Sparse Coding一些算法思想(MP/OMP/BP)

2,816 阅读2分钟

MP(Matching Pursuits)

1.基本思想: 从字典矩阵D(过完备原子库),选择1个与信号 y 最匹配的原子(也就是某列),构建一个稀疏逼近,并求出信号残差,然后继续选择与信号残差最匹配的原子,反复迭代,信号y可以由这些原子来线性和,再加上最后的残差值来表示。很显然,如果残差值在可以忽略的范围内,则信号y就是这些原子的线性组合。

2.如何选择与信号y最匹配的原子?

答:计算信号y与字典矩阵(或者残差矩阵)中每列的内积,选择绝对值最大的一个原子,它就是与信号 y 在本次迭代运算中最匹配的。

r0=y;

思考:为什么pi*<ri-1,pi>???不应该求投影向量pi*<ri-1,pi>/|Pi|^2吗?

OMP(Orthogonal Matching Pursuits)

1.基本思想: MP算法中,信号(残值)在已选择的原子进行垂直投影是非正交性的,这会使得每次迭代的结果并不少最优的而是次最优的,收敛需要很多次迭代。OMP算法的改进之处在于:在分解的每一步对所选择的全部原子进行正交化处理,这使得在精度要求相同的情况下,OMP算法的收敛速度更快。

2.如何正交化处理:

OMP与MP算法不同之处,它的残值与前面每个分量正交,这就是为什么这个算法多了一个正交的原因,MP中仅与最近选出的的那一项正交。

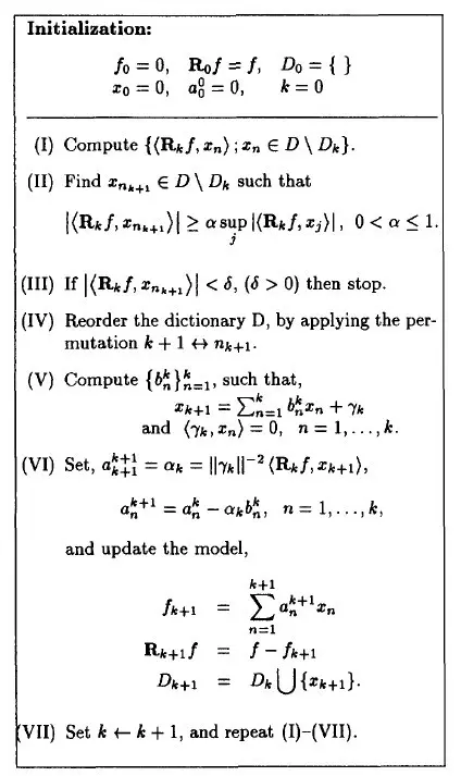
3.算法步骤:

BP(Basis Pursuits)

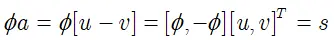
1.基本思想:将优化问题

因为a不进行非负约束,而u>0,v>0,u和v大小不限;

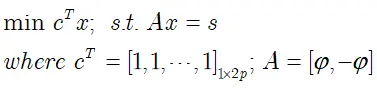
PS:目标函数绝对值去掉求解:

所以,优化问题变为:

解为:

缺点:BP这类优化算法比MP,OMP这类贪婪算法,计算复杂度高,重构时间长.

FOCUSS(focal underdetermined system solver)

实质上是一种加权最小范数最小二乘法。FOCUSS算法利用后验知识迭代加权,使从最小范数获得的解的能量逐步集中。采用逐步迭代的方法,由前一次计算求得的迭代数据产生新的加权函数,利用新的加权函数求得的迭代数据使得能量较上一步更为集中。

参考文献

MP算法和OMP算法及其思想

匹配追踪算法(MP)简介

压缩感知重构算法之基追踪(Basis Pursuit, BP)