统计学(三):统计方法

357 阅读2分钟

一、列联分析

1. 概览

2. 步骤
(1)提出假设:H0:没有差异没有影响;H1:有差异有影响
(2)构造边缘分布表:行边缘分布和列边缘分布
(3)计算期望频数:假定行、列变量独立
(4)构造卡方分布
(5)查临界值得结论:若卡方统计量计算值≤查表临界值,则接受原假设,否则拒绝原假设。

二、方差分析

1. 概览

2. 步骤
(1)提出假设:H0:没有差异没有影响;H1:有差异有影响
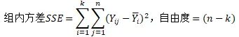
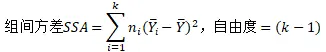
(2)分析差异:计算各组平均数、总平均数;计算组间平方和SSA、组内平方和SSE、总平方和SST
(3)计算均方
(4)计算F=MSA/MSE,查临界值作比较,进行决策

三、相关分析与回归分析

1. 概览

2. 相关分析

  • 变量间的关系:确定的函数关系、不确定的统计关系—相关关系、没有关系。
  • 相关关系的类型:
    (1)变量数量:简单相关、多重相关
    (2)表现形式:线性相关、非线性相关
    (3)关系变化的方向:正相关、负相关
    (4)相关程度:完全相关、不相关、不完全相关
  • 相关系数ρ(样本线性相关系数r):|r|=1完全相关,|r|—>1关系密切,|r|—>0关系不密切
  • 几种相关系数:皮尔逊相关系数(Pearson)、斯皮尔曼相关系数(Spearman)、肯德尔相关系数(Kendall)
    3. 回归分析
    (1)模型的回归函数:总体/样本、条件均值/个别值
    (2)参数估计方法:最小二乘法OLS(因变量的观测值与估计值的离差平方和最小)(5种计算方法:函数法、散点图法、回归分析法、规划求解法、矩阵法)
    (3)拟合优度检验
    (4)回归系数的显著性检验
    4. 拓展:多元线性回归的模型检验
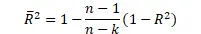
    (1)修正可决系数(考虑变量个数增大带来的影响)
    (2)F检验:所有变量联合起来对因变量是否有显著影响
    5. 拓展:Logistic回归——因变量为分类变量
    (1)说明:二元Logistic回归的因变量只有2个分类,多元Logistic回归的因变量有多个分类
    (2)参数估计方法:极大似然估计法