AES算法基本原理
本文包含了用swift编写的, AES 算法的简单实现。源码地址
AES是什么
AES 是 Advanced Encryption Standard 的缩写,即 高级加密标准。在密码学中又称Rijndael加密法,是美国联邦政府采用的一种分组加密标准。
AES 是为了取代DES而诞生的加密标准。1997年1月2号,美国国家标准技术研究所宣布希望征集高级加密标准。经过五年的甄选流程,Rijndael算法最终获胜,并在2002年5月26日成为有效的标准。
Rijndael 算法与 AES 标准唯一的区别是,在 AES 的规格中,分组长度固定为 128 比特。而在 Rijndael 算法中,分组长度可以以32比特为单位在 128 比特到 256 比特的范围内选择。
根据密钥的长度不同,可分别称之为 AES-128 、 AES-192、 AES-256。他们的加密轮次也有所不同。
| AES | 密钥长度(Nk) | 向量长度(IV) | 分组大小(Nb) | 加密轮数(Nr) | 子密钥数 |
|---|---|---|---|---|---|
| AES-128 | 16 | 16 | 16 | 10 | 11 |
| AES-192 | 24 | 16 | 16 | 12 | 13 |
| AES-256 | 32 | 16 | 16 | 14 | 15 |
生成子密钥的数量比AES算法的轮数多一个,因为第一个密钥加法层进行密钥漂白时也需要子密钥。
AES 的基本原理
总体结构
Rijndael算法是基于代换-置换网络(SPN,Substitution-permutation network)的迭代算法。明文数据经过多轮次的转换后方能生成密文,每个轮次的转换操作由轮函数定义。轮函数任务就是根据密钥编排序列(即轮密码)对数据进行不同的代换及置换等操作。

图左侧为轮函数的流程,主要包含4种主要运算操作:字节代换(SubByte)、行移位(ShiftRow)、列混合(MixColumn)、轮密钥加(AddRoundKey)。图右侧为密钥编排方案,在Rijndael中称为密钥扩展算法(KeyExpansion)。
初始状态 (state)
在运算之前,我们需要把明文分组成 128 位每段进行分别处理。
对于段长 128 位的明文,需要以从上到下从左到右的次序,成一个 4x4 的矩阵(每个元素是一个字节),即初始状态(state)。
struct Matrix {
var content: [[UInt8]]
init(data: [UInt8]) {
var result = Array(repeating:Array(repeating:UInt8(0), count: 4), count: 4)
for i in 0..<4 {
for j in 0..<4 {
let index = 4 * i + j
result[i][j] = index < data.count ? data[index] : 0
}
}
self.content = result
}
}
值得注意的是,我们得到的是一个二维数组,而每一个字数组代表一列而不是一行。
为了查看效果,我们 继承 CustomStringConvertible ,方便我们将计算结果打印出来。
extension Matrix : CustomStringConvertible {
var description: String {
var mstr = ""
for i in 0..<4 {
for j in 0..<4 {
let data = self.content[j][i]
mstr += String(format: "%2x ", data)
}
mstr += "\n"
}
return mstr
}
}
子密钥生成
在进行运算之前,我们还需要对密钥进行处理,生成一组子密钥。并且进行每一轮加密的时候,会依次选用不同的子密钥。因而这一步所生成的密钥又叫做 轮密钥。
生成子密钥的算法叫做 密钥扩展算法 (KeyExpansion)。它是 Rijndael 的密钥编排实现算法,其目的是根据种子密钥(用户密钥)生成多组轮密钥。
密钥生成的流程图如下:

子密钥的生成是以列为单位进行的,一列是32Bit,四列组成子密钥共128Bit。生成子密钥的数量比AES算法的轮数多一个,因为第一个密钥加法层进行密钥漂白时也需要子密钥。密钥漂白是指在AES的输入盒输出中都使用的子密钥的XOR加法。子密钥在图中都存储在W[0]、W[1]、...、W[43]的扩展密钥数组之中。
首先我们需要将原始的密钥,生成一系列 32 比特,四个字节的 word。并且需要知道当前的密钥变换的轮次。
struct Word {
private var content: [UInt8]
init(_ content:[UInt8]) {
self.content = content
}
init(value: UInt32) {
let r0 = UInt8((value & 0xff000000) >> (3 * 8))
let r1 = UInt8((value & 0xff0000) >> (2 * 8))
let r2 = UInt8((value & 0xff00) >> (1 * 8))
let r3 = UInt8(value & 0xff)
self.init([r0,r1,r2,r3])
}
var value : UInt32 {
var res : UInt32 = 0
for i in 0..<4 {
res += UInt32(self.content[i]) << ((4 - i - 1) * 8)
}
return res
}
}
函数 G() 首先将4个输入字节进行翻转,并执行一个按字节的S盒代换,最后用第一个字节与轮系数Rcon进行异或运算。G()函数存在的目的有两个,一是增加密钥编排中的非线性;二是消除AES中的对称性。这两种属性都是抵抗某些分组密码攻击必要的。
轮系数 Rcon 是一个一维数组,一个元素1个字节。长度与子密钥个数相同,i 为进行密钥变换的轮次,也就是子密钥的下标。
// 轮系数
private let kRcon : [UInt8] = [ 0x00, 0x01, 0x02, 0x04, 0x08, 0x10, 0x20, 0x40, 0x80, 0x1B, 0x36 ]
g 函数实现如下:
func g () {
var buf = [content[2], content[3], content[4], content[1]]
buf = buf.map({ kSbox[Int($0)] })
buf[0] ^= kRcon[self.round]
}
那么,生成论密钥实现如下:
static func keyExpansion(_ key: [UInt8]) -> [Matrix] {
var roundKeys = [Matrix](repeating: Matrix.zero, count: Nr + 1)
// The first round key is the key itself.
roundKeys[0] = Matrix(data: key)
for round in 1...Nr {
var words = roundKeys[round-1].words
words[0] = words[3].g(round: round) ^ words[0]
words[1] = words[0] ^ words[1]
words[2] = words[1] ^ words[2]
words[3] = words[2] ^ words[3]
roundKeys[round] = Matrix(words: words)
}
return roundKeys
}
轮函数
轮密钥加/密钥加法层
AddRoundKey
在密钥加法层中有两个输入的参数,分别是明文和子密钥k[0],而且这两个输入都是128位的。k[0]实际上就等同于密钥k,具体原因在密钥生成中进行介绍。我们前面在介绍扩展域加减法中提到过,在扩展域中加减法操作和异或运算等价,所以这里的处理也就异常的简单了,只需要将两个输入的数据进行按字节异或操作就会得到运算的结果。
密钥加是将 轮密钥 简单地与状态 state 进行逐比异或。
private func addRoundKey (_ state:State,round: Int) -> State {
return state ^ self.roundKeys[round]
}
其中,self.roundKeys 为之前生成的轮密钥。
两个矩阵的异或运算,即是两个矩阵中元素依次进行异或变换:
func ^ (rh: AESImpl.State,lh: AESImpl.State) -> AESImpl.State {
return rh.xor(lh)
}
func xor (_ other: State) -> State {
var result = [UInt8]()
for i in 0..<16 {
result.append( self.data[i] ^ other.data[i] )
}
return State(result)
}
值得注意的是,AddRoundKey 没有逆运算,因为进行两次异或运算之后得到的是其本身。
字节代换
SubBytes
首先需要逐个字节将地对 16 字节的输入数据进行字节替换处理。也就是根据每个字节的值(16进制)为索引,从一个 16 * 16 的替换表 (S-Box) 中查找对应的值进行替换处理。
AES的 S-Box 如下:
| 行/列 | 0 | 1 | 2 | 3 | 4 | 5 | 6 | 7 | 8 | 9 | A | B | C | D | E | F |
|---|---|---|---|---|---|---|---|---|---|---|---|---|---|---|---|---|
| 0 | 0x63 | 0x7c | 0x77 | 0x7b | 0xf2 | 0x6b | 0x6f | 0xc5 | 0x30 | 0x01 | 0x67 | 0x2b | 0xfe | 0xd7 | 0xab | 0x76 |
| 1 | 0xca | 0x82 | 0xc9 | 0x7d | 0xfa | 0x59 | 0x47 | 0xf0 | 0xad | 0xd4 | 0xa2 | 0xaf | 0x9c | 0xa4 | 0x72 | 0xc0 |
| 2 | 0xb7 | 0xfd | 0x93 | 0x26 | 0x36 | 0x3f | 0xf7 | 0xcc | 0x34 | 0xa5 | 0xe5 | 0xf1 | 0x71 | 0xd8 | 0x31 | 0x15 |
| 3 | 0x04 | 0xc7 | 0x23 | 0xc3 | 0x18 | 0x96 | 0x05 | 0x9a | 0x07 | 0x12 | 0x80 | 0xe2 | 0xeb | 0x27 | 0xb2 | 0x75 |
| 4 | 0x09 | 0x83 | 0x2c | 0x1a | 0x1b | 0x6e | 0x5a | 0xa0 | 0x52 | 0x3b | 0xd6 | 0xb3 | 0x29 | 0xe3 | 0x2f | 0x84 |
| 5 | 0x53 | 0xd1 | 0x00 | 0xed | 0x20 | 0xfc | 0xb1 | 0x5b | 0x6a | 0xcb | 0xbe | 0x39 | 0x4a | 0x4c | 0x58 | 0xcf |
| 6 | 0xd0 | 0xef | 0xaa | 0xfb | 0x43 | 0x4d | 0x33 | 0x85 | 0x45 | 0xf9 | 0x02 | 0x7f | 0x50 | 0x3c | 0x9f | 0xa8 |
| 7 | 0x51 | 0xa3 | 0x40 | 0x8f | 0x92 | 0x9d | 0x38 | 0xf5 | 0xbc | 0xb6 | 0xda | 0x21 | 0x10 | 0xff | 0xf3 | 0xd2 |
| 8 | 0xcd | 0x0c | 0x13 | 0xec | 0x5f | 0x97 | 0x44 | 0x17 | 0xc4 | 0xa7 | 0x7e | 0x3d | 0x64 | 0x5d | 0x19 | 0x73 |
| 9 | 0x60 | 0x81 | 0x4f | 0xdc | 0x22 | 0x2a | 0x90 | 0x88 | 0x46 | 0xee | 0xb8 | 0x14 | 0xde | 0x5e | 0x0b | 0xdb |
| A | 0xe0 | 0x32 | 0x3a | 0x0a | 0x49 | 0x06 | 0x24 | 0x5c | 0xc2 | 0xd3 | 0xac | 0x62 | 0x91 | 0x95 | 0xe4 | 0x79 |
| B | 0xe7 | 0xc8 | 0x37 | 0x6d | 0x8d | 0xd5 | 0x4e | 0xa9 | 0x6c | 0x56 | 0xf4 | 0xea | 0x65 | 0x7a | 0xae | 0x08 |
| C | 0xba | 0x78 | 0x25 | 0x2e | 0x1c | 0xa6 | 0xb4 | 0xc6 | 0xe8 | 0xdd | 0x74 | 0x1f | 0x4b | 0xbd | 0x8b | 0x8a |
| D | 0x70 | 0x3e | 0xb5 | 0x66 | 0x48 | 0x03 | 0xf6 | 0x0e | 0x61 | 0x35 | 0x57 | 0xb9 | 0x86 | 0xc1 | 0x1d | 0x9e |
| E | 0xe1 | 0xf8 | 0x98 | 0x11 | 0x69 | 0xd9 | 0x8e | 0x94 | 0x9b | 0x1e | 0x87 | 0xe9 | 0xce | 0x55 | 0x28 | 0xdf |
| F | 0x8c | 0xa1 | 0x89 | 0x0d | 0xbf | 0xe6 | 0x42 | 0x68 | 0x41 | 0x99 | 0x2d | 0x0f | 0xb0 | 0x54 | 0xbb | 0x16 |
实现起来很简单
func subBytes(datas: [UInt8]) -> [UInt8]
{
var result = [UInt8]()
for (index,data) in datas.enumerated() {
result[index] = kSbox[Int(data)]
}
return result
}
InvSubBytes
逆字节代换也就是查逆S盒来变换,逆S盒如下:
| 行/列 | 0 | 1 | 2 | 3 | 4 | 5 | 6 | 7 | 8 | 9 | A | B | C | D | E | F |
|---|---|---|---|---|---|---|---|---|---|---|---|---|---|---|---|---|
| 0 | 0x52 | 0x09 | 0x6a | 0xd5 | 0x30 | 0x36 | 0xa5 | 0x38 | 0xbf | 0x40 | 0xa3 | 0x9e | 0x81 | 0xf3 | 0xd7 | 0xfb |
| 1 | 0x7c | 0xe3 | 0x39 | 0x82 | 0x9b | 0x2f | 0xff | 0x87 | 0x34 | 0x8e | 0x43 | 0x44 | 0xc4 | 0xde | 0xe9 | 0xcb |
| 2 | 0x54 | 0x7b | 0x94 | 0x32 | 0xa6 | 0xc2 | 0x23 | 0x3d | 0xee | 0x4c | 0x95 | 0x0b | 0x42 | 0xfa | 0xc3 | 0x4e |
| 3 | 0x08 | 0x2e | 0xa1 | 0x66 | 0x28 | 0xd9 | 0x24 | 0xb2 | 0x76 | 0x5b | 0xa2 | 0x49 | 0x6d | 0x8b | 0xd1 | 0x25 |
| 4 | 0x72 | 0xf8 | 0xf6 | 0x64 | 0x86 | 0x68 | 0x98 | 0x16 | 0xd4 | 0xa4 | 0x5c | 0xcc | 0x5d | 0x65 | 0xb6 | 0x92 |
| 5 | 0x6c | 0x70 | 0x48 | 0x50 | 0xfd | 0xed | 0xb9 | 0xda | 0x5e | 0x15 | 0x46 | 0x57 | 0xa7 | 0x8d | 0x9d | 0x84 |
| 6 | 0x90 | 0xd8 | 0xab | 0x00 | 0x8c | 0xbc | 0xd3 | 0x0a | 0xf7 | 0xe4 | 0x58 | 0x05 | 0xb8 | 0xb3 | 0x45 | 0x06 |
| 7 | 0xd0 | 0x2c | 0x1e | 0x8f | 0xca | 0x3f | 0x0f | 0x02 | 0xc1 | 0xaf | 0xbd | 0x03 | 0x01 | 0x13 | 0x8a | 0x6b |
| 8 | 0x3a | 0x91 | 0x11 | 0x41 | 0x4f | 0x67 | 0xdc | 0xea | 0x97 | 0xf2 | 0xcf | 0xce | 0xf0 | 0xb4 | 0xe6 | 0x73 |
| 9 | 0x96 | 0xac | 0x74 | 0x22 | 0xe7 | 0xad | 0x35 | 0x85 | 0xe2 | 0xf9 | 0x37 | 0xe8 | 0x1c | 0x75 | 0xdf | 0x6e |
| A | 0x47 | 0xf1 | 0x1a | 0x71 | 0x1d | 0x29 | 0xc5 | 0x89 | 0x6f | 0xb7 | 0x62 | 0x0e | 0xaa | 0x18 | 0xbe | 0x1b |
| B | 0xfc | 0x56 | 0x3e | 0x4b | 0xc6 | 0xd2 | 0x79 | 0x20 | 0x9a | 0xdb | 0xc0 | 0xfe | 0x78 | 0xcd | 0x5a | 0xf4 |
| C | 0x1f | 0xdd | 0xa8 | 0x33 | 0x88 | 0x07 | 0xc7 | 0x31 | 0xb1 | 0x12 | 0x10 | 0x59 | 0x27 | 0x80 | 0xec | 0x5f |
| D | 0x60 | 0x51 | 0x7f | 0xa9 | 0x19 | 0xb5 | 0x4a | 0x0d | 0x2d | 0xe5 | 0x7a | 0x9f | 0x93 | 0xc9 | 0x9c | 0xef |
| E | 0xa0 | 0xe0 | 0x3b | 0x4d | 0xae | 0x2a | 0xf5 | 0xb0 | 0xc8 | 0xeb | 0xbb | 0x3c | 0x83 | 0x53 | 0x99 | 0x61 |
| F | 0x17 | 0x2b | 0x04 | 0x7e | 0xba | 0x77 | 0xd6 | 0x26 | 0xe1 | 0x69 | 0x14 | 0x63 | 0x55 | 0x21 | 0x0c | 0x7d |
实现起来也很简单
func invSubBytes(datas: [UInt8]) -> [UInt8]
{
var result = [UInt8]()
for (index,data) in datas.enumerated() {
result[index] = kInvSBox[Int(data)]
}
return result
}
行位移
ShiftRows
行位移操作最为简单,只需将矩阵的字节进行位置上的置换。ShiftRows 子层属于 AES 手动的扩散层,目的是将单个位上的变换扩散到影响整个状态当中,从而达到雪崩效应。
在加密时,保持矩阵的第一行不变,第二行向左移动8Bit(一个字节)、第三行向左移动2个字节、第四行向左移动3个字节。

static func shiftRows (_ state: Matrix) {
var temp : UInt8 = 0
// Rotate first row 1 columns to left
temp = state[0][1]
state[0][1] = state[1][1]
state[1][1] = state[2][1]
state[2][1] = state[3][1]
state[3][1] = temp
// Rotate second row 2 columns to left
let temp0 = state[0][2]
let temp1 = state[1][2]
state[0][2] = state[2][2]
state[1][2] = state[3][2]
state[2][2] = temp0
state[3][2] = temp1
// Rotate third row 3 columns to left
temp = state[0][3]
state[0][3] = state[3][3]
state[3][3] = state[2][3]
state[2][3] = state[1][3]
state[1][3] = temp
}
InvShiftRows
解密时只需要按照相反的方向移动字节就可以了
static func shiftRows (_ state: Matrix) {
var temp : UInt8 = 0
// Rotate first row 1 columns to right
temp = state[0][1]
state[0][1] = state[3][1]
state[3][1] = state[2][1]
state[2][1] = state[1][1]
state[1][1] = temp
// Rotate second row 2 columns to right
let temp0 = state[0][2]
let temp1 = state[1][2]
state[0][2] = state[2][2]
state[1][2] = state[3][2]
state[2][2] = temp0
state[3][2] = temp1
// Rotate third row 3 columns to right
temp = state[0][3]
state[0][3] = state[1][3]
state[1][3] = state[2][3]
state[2][3] = state[3][3]
state[3][3] = temp
}
#####列混淆
列混淆子层是AES算法中最为复杂的部分,属于扩散层,列混淆操作是AES算法中主要的扩散元素,它混淆了输入矩阵的每一列,使输入的每个字节都会影响到4个输出字节。行位移子层和列混淆子层的组合使得经过三轮处理以后,矩阵的每个字节都依赖于16个明文字节成可能。其中包含了矩阵乘法、伽罗瓦域内加法和乘法的相关知识。
MixColumns
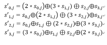
列混合变换是通过矩阵相乘来实现的,经行移位后的状态矩阵与固定的矩阵相乘,得到混淆后的状态矩阵,如下图的公式所示:

状态矩阵中的第j列(0 ≤j≤3)的列混合可以表示为下图所示:

其中,矩阵元素的乘法和加法都是定义在基于GF(2^8)上的二元运算,并不是通常意义上的乘法和加法。这里涉及到一些信息安全上的数学知识,不过不懂这些知识也行。其实这种二元运算的加法等价于两个字节的异或,乘法则复杂一点。对于一个8位的二进制数来说,使用域上的乘法乘以(00000010)等价于左移1位(低位补0)后,再根据情况同(00011011)进行异或运算,设S1 = (a7 a6 a5 a4 a3 a2 a1 a0),刚0x02 * S1如下图所示:

也就是说,如果a7为1,则进行异或运算,否则不进行。 类似地,乘以(00000100)可以拆分成两次乘以(00000010)的运算:

乘以(0000 0011)可以拆分成先分别乘以(0000 0001)和(0000 0010),再将两个乘积异或:

具体实现为:
static func mixColumns (_ state: Matrix) {
var t : UInt8 = 0
var Temp : UInt8 = 0
var Tm : UInt8 = 0
for i in 0..<4 {
t = state[i][0]
Temp = state[i][0] ^ state[i][1] ^ state[i][2] ^ state[i][3]
Tm = state[i][0] ^ state[i][1]
Tm = xtime(Tm)
state[i][0] ^= Tm ^ Temp
Tm = state[i][1] ^ state[i][2]
Tm = xtime(Tm)
state[i][1] ^= Tm ^ Temp
Tm = state[i][2] ^ state[i][3]
Tm = xtime(Tm)
state[i][2] ^= Tm ^ Temp
Tm = state[i][3] ^ t
Tm = xtime(Tm)
state[i][3] ^= Tm ^ Temp
}
}
其中 xtime 函数为
static func xtime (_ x: UInt8) -> UInt8 {
return ((x<<1) ^ (((x>>7) & 1) * 0x1b));
}
InvMixColumns
逆向列混合变换可由下图的矩阵乘法定义:

可以验证,逆变换矩阵同正变换矩阵的乘积恰好为单位矩阵。
具体实现为:
static func invMixColumns (_ state: Matrix) {
for i in 0..<4 {
let a = state[i][0]
let b = state[i][1]
let c = state[i][2]
let d = state[i][3]
state[i][0] = multiply(a, 0x0e) ^ multiply(b, 0x0b) ^ multiply(c, 0x0d) ^ multiply(d, 0x09)
state[i][1] = multiply(a, 0x09) ^ multiply(b, 0x0e) ^ multiply(c, 0x0b) ^ multiply(d, 0x0d)
state[i][2] = multiply(a, 0x0d) ^ multiply(b, 0x09) ^ multiply(c, 0x0e) ^ multiply(d, 0x0b)
state[i][3] = multiply(a, 0x0b) ^ multiply(b, 0x0d) ^ multiply(c, 0x09) ^ multiply(d, 0x0e)
}
}
其中,multiply 乘法运算为:
static func multiply (_ x: UInt8,_ y: UInt8) -> UInt8 {
var result = (y & 1) * x
result ^= (y>>1 & 1) * xtime(x)
result ^= (y>>2 & 1) * xtime(xtime(x))
result ^= (y>>3 & 1) * xtime(xtime(xtime(x)))
result ^= (y>>4 & 1) * xtime(xtime(xtime(xtime(x))))
return result
}