bar(x=animals,y=values_2,name="guangzhou Zoo"),])
# change the bar mode:更新柱状图的modefig.update_layout(barmode="group") # 分组的形式!!!
fig.show()

stack bar chart

  • ounter(line
  • ounter(line
  • ounter(line
  • ounter(line
  • ounter(line
  • ounter(line
  • ounter(line
  • ounter(line
  • ounter(line
  • ounter(line
  • ounter(line
  • ounter(line
  • ounter(line
animals = ["cat","dog","pig","chicken","monkeys"]values_1 = [20,50,40,60,40]values_2 = [40,70,20,50,20]
fig = go.Figure(data=[ go.Bar(x=animals,y=values_1,name="shenzhen Zoo"), # 多组数据用列表的形式 go.Bar(x=animals,y=values_2,name="guangzhou Zoo"),])
# change the bar mode:更新柱状图的modefig.update_layout(barmode="stack") # 堆叠图的形式
fig.show()

Bar Chart with Hover Text

  • 悬停文字信息的显示
  • x轴标签的旋转
  • y轴上文本信息的显示和位置显示(auto/outside/inside)
  • ounter(line
  • ounter(line
  • ounter(line
  • ounter(line
  • ounter(line
  • ounter(line
  • ounter(line
  • ounter(line
  • ounter(line
  • ounter(line
  • ounter(line
  • ounter(line
  • ounter(line
  • ounter(line
  • ounter(line
  • ounter(line
  • ounter(line
  • ounter(line
  • ounter(line
  • ounter(line
x = ['Product A', 'Product B', 'Product C']y = [20, 14, 23]
# Use the hovertext kw argument for hover textfig = go.Figure(data=[go.Bar(x=x, y=y, text=y,textposition="auto", # 矩形框中显示的文本text和文本的位置textposition hovertext=['27% market share', '24% market share', '19% market share']) # 悬停显示文本 ])
# update_tracesfig.update_traces(marker_color='rgb(1,202,225)', marker_line_color='rgb(108,10,0)', # 边框线条颜色 marker_line_width=1.5, # 矩形边框的线条粗细 opacity=0.8 )
# 图表标题fig.update_layout(title_text='January 2013 Sales Report',xaxis_tickangle=-45) # 标题 + x轴标签旋转45度fig.show()

Controlling text fontsize with uniformtext

  • ounter(line
  • ounter(line
  • ounter(line
  • ounter(line
  • ounter(line
  • ounter(line
  • ounter(line
  • ounter(line
  • ounter(line
df = px.data.gapminder().query("continent == 'Europe' and year == 2007 and pop > 2.e6")fig = px.bar(df, x="country", y="pop", text="pop")
fig.update_traces(texttemplate="%{text:.2s}", # 数字保留2位有效数字 textposition="outside") # 数字显示在外面fig.update_layout(uniformtext_minsize=10, uniformtext_mode="hide")
fig.show()

Customizing Individual Bar Widths

如何自定义矩形框的宽度

  • ounter(line
  • ounter(line
  • ounter(line
  • ounter(line
  • ounter(line
  • ounter(line
  • ounter(line
  • ounter(line
fig = go.Figure(data=[go.Bar(    x=[1, 2, 3, 5.5, 10],    y=[10, 8, 6, 4, 2],    width=[0.8, 0.8, 0.8, 3.5, 4] # 指定每个矩形框的宽度)])
fig.show()

Bar Chart with Relative Barmode

With “relative” barmode, the bars are stacked on top of one another, with negative values below the axis, positive values above.

通过barmode参数的relative来设置

Bar Chart with Sorted or Ordered Categories

Set categoryorder to "category ascending" or "category descending" for the alphanumerical order of the category names or "total ascending" or "total descending" for numerical order of values. categoryorder for more information.

Note that sorting the bars by a particular trace isn’t possible right now - it’s only possible to sort by the total values. Of course, you can always sort your data before plotting it if you need more customization.

参数

  • data_frame (DataFrame or array-like or dict) – This argument needs to be passed for column names (and not keyword names) to be used. Array-like and dict are tranformed internally to a pandas DataFrame. Optional: if missing, a DataFrame gets constructed under the hood using the other arguments.
  • x (str or int or Series or array-like) – Either a name of a column in data_frame, or a pandas Series or array_like object. Values from this column or array_like are used to position marks along the x axis in cartesian coordinates. Either x or y can optionally be a list of column references or array_likes, in which case the data will be treated as if it were ‘wide’ rather than ‘long’.
  • y (str or int or Series or array-like) – Either a name of a column in data_frame, or a pandas Series or array_like object. Values from this column or array_like are used to position marks along the y axis in cartesian coordinates. Either x or y can optionally be a list of column references or array_likes, in which case the data will be treated as if it were ‘wide’ rather than ‘long’.
  • color (str or int or Series or array-like) – Either a name of a column in data_frame, or a pandas Series or array_like object. Values from this column or array_like are used to assign color to marks.
  • facet_row (str or int or Series or array-like) – Either a name of a column in data_frame, or a pandas Series or array_like object. Values from this column or array_like are used to assign marks to facetted subplots in the vertical direction.
  • facet_col (str or int or Series or array-like) – Either a name of a column in data_frame, or a pandas Series or array_like object. Values from this column or array_like are used to assign marks to facetted subplots in the horizontal direction.
  • facet_col_wrap (int) – Maximum number of facet columns. Wraps the column variable at this width, so that the column facets span multiple rows. Ignored if 0, and forced to 0 if facet_row or a marginal is set.
  • hover_name (str or int or Series or array-like) – Either a name of a column in data_frame, or a pandas Series or array_like object. Values from this column or array_like appear in bold in the hover tooltip.
  • hover_data (list of str or int, or Series or array-like*, or* dict) – Either a list of names of columns in data_frame, or pandas Series, or array_like objects or a dict with column names as keys, with values True (for default formatting) False (in order to remove this column from hover information), or a formatting string, for example ‘:.3f’ or ‘|%a’ or list-like data to appear in the hover tooltip or tuples with a bool or formatting string as first element, and list-like data to appear in hover as second element Values from these columns appear as extra data in the hover tooltip.
  • custom_data (list of str or int, or Series or array-like) – Either names of columns in data_frame, or pandas Series, or array_like objects Values from these columns are extra data, to be used in widgets or Dash callbacks for example. This data is not user-visible but is included in events emitted by the figure (lasso selection etc.)
  • text (str or int or Series or array-like) – Either a name of a column in data_frame, or a pandas Series or array_like object. Values from this column or array_like appear in the figure as text labels.
  • error_x (str or int or Series or array-like) – Either a name of a column in data_frame, or a pandas Series or array_like object. Values from this column or array_like are used to size x-axis error bars. If error_x_minus is None, error bars will be symmetrical, otherwise error_x is used for the positive direction only.
  • error_x_minus (str or int or Series or array-like) – Either a name of a column in data_frame, or a pandas Series or array_like object. Values from this column or array_like are used to size x-axis error bars in the negative direction. Ignored if error_x is None.
  • error_y (str or int or Series or array-like) – Either a name of a column in data_frame, or a pandas Series or array_like object. Values from this column or array_like are used to size y-axis error bars. If error_y_minus is None, error bars will be symmetrical, otherwise error_y is used for the positive direction only.
  • error_y_minus (str or int or Series or array-like) – Either a name of a column in data_frame, or a pandas Series or array_like object. Values from this column or array_like are used to size y-axis error bars in the negative direction. Ignored if error_y is None.
  • animation_frame (str or int or Series or array-like) – Either a name of a column in data_frame, or a pandas Series or array_like object. Values from this column or array_like are used to assign marks to animation frames.
  • animation_group (str or int or Series or array-like) – Either a name of a column in data_frame, or a pandas Series or array_like object. Values from this column or array_like are used to provide object-constancy across animation frames: rows with matching [](https://plotly.com/python-api-reference/generated/plotly.express.bar.html#id3)animation_groups will be treated as if they describe the same object in each frame.
  • category_orders (dict with str keys and list of str values (default {})) – By default, in Python 3.6+, the order of categorical values in axes, legends and facets depends on the order in which these values are first encountered in data_frame (and no order is guaranteed by default in Python below 3.6). This parameter is used to force a specific ordering of values per column. The keys of this dict should correspond to column names, and the values should be lists of strings corresponding to the specific display order desired.
  • labels (dict with str keys and str values (default {})) – By default, column names are used in the figure for axis titles, legend entries and hovers. This parameter allows this to be overridden. The keys of this dict should correspond to column names, and the values should correspond to the desired label to be displayed.
  • color_discrete_sequence (list of str) – Strings should define valid CSS-colors. When color is set and the values in the corresponding column are not numeric, values in that column are assigned colors by cycling through color_discrete_sequence in the order described in category_orders, unless the value of color is a key in color_discrete_map. Various useful color sequences are available in the plotly.express.colors submodules, specifically plotly.express.colors.qualitative.
  • color_discrete_map (dict with str keys and str values (default {})) – String values should define valid CSS-colors Used to override color_discrete_sequence to assign a specific colors to marks corresponding with specific values. Keys in color_discrete_map should be values in the column denoted by color. Alternatively, if the values of color are valid colors, the string 'identity' may be passed to cause them to be used directly.
  • color_continuous_scale (list of str) – Strings should define valid CSS-colors This list is used to build a continuous color scale when the column denoted by color contains numeric data. Various useful color scales are available in the plotly.express.colors submodules, specifically plotly.express.colors.sequential, plotly.express.colors.diverging and plotly.express.colors.cyclical.
  • range_color (list of two numbers) – If provided, overrides auto-scaling on the continuous color scale.
  • color_continuous_midpoint (number (default None)) – If set, computes the bounds of the continuous color scale to have the desired midpoint. Setting this value is recommended when using plotly.express.colors.diverging color scales as the inputs to color_continuous_scale.
  • opacity (float) – Value between 0 and 1. Sets the opacity for markers.
  • orientation (str, one of 'h' for horizontal or 'v' for vertical.) – (default 'v' if x and y are provided and both continous or both categorical, otherwise 'v'(‘h’) if x(y) is categorical and y(x) is continuous, otherwise 'v'(‘h’) if only x(y) is provided)
  • barmode (str (default 'relative')) – One of 'group', 'overlay' or 'relative' In 'relative' mode, bars are stacked above zero for positive values and below zero for negative values. In 'overlay' mode, bars are drawn on top of one another. In 'group' mode, bars are placed beside each other.
  • log_x (boolean (default False)) – If True, the x-axis is log-scaled in cartesian coordinates.
  • log_y (boolean (default False)) – If True, the y-axis is log-scaled in cartesian coordinates.
  • range_x (list of two numbers) – If provided, overrides auto-scaling on the x-axis in cartesian coordinates.
  • range_y (list of two numbers) – If provided, overrides auto-scaling on the y-axis in cartesian coordinates.
  • title (str) – The figure title.
  • template (str or dict or plotly.graph_objects.layout.Template instance) – The figure template name (must be a key in plotly.io.templates) or definition.
  • width (int (default None)) – The figure width in pixels.
  • height (int (default None)) – The figure height in pixels.