力扣算法 - 环形链表(判断是否有环)

108 阅读1分钟

环形链表

给定一个链表,判断链表中是否有环。

为了表示给定链表中的环,我们使用整数 pos 来表示链表尾连接到链表中的位置(索引从 0 开始)。 如果 pos 是 -1,则在该链表中没有环。

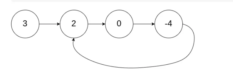
示例 1:

输入:head = [3,2,0,-4], pos = 1 输出:true 解释:链表中有一个环,其尾部连接到第二个节点。

image.png

示例 2:

输入:head = [1,2], pos = 0 输出:true 解释:链表中有一个环,其尾部连接到第一个节点。

image.png

示例 3:

输入:head = [1], pos = -1 输出:false 解释:链表中没有环。

image.png

思路

利用快慢指针思想,如果是环形链表,必然在某个节点相遇

Java解题步骤

    /**
     * 利用快慢指针思想,如果是环形链表,必然在某个节点相遇
     * @param head
     * @return
     */
    public boolean hasCycle(ListNode head) {
        if (head == null || head.next == null) return false;
        // 慢指针
        ListNode slow = head;
        // 快指针
        ListNode fast = head.next;
        while (fast != null && fast.next != null) {
            slow = slow.next;
            fast = fast.next.next;
            if (slow == fast) {
                return true;
            }
        }
        return false;
    }
Swift解题思路
    func hasCycle(_ head: ListNode?) -> Bool {
        
        if head == nil || head?.next == nil {
            return false
        }
        
        var slow = head
        var fast = head?.next
        while fast != nil , fast?.next != nil {
            slow = slow?.next
            fast = fast?.next?.next
            if slow?.val == fast?.val {
                return true
            }
        }
        
        return false
    }