Git-重写历史知多少(更改 commit 信息)
经常有以下这些需求:
- commit 数量比较多,需要合并一些 commit 以保证提交记录清晰
- commit 信息写错了
这里还分两种情形,一种是要重写本地仓库的 commit。第二种是已经 push commit 到远程仓库。
常见技巧:选择 push 到远程仓库要慎重,需要是你已经有充足的信心及把握提交代码(而且代码也是可信任的)。因为一旦提交到远程,别人从远程 clone 下来了,这时候你再要去重写历史,就需要别人做一些额外的操作才能保持同步。
举几个简单技巧的实例:
比如,我们现在有 3 个 commit,信息如下:

当 commit 还在本地仓库时
只想重写上一个 commit 的信息时
git commit --amend -m 'feat: add 3 after change'
执行成功


请注意,这时候 hash 值已经变化了,commit hash 值由原 ae2a029 => fcfd33c
批量修改多个 commit 的信息或更改第几个 commit 时
举例:

当前 master 分支,有 3 个 commit,按照从旧到新分别是 add 1、2、3
此时,如果你要修改 add 2 和 add 3 的 commit 信息,此时则取出要更改的最早的 commit 的父 commit
比如,执行
git rebase -i eb303949e839cbfc1e4ab531e3f33439789369d3
其中, eb303949e839cbfc1e4ab531e3f33439789369d3 是 commit: add 1 的 hash 值。

出现文本编辑页面。注意,此时的 commit 的顺序,和正常看的 commit 信息是反的,因为是 rebase 操作,所以要从最早提交的子 commit 开始 rebase,所以这也是为什么反了的原因。
介绍下常见的名词解释:
pick,使用该 commit 改动和 commit 信息
reword 使用该 commit 改动,但是可以更改 commit 信息(同 git commit --amend -m 效果),推荐使用这个更改多个 commit 信息,因为比 edit 更少操作步骤
edit, 使用该 commit 改动,但是可以更改 commit 信息(会在每次要更改 commit 前需要手动执行 git commit --amend)
squash, 使用该 commit 改动,但是 commit 信息取前一个 commit 信息,也就是将该 commit 和前一个 commit 合并
你想更改某个 commit 信息
使用 edit
比如,你想将 commit: add 2 信息更改成:add 2 after change,那么可以在文本编辑状态时将 pick 更改成 edit,以下然后输入 :wq 保存

此时会出提示

这时 head 正处于 rebasing 状态,然后就和上面用 amend 使用是一样的,输入
git commit --amend
则会出现下面文本提示:

此时,做出你想要做的 commit 修改,比如将 add 2 改成 add 2 after change 然后输入 :wq 保存,如下图

此时看 git log 可以看到:

当前 rebase 的 head 的 commit 信息已经被修改。由于还处于 rebasing 状态,所以我们需要执行:
git rebase --continue
此时提示:

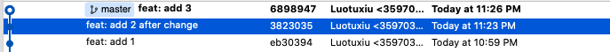
此时,查看 git 历史,已修改成功,hash 值也都相应更新了:

使用 reword(推荐)

输入 :wq 保存后会立即进入编辑第一个 reword 的 commit 信息的文本编辑状态,即编辑:feat: add 2 的地方,此时进行文本编辑:feat: add 2 => feat: add 2 after reword

编辑好 commit 信息后输入 :wq 保存,此时进入第二个 reword 的 commit 信息的文本编辑状态,此时进行文本编辑:feat: add 3 => feat: add 3 after reword

编辑好 commit 信息后输入 wq 保存,即修改成功

你想合并某几个 commit 成一个 commit
要将最新的 commit 和最新的第二个 commit 信息合并,同理使用 rebase:
git rebase -i xxx // xxx 为父commit的hash
此时,将最新的 commit 改成:squash,如下图:

按下 wq 进行保存,则进入 commit 信息编辑页面

比如,将 commit 信息写成:feat: add 2 use reword and 3 use reword

按下 wq 进行保存

由此看到,commit 已经合并,而且 commit 信息也是 feat: add 2 use reword and 3 use reword
当 commit 已经 push 到远程
如果已经 push 到远程,则可以本地重写历史后,进行一次 push,此时该分支的 head 节点已经改变,建议让协同者删除本地分支,拉去你刚刚 push 的分支,再进行后续更改
更多精彩文章可以看我的博客,如有错误,欢迎指正
本文使用 mdnice 排版