并查集
什么是并查集
其实并查集这个名称已经完全解释了这个数据结构了
「并」 合并数据
「查」 查找数据
「集」 数据的集合
即并查集就是一个可以合并数据,也可以查询数据的集合。当然这是个人理解的白话,下面用正儿八经的文字解释(其实就是 Google 搜了下定义)
并查集:是一种树形数据结构,主要用于「不交集的合并」以及「查询」问题。有一个「联合-查询算法」定义了两个用于此数据结构的操作。
众所周知,数据类型包含 数据+操作,数据等下面再详细介绍,这里主要列举下并查集的基本操作
- Union:将两个子集合并。例如 联合 (1) 和 (5) 集合,合并为一个集合
- Find:查找元素的源头,即查找目标节点的根节点。例如查找 (3)
并查集作用
并查集主要用于「判断是否连通」,简单来说就是判断其中一个节点能否经过任意路径达到另一个节点,如果可达则为连通,反之则为不可连通。例如可以用来判断大家族的亲戚关系关系,连通则为有亲戚关系,反之则无亲戚关系
并查集引入

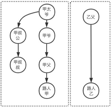
如图所示,如何判断路人甲和路人乙是不是亲戚?
「step1」 题目分析,路人甲和路人乙是亲戚的条件是 ”祖先是否相同“,那么可将问题转移,表现为 「是否为亲戚?」 => 「祖先是否相同?」
「step2」 继续分析,祖先是否相同其实不好一眼识别,那么可以曲线救国,找出 ”路人甲的祖先和路人乙的祖先,然后对比两个人是否为同一个人”,那么可将问题转移,表现为 「祖先是否相同?」 => 「找出两个人的祖先,然后比较是否相同?」
Find 引入
拿路人甲来举例,如何查询路人甲的祖先?根据人的一般思维做出「Find步骤推导」
「step1」 查询路人甲的父亲:路人甲 -> 甲父
「step2」 查询路人甲的父亲的父亲:甲父 -> 甲爷
「step3」 查询路人甲的父亲的父亲的父亲:甲爷 -> 甲太爷
「step4」 查询路人甲...:发现甲太爷上面没人了,那么必然他就是祖先了,则路人甲的祖先就是甲太爷
同理查询出路人乙的祖先是乙父,由于 甲太爷 != 乙父,则 路人甲和路人乙不是亲戚

Union 引入
突然有一天,甲爷发现乙父是失散多年的儿子,准备让乙父认祖归宗,则此时甲爷和乙父建立了关系。那么此时路人甲和路人乙是否是亲戚?
按照上述 Find步骤 求得 甲太爷 == 甲太爷,则 路人甲和路人乙是亲戚

并查集代码实现
数据初始化
对象存储(树形存储)
按照上面绘制的图形,甲太爷下面有甲叔公、甲爷;甲爷下面有甲父;甲父下面有路人甲...,明显得这是一个树形结构
「Step1」 分析出了树形结构,想都不用想,直接先整个树形结构先
class TreeNode {
value: number;
children: TreeNode[] | null; // 不知道子节点有多少个,所以用数组存储
}
「Step2」 树形结构整出来了,发现有点不对,按照 「Find步骤推导」,子级必须可以找到父级,但是这里子级都没有存储父级,不可能从子级找到父级。所以一拍脑壳,没有就加个嘛
class TreeNode {
value: number;
parent: TreeNode;
children: TreeNode[] | null;
}
「Step3」
打完收工,收工到一半发现还是有点不太对,按照「Find步骤推导」,我根本不需要从父级找到子级,只需要从子及级找到父级,那么 children属性 完全是浪费嘛,果断去了
class TreeNode {
value: number;
parent: TreeNode;
}
这下就科学多了,存储节点搞定了
数组存储
由 "对象存储" 我们知道了一个关键点:只需要子级找到父级即可,父级不必知道子级,那么可以采用一种更加简单的存储结构「数组存储」,以数组的 index 表示子节点,以 array[index] 表示该子节点的父节点,表现为 array[index] = parent;根节点的等于自身,表现为 array[root] = root;
class UnionFind {
private findUnionList: number[];
constructor(max: number) {
// 初始化时,让节点全部指向自己,即认为他们全都是独立的
this.findUnionList = new Array(max + 1).fill(0).map((i, ind) => ind);
}
}
「后续实例代码都使用数组存储来演示噶」
Find
根据「Find步骤推导」得出以下代码
class UnionFind {
private findUnionList: number[];
constructor(max: number) {
this.findUnionList = new Array(max + 1).fill(0).map((i, ind) => ind);
}
find(x: number): number {
while (x !== this.findUnionList[x]) {
x = this.findUnionList[x];
}
return x;
}
}
Union
class UnionFind {
private findUnionList: number[];
constructor(max: number) {
this.findUnionList = new Array(max + 1).fill(0).map((i, ind) => ind);
}
find(x: number): number {
while (x !== this.findUnionList[x]) {
x = this.findUnionList[x];
}
return x;
}
union(x: number, y: number) {
const rootX: number = this.find(x);
const rootY: number = this.find(y);
this.findUnionList[rootX] = rootY;
}
}
并查集优化
路径压缩
观察 find 方法,每次 Find 操作时,都需要从 子->父->父.父->父.父.父...->根 去查找,如果只是几个节点那还好,如果节点数到达1千个、1万个、10万个...,显而易见的查询效率会越来越低。那么有没得啥子办法来提高查询效率?
我们观察查询步骤,发现父节点对于子节点的意义只是「做为跳板,去查询根节点的」,并没有其他特殊的意义,那么直接将子节点的 parent 指向根节点,每次检查都只需要一次查询就完工咯。你可以想象成把一颗"「高瘦的树」变成一棵「矮胖的树」
既然知道了优化的办法了,下面列举两种不同的实现方法
一步到位
一次 Find 操作,就将该查询链上的节点全部指向根节点
class UnionFind {
private findUnionList: number[];
constructor(max: number) {
this.findUnionList = new Array(max + 1).fill(0).map((i, ind) => ind);
}
find(x: number): number {
if (x === this.findUnionList[x]) return x;
return (this.findUnionList[x] = this.find(this.findUnionList[x]));
}
}

循序渐进
如果是一步到位是个激进派,那么循序渐进就是一个保守派。它并不是全部直接指向根节点,而是每次把父级往前移动一个,例如原来是 子->父,现在是 子->(父->父),表现为 array[index] = array[array[index]],子的父级缓慢向前移动,最终指向 root
class UnionFind {
private findUnionList: number[];
constructor(max: number) {
this.findUnionList = new Array(max + 1).fill(0).map((i, ind) => ind); // 初始化时,让节点全部指向自己,即认为他们全都是独立的(全部都是单身狗
}
find(x: number): number {
while (this.findUnionList[x] !== x) {
const prev = x;
x = this.findUnionList[x];
this.findUnionList[prev] = this.findUnionList[x];
}
return x;
}
}

按秩合并
我们拿路人甲家族和路人乙家族来说:
- 原来路人甲Find操作需要 4 次查询操作才能完成查询
- 原来路人乙Find操作需要 2 次查询操作才能完成查询
最大查询次数 maxFind = 4
我们现在按照如下两种合并方式
「路人甲家族合并到路人乙家族」
- 现在路人甲Find操作需要 5 次查询操作才能完成查询
- 现在路人乙Find操作需要 2 次查询操作才能完成查询
最大查询次数 maxFind = 5 比合并前多出了 1 次

「路人乙家族合并到路人甲家族」
- 现在路人甲Find操作需要 4 次查询操作才能完成查询
- 现在路人乙Find操作需要 3 次查询操作才能完成查询
最大查询次数 maxFind = 4 保持为合并前最大查询次数

接下来,我们想一想为什么勒,继续回到查询步骤,我们的查询是这样的 子->父->(父.父)...->根,这「查询次数不就是树的深度嘛」
于是我们得到了结论:「将深度小的集合 合并 到深度大的集合 可以获得更好的性能」
「那如果树的深度相同呢?」

无论是 甲父合并到乙父 还是 乙父合并到甲父,最大查询次数都会增加,由 2 增加为 3,则当树深度相同时,就不用纠结了,谁合并谁都一样,只是深度加 1
那么对上面的结论修正:「将深度小的集合 合并 到深度大的集合 可以获得更好的性能,如果集合深度相同,则任意合并,深度+1」
对于树形存储的按秩合并
由于需要存储当前树的深度,则需要更新下 TreeNode
class TreeNode {
value: number;
parent: TreeNode;
deep: number;
}
对于数组存储的按秩合并
由于数组已经木有地方存储树的深度了,则需要重新找个存储的地方
class UnionFind {
private findUnionList: number[]; // 存储节点
private findUnionDeepList: number[]; // 存储节点深度
constructor(max: number) {
this.findUnionList = new Array(max + 1).fill(0).map((i, ind) => ind);
this.findUnionDeepList = new Array(max + 1).fill(0);
}
find(x: number): number {
while (this.findUnionList[x] !== x) {
const prev = x;
x = this.findUnionList[x];
this.findUnionList[prev] = this.findUnionList[x];
}
return x;
}
union(x: number, y: number) {
const rootX: number = this.find(x);
const rootY: number = this.find(y);
const deepX: number = this.findUnionDeepList[rootX];
const deepY: number = this.findUnionDeepList[rootY];
if (deepX > deepY) {
this.findUnionList[rootY] = rootX;
} else if (deepX < deepY) {
this.findUnionList[rootX] = rootY;
} else {
this.findUnionList[rootX] = rootY;
this.findUnionDeepList[rootY]++;
}
}
}
本文使用 mdnice 排版