什么是堆?
堆(英语:Heap)是计算机科学中的一种特别的树状数据结构。若是满足以下特性,即可称为堆:“给定堆中任意节点P和C,若P是C的母节点,那么P的值会小于等于(或大于等于)C的值”。
若母节点的值恒小于等于子节点的值,此堆称为最小堆(MinHeap);
反之,若母节点的值恒大于等于子节点的值,此堆称为最大堆(MaxHeap)。
在堆中最顶端的那一个节点,称作根节点(root node),根节点本身没有母节点(parent node)。

为什么需要堆?
堆可以使我们在O(1)的时间复杂度,获取堆中的最大值或者最小值。而数组或者链表则需要O(n)的时间复杂度。如果是二叉数则需要O(log n)的时间复杂度。
如何实现堆?
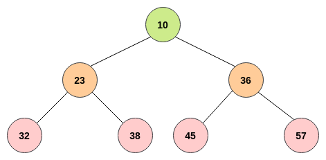
虽然堆是一种树状的结构,但是可以将堆转换为数组。

我们仔细观察一下上图。最大最小的元素放在index= 0索引的位置,使我们可以在O(1)的时间复杂度内拿到它。root节点的子节点的索引分别是1, 2。而索引等于 1 的节点,它的子节点的索引则是 3, 4。
总结一下堆中父节点,和子节点的索引关系如下:

当然我们也可以通过子节点的索引,反推出父节点的索引 父节点索引 = Math.floor(子节点索引 / 2)
MinHeap
class MinHeap {
constructor () {
this.heap = []
}
getMin () {
// 最小值是堆栈的顶
return this.heap[0]
}
}
insert

insert(10), heap为空, 10会作为根节点insert(23), 23 > 10, 23可以作为10的子节点insert(36), 36 > 10, 36可以作为10的子节点insert(18), 因为 18 < 23,18不能作为23的子节点。所以18和23需要调换位置。接着我们继续向上查找,18 > 10,所以18可以是10的子节点,迭代结束。
insert方法的具体实现
class MinHeap {
// ....
getParentNode (index) {
return this.heap[Math.floor(index / 2)]
}
insert (node) {
this.heap.push(node)
if (this.heap.length > 1) {
let currentIndex = this.heap.length - 1
// 需要依次向上查找
while (
currentIndex > 1 &&
this.getParentNode(currentIndex) > this.heap[currentIndex]
) {
// 最小堆,如果父节点大于子节点,父节点和子节点需要互相交换
// 父节点的索引
const parentIndex = Math.floor(currentIndex / 2)
let temp = this.heap[parentIndex]
this.heap[parentIndex] = this.heap[currentIndex]
this.heap[currentIndex] = temp
currentIndex = parentIndex
}
}
}
}
remove

最小堆中删除节点,删除根节点后,将堆中的最后一位移动到根节点上。然后依次比较根节点和子节点的大小,如果根节点大于子节点,子节点和根节点调换位置。直到全部比较完成。
class MinHeap {
// ...
remove () {
let min = this.getMin()
if (this.heap.length > 2) {
this.heap[1] = this.heap[this.heap.length - 1]
this.heap.splice(this.heap.length - 1)
// 如果只有两个节点的情况下,直接比较两个节点即可, 不需要依次比较所以的子节点
if (this.heap.length === 3) {
if (this.heap[1] > this.heap[2]) {
let temp = this.heap[1]
this.heap[1] = this.heap[2]
this.heap[2] = temp
}
return min
}
let currentIndex = 1
// 首位是null,所以不加1
let leftChildIndex = currentIndex * 2
let rightChildIndex = currentIndex * 2 + 1
// 如果有大于2个节点,父节点需要比较左右两个子节点
while (
this.heap[leftChildIndex] &&
this.heap[rightChildIndex] &&
(this.heap[currentIndex] > this.heap[leftChildIndex] || this.heap[currentIndex] > this.heap[rightChildIndex])
) {
if (this.heap[leftChildIndex] < this.heap[rightChildIndex]) {
let temp = this.heap[currentIndex]
this.heap[currentIndex] = this.heap[leftChildIndex]
this.heap[leftChildIndex] = temp
currentIndex = leftChildIndex
} else {
let temp = this.heap[currentIndex]
this.heap[currentIndex] = this.heap[rightChildIndex]
this.heap[rightChildIndex] = temp
currentIndex = rightChildIndex
}
leftChildIndex = currentIndex * 2
rightChildIndex = currentIndex * 2 + 1
}
} else if (this.heap.length === 2) {
// 当前只有一个节点的情况下,直接删除root节点
this.heap.splice(1, 1)
} else {
return null
}
return min
}
}
MinHeap 完整的实现
class MinHeap {
constructor () {
this.heap = [null]
}
getMin () {
return this.heap[1]
}
getParentNode (index) {
return this.heap[Math.floor(index / 2)]
}
insert (node) {
this.heap.push(node)
if (this.heap.length > 1) {
let currentIndex = this.heap.length - 1
// 需要依次向上查找
while (
currentIndex > 1 &&
this.getParentNode(currentIndex) > this.heap[currentIndex]
) {
// 最小堆,如果父节点大于子节点,父节点和子节点需要互相交换
// 父节点的索引
const parentIndex = Math.floor(currentIndex / 2)
let temp = this.heap[parentIndex]
this.heap[parentIndex] = this.heap[currentIndex]
this.heap[currentIndex] = temp
currentIndex = parentIndex
}
}
}
remove () {
let min = this.getMin()
if (this.heap.length > 2) {
this.heap[1] = this.heap[this.heap.length - 1]
this.heap.splice(this.heap.length - 1)
// 如果只有两个节点的情况下,直接比较两个节点即可, 不需要依次比较所以的子节点
if (this.heap.length === 3) {
if (this.heap[1] > this.heap[2]) {
let temp = this.heap[1]
this.heap[1] = this.heap[2]
this.heap[2] = temp
}
return min
}
let currentIndex = 1
// 首位是null,所以不加1
let leftChildIndex = currentIndex * 2
let rightChildIndex = currentIndex * 2 + 1
// 如果有大于2个节点,父节点需要比较左右两个子节点
while (
this.heap[leftChildIndex] &&
this.heap[rightChildIndex] &&
(this.heap[currentIndex] > this.heap[leftChildIndex] || this.heap[currentIndex] > this.heap[rightChildIndex])
) {
if (this.heap[leftChildIndex] < this.heap[rightChildIndex]) {
let temp = this.heap[currentIndex]
this.heap[currentIndex] = this.heap[leftChildIndex]
this.heap[leftChildIndex] = temp
currentIndex = leftChildIndex
} else {
let temp = this.heap[currentIndex]
this.heap[currentIndex] = this.heap[rightChildIndex]
this.heap[rightChildIndex] = temp
currentIndex = rightChildIndex
}
leftChildIndex = currentIndex * 2
rightChildIndex = currentIndex * 2 + 1
}
} else if (this.heap.length === 2) {
// 当前只有一个节点的情况下,直接删除root节点
this.heap.splice(1, 1)
} else {
return null
}
return min
}
}
实际应用: 数组中的第K个最大元素
题目
在未排序(不能进行排序)的数组中找到第 k 个最大的元素。请注意,你需要找的是数组排序后的第 k 个最大的元素,而不是第 k 个不同的元素。
示例 1:
输入: [3,2,1,5,6,4] 和 k = 2
输出: 5
示例 2:
输入: [3,2,3,1,2,4,5,5,6] 和 k = 4
输出: 4
解答
/**
* @param {number[]} nums
* @param {number} k
* @return {number}
*/
var findKthLargest = function(nums, k) {
if (nums.length == 0) {
return -1
}
if (nums.length < k) {
return -1
}
const heap = new MinHeap()
let result = null
for (let i = 0; i < nums.length; i++) {
heap.insert(nums[i])
}
// 题目是第几大 可以转换为对应的第几小
// 如果直接使用最大堆也可以
k = nums.length - k + 1
while (k > 0) {
result = heap.remove()
k -= 1
}
return result
};