
前言
前段时间,遇到优化计算斐波那契数列的常规递归方法,但是一时间并没有及时想到很好的方法,所以后面查找了相关资料,总结了多种计算解法,所以分享出来,和大家一起交流学习。
斐波那契数是什么
斐波那契数列(Fibonacci sequence),又称黄金分割数列、因数学家列昂纳多·斐波那契(Leonardoda Fibonacci)以兔子繁殖为例子而引入,故又称为“兔子数列”,指的是这样一个数列:1、1、2、3、5、8、13、21、34、……在数学上,斐波那契数列以如下被以递推的方法定义:F(1)=1,F(2)=1, F(n)=F(n - 1)+F(n - 2)(n ≥ 3,n ∈ N*)。
知道了斐波那契数,那么下面我们就用多种不同的方法来计算获取第N位斐波那契数。
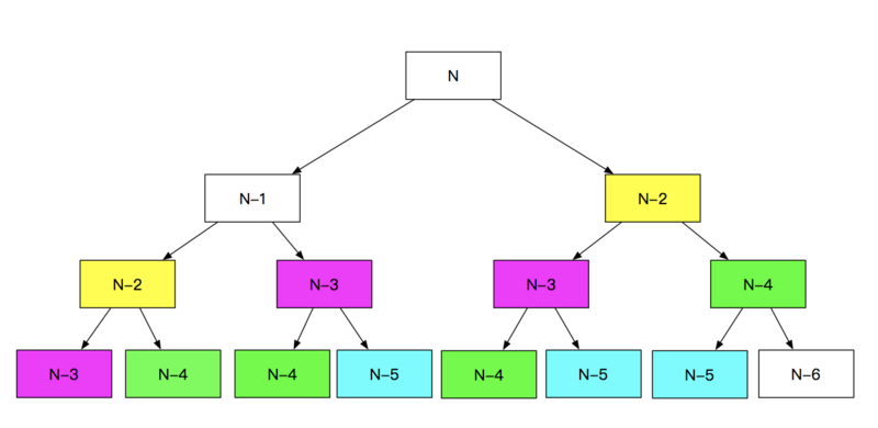
普通递归
这种方法是最常规的,直接根据定义F(n)=F(n - 1)+F(n - 2)递归计算即可,但是性能是最低的。
/**
* 普通递归
* @param int $n
* @return int
*/
function fib($n = 1)
{
// 低位处理
if ($n < 3) {
return 1;
}
// 递归计算前两位
return fib($n - 1) + fib($n - 2);
}
递归优化
从上面的递归方法可以看到,进行了很多的重复计算,性能极差,如果N越大,计算的次数太可怕了,那么,既然因为重复计算影响了性能,那么优化就从减少重复计算入手,即把之前计算的存储起来,这样就避免了过多的重复计算,优化了递归算法。
/**
* 递归优化
* @param int $n
* @param int $a
* @param int $b
* @return int
*/
function fib_2($n = 1, $a = 1, $b = 1)
{
if ($n > 2) {
// 存储前一位,优化递归计算
return fib_2($n - 1, $a + $b, $a);
}
return $a;
}
记忆化自底向上
自底向上通过迭代计算斐波那契数的子问题并存储已计算的值,通过已计算的值进行计算。使用for循环,减少递归带来的重复计算问题。
/**
* 记忆化自底向上
* @param int $n
* @return int
*/
function fib_3($n = 1)
{
$list = [];
for ($i = 0; $i <= $n; $i++) {
// 从低到高位数,依次存入数组中
if ($i < 2) {
$list[] = $i;
} else {
$list[] = $list[$i - 1] + $list[$i - 2];
}
}
// 返回最后一个数,即第N个数
return $list[$n];
}
自底向上进行迭代
最低位初始化赋值,使用for从低位到高位迭代计算,从而得到第N个数。
/**
* 自底向上进行迭代
* @param int $n
* @return int
*/
function fib_4($n = 1)
{
// 低位处理
if ($n <= 0) {
return 0;
}
if ($n < 3) {
return 1;
}
$a = 0;
$b = 1;
// 循环计算
for ($i = 2; $i < $n; $i++) {
$b = $a + $b;
$a = $b - $a;
}
return $b;
}
公式法
通过了解斐波那契序列和黄金分割比之间的关系,使用黄金分割率计算第N个斐波那契数。
/**
* 公式法
* @param int $n
* @return int
*/
function fib_5($n = 1)
{
// 黄金分割比
$radio = (1 + sqrt(5)) / 2;
// 斐波那契序列和黄金分割比之间的关系计算
$num = intval(round(pow($radio, $n) / sqrt(5)));
return $num;
}
无敌欠揍法
这个方法,我就不多说了吧,大家都懂的,但是千万别轻易尝试……

/**
* 无敌欠揍法
* @param int $n
* @return int
*/
function fib_6($n = 1)
{
// 列举了30个数
$list = [1, 1, 2, 3, 5, 8, 13, 21, 34, 55, 89, 144, 233, 377, 610, 987, 1597, 2584, 4181, 6765, 10946, 17711, 28657, 46368, 75025, 121393, 196418, 317811, 514229, 832040, 1346269];
return $list[$n];
}
最后
好了,我就大概写了几种解法,如果有不对的地方,请大家指出,我会及时修改,大家有其他计算方法,欢迎分享出来一起交流和学习,谢谢!