深入理解React:diff 算法

1,539 阅读7分钟

目录

  • 序言
  • React 的核心思想
  • 传统 diff 算法
  • React diff
    • 两个假设
    • 三个策略
    • diff 具体优化
      • tree diff
      • component diff
      • element diff
    • 如何进行 diff
  • 小结
  • 参考

1.序言

此篇文章所讨论的是 React 16 以前的 Diff 算法。而 React 16 启用了全新的架构 Fiber,相应的 Diff 算法也有所改变,不在这篇文章的讨论范围内。研究 React 的 Diff 算法重在理解其思想,具体实现其次。


2.React 的核心思想

React 最为核心的就是 Virtual DOM 和 Diff 算法。React 在内存中维护一颗虚拟 DOM 树,当数据发生改变时(state & props),会自动的更新虚拟 DOM,获得一个新的虚拟 DOM 树,然后通过 Diff 算法,比较新旧虚拟 DOM 树,找出最小的有变化的部分,将这个变化的部分(Patch)加入队列,最终批量的更新这些 Patch 到实际的 DOM 中。


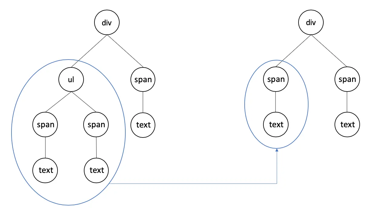
3.传统 diff 算法

将一颗 Tree 通过最小操作步数映射为另一颗 Tree,这种算法称之为 Tree Edit Distance(树编辑距离)。如图:

上图中,最小操作步数(编辑距离)为 3:

  1. 删除 ul 节点
  2. 添加 span 节点
  3. 添加 text 节点

而 Tree Edit Distance 算法从 1979 年到 2011年,经过了30多年的发展演变,其时间复杂度最终被优化到 O(n^3),其发展历程大致如下(n 是树中节点的总数):

  1. 1979年,Tai 提出了次个非幂级复杂度算法,时间复杂度为 O(m^3*n^3)
  2. 1989年,Zhang and Shasha 将 Tai 的算法进行优化,时间复杂度为 O(m^2*n^2)
  3. 1998年,Klein 将 Zhang and Shasha 的算法再次优化,时间复杂度为 O(n^2*m*log(m))
  4. 2009年,Demiane 提出最坏情况下的计算公式,将时间复杂度控制在 O(n^2*m*(1+log(m/n)))
  5. 2011年,Pawlik and N.Augsten 提出适用于所有形状的树的算法,并将时间复杂度控制在 O(n^3)

这里不会展开讨论 Tree Edit Distance 算法的具体实现和原理,有兴趣可以直接看这篇论文 A Robust Algorithm for the Tree Edit Distance


4.React diff

传统 diff 算法其时间复杂度最优解是 O(n^3),那么如果有 1000 个节点,则一次 diff 就将进行 10 亿次比较,这显然无法达到高性能的要求。而 React 通过大胆的假设,并基于假设提出相关策略,成功的将 O(n^3) 复杂度的问题转化为 O(n) 复杂度的问题。


(1)两个假设

为了优化 diff 算法,React 提出了两个假设:

  1. 两个不同类型的元素会产生出不同的树
  2. 开发者可以通过 key prop 来暗示哪些子元素在不同的渲染下能保持稳定

(2)三个策略

基于这上述两个假设,React 针对性的提出了三个策略以对 diff 算法进行优化:

  1. Web UI 中 DOM 节点跨层级的移动操作特别少,可以忽略不计
  2. 拥有相同类型的两个组件将会生成相似的树形结构,拥有不同类型的两个组件将会生成不同树形结构
  3. 对于同一层级的一组子节点,它们可以通过唯一 key 进行区分

(3)diff 具体优化

基于上述三个策略,React 分别对以下三个部分进行了 diff 算法优化

  • tree diff
  • component diff
  • element diff

tree diff

React 只对虚拟 DOM 树进行分层比较,不考虑节点的跨层级比较。如下图:

分层比较

如上图,React 通过 updateDepth 对虚拟 Dom 树进行层级控制,只会对相同颜色框内的节点进行比较,根据对比结果,进行节点的新增和删除。如此只需要遍历一次虚拟 Dom 树,就可以完成整个的对比。


如果发生了跨层级的移动操作,如下图:

跨层级的移动操作

通过分层比较可知,React 并不会复用 B 节点及其子节点,而是会直接删除 A 节点下的 B 节点,然后再在 C 节点下创建新的 B 节点及其子节点。因此,如果发生跨级操作,React 是不能复用已有节点,可能会导致 React 进行大量重新创建操作,这会影响性能。所以 React 官方推荐尽量避免跨层级的操作。


component diff

React 是基于组件构建的,对于组件间的比较所采用的策略如下:

  • 如果是同类型组件,首先使用 shouldComponentUpdate()方法判断是否需要进行比较,如果返回true,继续按照 React diff 策略比较组件的虚拟 DOM 树,否则不需要比较
  • 如果是不同类型的组件,则将该组件判断为 dirty component,从而替换整个组件下的所有子节点

不同类型的组件比较

如上图,虽然组件 C 和组件 H 结构相似,但类型不同,React 不会进行比较,会直接删除组件 C,创建组件 H。


从上述 component diff 策略可以知道:

  1. 对于不同类型的组件,默认不需要进行比较操作,直接重新创建。
  2. 对于同类型组件, 通过让开发人员自定义shouldComponentUpdate()方法来进行比较优化,减少组件不必要的比较。如果没有自定义,shouldComponentUpdate()方法默认返回true,默认每次组件发生数据(state & props)变化时,都会进行比较。

element diff

element diff 涉及三种操作:移动、创建、删除。对于同一层级的子节点,对于是否使用 key 分别进行讨论。


对于不使用 key 的情况,如下图:

不使用 key 的情况

React 对新老同一层级的子节点对比,发现新集合中的 B 不等于老集合中的 A,于是删除 A,创建 B,依此类推,直到删除 D,创建 C。这会使得相同的节点不能复用,出现频繁的删除和创建操作,从而影响性能。


对于使用 key 的情况,如下图:

使用 key 的情况

React 首先会对新集合进行遍历,通过唯一 key 来判断老集合中是否存在相同的节点,如果没有则创建,如果有的,则判断是否需要进行移动操作。并且 React 对于移动操作也采用了比较高效的算法,使用了一种顺序优化手段,这里不做详细讨论。


从上述可知,element diff 就是通过唯一 key 来进行 diff 优化,通过复用已有的节点,减少节点的删除和创建操作。


(4)如何进行 diff

上面已经说完了 React 的 diff 策略和具体优化,这里简单谈一下 React 是如何应用这些策略来进行 diff :

React 是基于组件构建的,首先可以将整个虚拟 DOM 树,抽象为 React 组件树(每一个组件又是由一颗更小的组件树构成,依次类推),将 React diff 策略应用比较这颗组件树,若其中某个组件需要进行比较,将这个组件看成一颗较小的组件树,继续用 React diff 策略比较这颗较小的组件树,依次类推,直到层次遍历完所有的需要比较的组件。


5.小结

React 通过大胆的假设,制定对应的 diff 策略,将 O(n3) 复杂度的问题转换成 O(n) 复杂度的问题

  • 通过分层对比策略,对 tree diff 进行算法优化
  • 通过相同类生成相似树形结构,不同类生成不同树形结构以及shouldComponentUpdate策略,对 component diff 进行算法优化
  • 通过设置唯一 key 策略,对 element diff 进行算法优化

综上,tree diff 和 component diff 是从顶层设计上降低了算法复杂度,而 element diff 则在在更加细节上做了进一步优化。


6.参考

React - 协调

Deep In React之浅谈 React Fiber 架构(一)

react16的diff算法相比于react15有什么改动?

React 源码剖析系列 - 不可思议的 react diff

传统diff算法的算法复杂度为什么是o(n3)?

React Diff算法