Python数据预处理:彻底理解标准化和归一化

2,963 阅读3分钟

数据预处理

数据中不同特征的量纲可能不一致,数值间的差别可能很大,不进行处理可能会影响到数据分析的结果,因此,需要对数据按照一定比例进行缩放,使之落在一个特定的区域,便于进行综合分析。

常用的方法有两种:

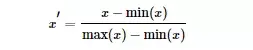
最大 - 最小规范化:对原始数据进行线性变换,将数据映射到[0,1]区间

Z-Score标准化:将原始数据映射到均值为0、标准差为1的分布上

为什么要标准化/归一化?

提升模型精度:标准化/归一化后,不同维度之间的特征在数值上有一定比较性,可以大大提高分类器的准确性。

加速模型收敛:标准化/归一化后,最优解的寻优过程明显会变得平缓,更容易正确的收敛到最优解。

如下图所示:

哪些机器学习算法需要标准化和归一化

1)需要使用梯度下降和计算距离的模型要做归一化,因为不做归一化会使收敛的路径程z字型下降,导致收敛路径太慢,而且不容易找到最优解,归一化之后加快了梯度下降求最优解的速度,并有可能提高精度。比如说线性回归、逻辑回归、adaboost、xgboost、GBDT、SVM、NeuralNetwork等。需要计算距离的模型需要做归一化,比如说KNN、KMeans等。

2)概率模型、树形结构模型不需要归一化,因为它们不关心变量的值,而是关心变量的分布和变量之间的条件概率,如决策树、随机森林。

彻底理解标准化和归一化

示例数据集包含一个自变量(已购买)和三个因变量(国家,年龄和薪水),可以看出用薪水范围比年龄宽的多,如果直接将数据用于机器学习模型(比如KNN、KMeans),模型将完全有薪水主导。

#导入数据
import numpy as np
import matplotlib.pyplot as plt
import pandas as pd
df = pd.read_csv('Data.csv')

缺失值均值填充,处理字符型变量

df['Salary'].fillna((df['Salary'].mean()), inplace= True)
df['Age'].fillna((df['Age'].mean()), inplace= True)
df['Purchased'] = df['Purchased'].apply(lambda x: 0 if x=='No' else 1)
df=pd.get_dummies(data=df, columns=['Country'])

最大 - 最小规范化

from sklearn.preprocessing import MinMaxScaler
scaler = MinMaxScaler()
scaler.fit(df)
scaled_features = scaler.transform(df)
df_MinMax = pd.DataFrame(data=scaled_features, columns=["Age", "Salary","Purchased","Country_France","Country_Germany", "Country_spain"])

Z-Score标准化

from sklearn.preprocessing import StandardScaler
sc_X = StandardScaler()
sc_X = sc_X.fit_transform(df)
sc_X = pd.DataFrame(data=sc_X, columns=["Age", "Salary","Purchased","Country_France","Country_Germany", "Country_spain"])

import seaborn as sns
import matplotlib.pyplot as plt
import statistics
plt.rcParams['font.sans-serif'] = ['Microsoft YaHei']
fig,axes=plt.subplots(2,3,figsize=(18,12)) 
sns.distplot(df['Age'], ax=axes[0, 0])
sns.distplot(df_MinMax['Age'], ax=axes[0, 1])
axes[0, 1].set_title('归一化方差:% s '% (statistics.stdev(df_MinMax['Age'])))
sns.distplot(sc_X['Age'], ax=axes[0, 2])
axes[0, 2].set_title('标准化方差:% s '% (statistics.stdev(sc_X['Age'])))
sns.distplot(df['Salary'], ax=axes[1, 0])
sns.distplot(df_MinMax['Salary'], ax=axes[1, 1])
axes[1, 1].set_title('MinMax:Salary')
axes[1, 1].set_title('归一化方差:% s '% (statistics.stdev(df_MinMax['Salary'])))
sns.distplot(sc_X['Salary'], ax=axes[1, 2])
axes[1, 2].set_title('StandardScaler:Salary')
axes[1, 2].set_title('标准化方差:% s '% (statistics.stdev(sc_X['Salary'])))

可以看出归一化比标准化方法产生的标准差小,使用归一化来缩放数据,则数据将更集中在均值附近。这是由于归一化的缩放是“拍扁”统一到区间(仅由极值决定),而标准化的缩放是更加“弹性”和“动态”的,和整体样本的分布有很大的关系。所以归一化不能很好地处理离群值,而标准化对异常值的鲁棒性强,在许多情况下,它优于归一化。

参考:towardsdatascience.com/data-transf…