目录
- 财富演进的历史
- 激励机制的重要性
- 区块链带来了哪些创新
- 企业创新方向
- 区块链技术研究方向
导读
本文标题是明线,是对每一节内容的总结,隐藏的逻辑线如下:
- 当下社会最关注财富增长,阐述当前时代的财富是什么,未来新的财富增长点是什么
- 阐述激励机制如何形成现在的财富观和比特币的激励机制,暗示区块链可以建立更好的激励机制
- 介绍区块链的技术创新,通过例子说明区块链可以帮助建立新的激励机制,创造了新的财富
- 企业如何结合自己的业务,使用区块链赶上新的财富创造
- 区块链当下的不足 本文适合区块链行业的爱好者和创业者阅读。本文的观点,并没有严格的数据分析,数学模型和肯定的结果,仅仅引发大家的思考,希望能够抛砖引玉。
财富演进的历史
我们先回到过去。
原始社会人们需要食物,使用基本的工具去打猎采集,很难想象那时候的财富是什么,可能是一块美丽的贝壳,一袋野果,或者是上山打猎获取的食物,人们基本没有财富的积累。这时候的财富以满足基本生存为主。
到了奴隶社会,封建社会,奴隶和土地成为了财富的象征,这时候谁占有的这类资源多,谁就有财富。这类财富可以传承,可以积累,但以物质为基础,土地的产出是固定的,可以耕种的土地也是有限的,能创造的财富也是受到当下空间和时间的限制,增长是缓慢的。这时候的财富已经能激励起人的占有资源的欲望,因为土地是有所有权的,也是可以交易的。获取财富的人可以更好的生存繁衍,如果你的家族是封建领主,或者大地主,很有可能你现在还能看到本文。
到了工业时代,机器可以生产大量产品,一方面不断增加的生产力提供更多更好的产品满足人类需求,一方面人类的活动范围慢慢过大,地球成为一个整体,在几百年时间内形成一个全球的市场。这时候的人类文化政治科技都有了长足的发展,产生了银行,公司,现代国家等概念,民族主义,意识形态,组成了近现代社会,这个时代的国家搞基建,企业进行生产,投资,融资,大部分人成为上班族,少部分人积累的大量财富,这些财富不是土地,而是公司股份。对公司的所有权和分润权利的享有,成为这个时代财富的象征。举个例子,最早的股份制公司是荷兰东印度公司,如果一开始你购买了该公司的股票,至少可以保证全家在两百年内都是富有的。
由于人类在空间上已经占领整个地球,生产活动已经渗入到方方面面,人类人口的增长也进入到平稳期,这时候光从空间上已经难以进一步扩大财富的积累,此时股票,债券等金融产品进一步发挥作用,变现未来成为政府和企业都看中的事情,在这个方面法律法规和社会规范做得好的国家,脱颖而出了。所以当下可以有能力进行金融投资的国家,无疑是最强大的。比如中国可以开展一带一路,成立亚洲投资银行,这块的资金就有国家发行的债券;一个公司上市,可能它每年的利润很少,但是因为有创新,有新的增长点,就可以融资到很多的钱,进行进一步的研发和生产。变现未来的能力,成为了公司和国家,甚至个人财富的象征。
当然,中间我们不能忘记信息技术带来的变化。信息技术产生了信息爆炸。人类的知识必须有某种物理介质保存下来,传统的纸质保存在历史上有决定性作用,但纸质书籍也有巨大缺陷,亚历山大图书馆曾是人类文明世界的太阳,最终却毁于战火,其图书也很难传播到古代中国,同时中国的图书也很难传播到当时的西方世界。现在的信息技术,可以存贮所有人类知识,同时也能以很快的速度传播开来。
既然信息技术可以产生互联网,导致信息大爆炸,那么它就有潜力导致其他的大爆炸,目前在中国发生的消费大爆炸就是这种奇观,每年的双十一,巨量的产品在此时被购买,这是一种特殊的能力。消费的增长是经济增长的动力,工业化大生产总能产生更多的产品,如果有足够的消费,就能保证经济总量的一直上升,衡量一个国家的财富GDP就是这么计算的。
在未来,变现未来的能力将仍是新时代财富的象征,但变现未来必须扩大范围了,新的技术将把变现未来的能力给拥有良好信用和愿意承担风险的人,结合区块链技术,我们可能迎来一个全新的数字化时代,就是信用大爆炸的时代。
有信用就可以有更好的金融服务,如果我们能更好的衡量社会的信用和风险,就能更加准确的使用金融工具,促进各行各业的发展。本文余下的内容将帮助读者理解信用爆炸和产生信用爆炸的技术基础设施之一,区块链技术。
总结一下财富演进的观点:

激励机制的重要性
为什么要讨论财富
为什么要讨论财富,背后是什么原因使我们对此孜孜不倦的追寻答案。
我们每个人对财富都有直观的感受,比如你是否有房有车,有多少现金,有多少股票。对于国家和企业来说,你有多少黄金储备,有多少税收,有多少专利和领先的科技,有多少军队都是财富和实力的象征。
在前面我们也讨论了财富的演进,得出占有资源,进行大生产,持有股份分润,变现未来,信息大爆炸(互联网广告),消费大爆炸是我们当下创造财富的手段,同时预言未来的信用大爆炸会产生更加繁荣的经济和财富。
那么人类为什么要拥有财富呢,是为了追求幸福吗?曾经我问过一个非洲同事,他的家在乞力马扎罗山下。他感觉他家乡的人比中国人快乐,他们没有很多钱,也没有很多高楼大厦,但是可以在街上踢踢球,也没有感受到太多的压力。这样的故事在一些佛教国家也会出现,从幸福指数上来看,他们是摇摇领先的。
这个问题困扰了我很久,因为在我看来,物质和幸福在一定程度上相关的,我一直觉得物质丰富了人就会更幸福,不过最近,觉得不能简单的看待这个现象,人类如果在精神世界觉得满足,他才会幸福。比如一个追求财富的人,得到了财富,他会在精神上满足,这样他会幸福;如果一个不爱财的人,获得财富,也会高兴,但不一定会幸福,因为可能他在意的是怎么研究出黑洞的理论。所以幸福是一个人的感受,是精神世界的,和我们发展经济不是一回事。
既然发展经济,追求财富,不是为了幸福,那是为什么呢?我的感觉是历史发展过程中形成了一种文化导致的。在文明的发展过程中,幸存的部落有比较强的竞争意识,部落时刻会被攻击,也可能因为自然灾害导致损失,所以必须竞争。久而久之,我们族群里面的贤人会总结历史发展规律,形成自己的宗教和文化,教育人们保持这种竞争感。比如说,一个小朋友从早到晚写作业是很辛苦的,但是他周围的人会告诉他,这个小朋友很努力,很有潜力,这样虽然很辛苦,但获得了另一种补偿,这种精神的补偿,会导致一个有相同文化的人群有相同的行为取向。
那么发展到现代,能形成强大国家的族群,在历史上都是具有丰富文化积累的,而这些文化,必然在某一方面宣传,人必须应该作什么才有意义。像斯巴达的勇士和欧洲的骑士,他们可能平时不愿意种地获得食物,但是却愿意在战场上牺牲自己,并认为这是一种荣誉,可见,文化竟然能强大到改变人类个体生存的本能。
当下整个世界的文化,无疑是追求财富的,少数佛教国家可能会不在意这些,但在世界舞台上,我们基本上听不到他们的声音。你我在内心深处,都会想,如果要是有更多的财富,就可以过得更好。所以当下的世界,我们想做一件事情,就必须搞清楚他对创造财富有没有价值。
激励机制
激励机制是一种让人们可以付出自己的时间和劳动,用来做某些事情的神奇设计,我们所有的活动都摆脱不了激励机制。前面的讨论,让我们认识到追求财富是文化的一部分,他就是一种特别的激励机制。
可以再看看激励机制一些更加明显和简单的例子,比如人类的繁衍活动,很耗费体力,为什么要浪费自己的精力去做这些事情呢,如果不是有身心的愉悦,我想人类很快会灭绝。再比如现在流行的996加班制度,马云说这是福报,一方面企业家觉得这样能创造更多的财富,另一方面加班的员工也认为自己用时间可以换取更多的钱,更重要的是获得加速成长。显然,我们当下的文化里面,努力工作,获得成长,追求财富是相当重要的,996加班制度也是一种激励机制。
比特币的激励机制
最后我们探讨一下,比特币的激励机制,虽然买卖数字货币是非法的,不过我们仍然可以研究它产生,发展的历史。如果你仔细的研究,会发现确实很神奇。
比特币的产生和发展,必须满足以下条件:
- 比特币首先需要有人编码,满足货币或者黄金的特性;
- 另外需要有人运行;
- 然后还要有人使用。 我们不禁要问,是哪些人吃的太饱会干着些事情呢。
首先最难的是创造,对于创造者,中本聪,我们无法得知他是谁,但是在比特币诞生之前,就有很多人在研究数字货币,这些先驱者有Wei Dai, Nick Szabo,更不要提一些计算机先驱了,他们研究这些的动力在哪呢,很明显,这种项目是没有人会投资的,他们是一群密码朋克,是一群精神上很特别的人,他们愿意干没有回报的事情,原因只是探索和解决世界的问题,所以要感谢我们的文化使这些少数派仍然能存在,也要感谢社会的发展使越来越的人投入到探索和创新中去,这类人的激励来自人类的探索精神本身(也许探索精神也是自然选择的结果)。

第二谁会运行比特币程序呢,早期肯定还是那些研究者,研究者会写一些博客,也有自己的社区,渐渐的就会有一些跟随者加入,目前比特币是由世界各地的程序员在维护着,但是这样仍然不足以让比特币发展到世界规模,我们不禁好奇,它是怎么发展起来的。
第三谁谁会使用比特币呢,我们有现金,有信用卡,有支付宝,真的找不到用比特币的场景,第一个著名的场景是2010年5月18日 Laszlo Hanyecz 用10000个比特币买了2个披萨,他是一位比特币的开发者,而接受这笔交易提供披萨的人也是一位比特币开发者。
我们发现,早期来看比特币只在一些爱好者中运转,这并不足以改变什么。比特币到底有什么特殊的地方呢,我们不妨回到人类久远的过去,看看黄金是怎么成为货币的。
人类在交易过程中,最原始的是以物换物,后来发现以物换物的效率非常低,我需要你的东西,你不需要我的东西,交换不下去了。那么人类就琢磨,需要有信用资源促进交易,那就是自然资源,比如黄金。
黄金某种程度上说,在古代历史上是最没有用的金属,比不上铁和铜。但为什么黄金最后成了经济很重要的资源甚至财富呢?黄金其实作为金属,有其特殊性,第一物理化学性质稳定,不会随便腐烂,第二它容易切割,第三是开采需要一定的工作量,第四天然稀缺,第五分布在全球相对分散,如果只有一个国家有,大家也不愿意认这个东西。
可以看到比特币和黄金的特点是非常像的,比特币需要挖矿,总量有限,挖矿的地点不限,只要有电有矿机就行,所以全球相对分散。比特币由于只是计算机里面的数字,数据精度为小数点后8位,非常方便分割。比特币做好了准备,如果你愿意,确实可以当做货币来用,技术本身就放在那边。
进一步阐述,在我们现实世界中,总是有一些交易是很难用现有支付方法来完成的,或者完成的效率不高,比如跨国汇款的时候,手续费很高。另外,一些交易也是非法的或者黑暗的,需要有匿名的交易方法,比特币在创造之初没人监管,也满足了这类需求。
一旦有人使用了比特币当做货币使用,那么比特币就有被持有的需求,进而就有人会因为经济利益运行比特币网络挖矿,这时候,就算最早的密码朋克们都老去了,比特币网络也不会消失。
至此我们明白了比特币的产生和发展,我们注意到,矿工挖矿,获得比特币的奖励,这个激励机制是区块链系统特别的设计,这一点,在技术上是分布式共识算法的一种创新,在机制上则是区别于现有系统的激励机制创新,比特币系统仿佛有了生命,他可以给予为他服务的矿工奖励。
现在来总结一下思路,我们了解到,我们的行为受到文化的影响,文化是一种历史积累下来的激励机制,它鼓励某些行为,拒绝某些行为,当你践行某种文化的时候,你会获得认同感,从而觉得自己是有价值的。然后我们讨论了比特币的发展,它的产生正是密码朋克文化的激励;然后说明比特币的特殊性质和独特的设计,它本身是对世界的补充,具有技术创新性,并且在产品设计上满足了一些现实方案不能满足的支付需求;最重要的它还明白人类历史发展至关重要的文化,追求财富,所以它给予矿工比特币奖励。

当下世界的文化是鼓励追求财富,而未来时代的财富是建立信用,所以我们要探讨区块链是否能形成一种新的激励机制,建立更加可信的社会。
区块链带来了哪些创新
区块链技术最早的实现来自比特币,该系统的创造者觉得当前世界的货币体系不够好,所以发明比特币,尝试去解决这个问题。我们必须看到,该技术确实是前所未有的,给世界带来了创新。

为了探索区块链是否能帮助创造新的财富,我们需要进一步挖掘比特币和以太坊技术到底带来了哪些创新。我们来列举一下:
| 特点 | 意义 |
|---|---|
| 发行同质化代币和非同质化代币 | 代币除了有货币属性,也可以表示,人,财,事,物等方方面面 |
| 挖矿 | 鼓励给网络做贡献,该思路可以进一步扩展,比如设计激励模型,给参与你设计的DAPP用户和维护者以奖励 |
| 发行代币的规则由代码控制 | 不会导致通胀,滥发,导致大部分人财富被稀释 |
| 确权 | 由私钥控制数据,可以创造自主数字身份,也可以映射人,财,事,物等方方面面,用数字身份管理数字资产,建立数据所有权 |
| 智能合约 | 可以扩展成复杂的代码,不限于转账操作。可以支持复杂的商业逻辑 |
| 分布式账本 | 难以串改,一旦违法造假,成本极大,可以建立可信网络 |
| 实时落账 | 可以减少会计成本 |
| 防止攻击 | 使用比一般中心化系统更加可靠的共识算法,防止拜占庭攻击,可以建立全球分布式非中心化控制的网络 |
| 隐私保护 | 某些场景可以隔离真实人的身份,只建立数字世界的身份 |
通过这些技术,我们发现,区块链技术不仅仅可以升级电子货币,同时也给数字化世界打开了一扇新的大门。下面我们会主要分析这些新技术带来的变革。
数字身份
市场经济的规律告诉我们,要想促进经济繁荣,必须先确定身份,有了身份以后,才会有私有制,财产属于私人以后,才能激发能动性,这是一种激励机制。身份在现实生活中就是法律赋予你发展和生存的权利,也就是公民权利。数字身份就是数据的主人在数字世界的公民权利。
如果没有身份呢,想想古代的奴隶,朱元璋就一开始没有名字,叫朱重八,不管他如何努力的创造财富,都和他没有办点关系,因为他和他所创造的一切都是属于地主的。站在朱重八的角度,他的选择不多,也很难对当时的社会做什么贡献。
现在的互联网里面的数据,就是无数个朱重八,举个例子,你在某个游戏里面花了无数大学时光打造的游戏角色,不属于你,而是属于游戏账号的,游戏账号其实最终权利掌握在管理员手里,可以想象无数个魔兽世界的角色都消失在了数字黑洞中。有人说我其实有办法卖掉游戏账号,确实现在有这个网站,但是你只想卖掉一个游戏里面的道具呢?或者你想把腾讯游戏的皮肤卖到网易游戏呢?有了数字身份,你的道具,账号的控制权都属于你,长期来看,这种游戏对用户的吸引力是更大的,所以不管对游戏玩家,职业玩家,氪金玩家,还是游戏运营商,开发商来说,拥有身份的数据就像从奴隶社会到更先进的社会,对大家都是有好处的。
我们换个角度从隐私保护的角度举例,比如曾经出现数据泄露的XX酒店,当你的开房记录被曝光后,你或多或少会有些难受,那么为什么我们非要用身份证去登记呢,虽然我们用的是现代互联网技术去预约的酒店,但是我们却没有办法向酒店隐藏我们的身份,实际上,只需要出示身份证给公安系统,酒店并不在意我们是谁,酒店只是希望客人越多越好。如果我们有多维和多层的数字身份,就可以很好的解决这个问题,比如我们去酒店出示我们的酒店会员数字身份,酒店信息化系统把该信息发送给公安系统,公安系统会请求我出示身份证,我会向公安系统出示关键信息,此时只要证明我不是犯罪分子即可,公安系统也不应该知道我入住了哪家酒店,何时何地。可见,数字身份可以进行细粒度的管理,让社会更安全,也能考虑到我们的隐私保护。要注意的是,这个数字身份不应该被保存在任何一个中心化系统中,而应该在用户的手上,就像我们的身份证一样。
数据隐私是一个很好的话题,也是互联网身份难以解决的一个问题(无法在技术上建立多方信任的关系)。我们把数据例子在延伸一下,尝试说明数字身份给企业和个人带来的更多可能性。
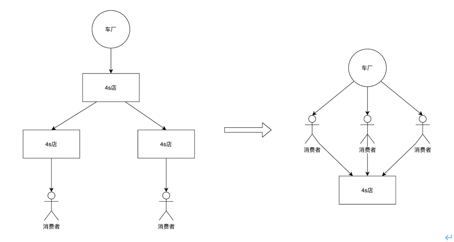
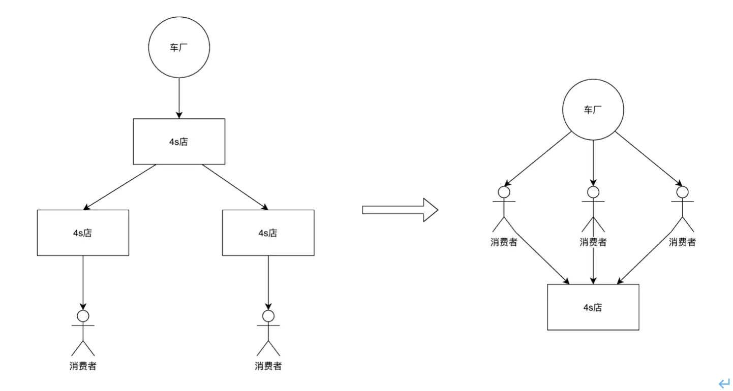
我们尝试解读一下汽车金融的案例,在汽车金融场景中:银行给4s店贷款,4s店进货;银行给用户贷款,用户用贷款买车;4s店收到用户的钱,还给银行;用户买了车,慢慢还车贷给银行,银行收利息。
我们发现,这笔交易能够成功的关键在于4s店和用户都有信用,可以从银行获得金融服务。站在4s店的角度,没有贷款我就没法做这个生意;用户的角度,没有贷款可能暂时就不买车了;这说明银行是非常重要的,但是在银行的角度,出去两笔贷款,收钱周期却很长,当然这本来就是贷款业务的本质,承担风险收取利息,但我们能优化这个流程吗?
数字身份和数字信用也许可以解决这个问题,我们设想4s店,车厂和银行组成了一个联盟,整个消费行为是基于信用产生的,银行在这里的作用是审计信用,是个信用银行,4s店和消费者不需要花钱买车,而是花信用买车,他的信用体现在数字ID下面的积分上面,比如蚂蚁积分,那么未来,他可以在用车的环节或者工作的环节把创造的价值用智能合约(代码的方式)分润给银行,4s店,车厂。这时候,银行并不需要贷款出去完成这笔交易,只需要在用户还不上钱的时候进行补偿,变成了保险服务。因为使用信用,银行和4s店的资金压力明显减少了。当然,这个场景比较未来,还有很多值得推敲的地方,不是马上能实现的,但是我们能感觉到当这个时代来临的时候,经济活动会更容易产生,同时整个系统的安全风险是下降的。
汽车金融的例子核心是各个合作方式互相平等的关系,他们共同形成了一个完整的经济活动,但又无法完全相信对方。利用区块链技术,我们可以打通可信数据通道,降低彼此之间的信用成本,促进经济活动的产生。
站在金融机构的角度,核心的业务是评估风险,传统的做法是尽可能的收集数据,不过,收集隐私数据是敏感的,但区块链技术提供了新的可能性,在上述的例子中,用户购买汽车用的是信用代币,所以用户有理由在日常生活中积攒信用,比如按时还款,这是一个很好的激励机制的设计。

上图说明了这个例子的分润过程,消费者的还款会根据智能合约分配给银行,4s店和车厂。读者可能会质疑如果用信用买车,那么和现在的信用卡有什么区别,信用卡是使用者和银行之间的关系,而区块链可以打通更多的上下游关系,在上图的分润过程中,智能合约执行了分润逻辑,这个合约是各方认可的一个规则,所以智能合约将是未来数字世界的法律。
数据资产化和数据加工交易
人们具有数字身份后,我们就可以考虑数据资产化的场景。
我们还是以游戏举例,当你花了数月的时间打造了一个游戏角色,在玩家心目中,是很有价值的,那么数据资产化后,这个角色是你的,表现为非同质化代币,账号利用密码学保证在你手里,你辛苦打造的角色属于你,可以交易了。在游戏里面,你可以用各种数据资产,比如虚拟的铁,稀有元素合成打造一把屠龙宝刀,这就是数据加工,加工后可能会变得更有价值,你现在可以用你的屠龙宝刀和别人换一个新的坐骑什么的。
同样,信用数据可以资产化,这样你可以消费自己的信用,变现未来。上面举的汽车金融的例子,消费的信用必须以一种数据的形式展现在虚拟的计算机世界,而区块链就可以帮助实现这种想法。当你的信用资产化后,同样可以打包不同的信用,组成一个超级信用,用来完成某个交易。
另外,在大数据分析领域,一批数据被算法分析后,产生一个中间结果,这个结果可以被售卖,然后继续加工。这个过程很像我们现实世界的化学医药领域,院校有能力合成一些新的分子和蛋白质,对于有活性的成果,药厂会买去继续合成做药。区块链可以建立良好的溯源和分润机制,这样数据创造者,加工者,评估者,售卖者都可以获得利润,AI公司也有更真实和更广泛的数据可以收集。可见,区块链有可能成为大数据和AI的基础设施。
智能合约
有了数据资产后,必然会产生交易行为,辛苦打造的很多游戏道具,长期的信用资产,线下映射到线上的资产,都和你的房子,车子,一幅画一样,是可以转移所有权的。
我们知道,一旦发生交易,就必须有法律法规来规范各种交易行为,我们目前人类的法律还不能高效的约束数字世界,那么区块链技术带来了智能合约,也就是数字世界的法律。当下的情况,企业的产品经理和管理员,对程序掌握着绝对的权利,某些数据库管理员甚至精通删库跑路的技术(开玩笑),他们可以随意调整程序的行为和参数,这些人就像数字世界的神一样。但区块链技术带来了创新,智能合约就像法律一样,有自己的规则,在所有区块链节点上按照程序执行,谁也不能随意修改这个规则(联盟链中修改必须得到参与者的支持)。我们可以想象,数字经济的繁荣的基石就是这些精心设计的法律。
这些法律更强大的地方在于,他们可以以非常快速的速度迭代更新,完成功能,因为他们就是程序员写的代码。你合成屠龙宝刀和超级信用的合约,就可以随着现实情况的改变而不断升级,升级的需求来自于所有参与者的投票,这比现实的法律更加能适应快速变化的数字世界。
同时基于代码的合约,规避了人类违约的行为,可以在彼此是竞争对手或者具有相反的商业利益并且可能造成争议的组织间帮助创建信任。
隐私保护
区块链同时带来了另外一个问题,因为分布式账本是一本总账,它比中心化系统具有更好的开放性和审计功能,那么会不会暴露隐私呢?于此相反,我们听到大部分的科普介绍是说区块链具有隐私保护的功能。
为了更好的探讨此问题,我们必须从数字身份和数字资产的角度考虑,身份应该是多维的,有些身份在某些场景必须接受监管,映射到线下实体,有些身份则可以在某些场景保持匿名性,虽然该身份在数字世界是确定的,却不一定能映射到线下的实体。同样,数字身份,数字资产必须有选择性的披露部分数据的能力,当有人要看你所有信息的时候,你有手段拒绝,并且只给他看到必要部分。
我们有必要建立数字身份和数字资产的不同维度和权利,形成一个既能保证安全,符合法律监管,又具有隐私保护的数字世界。目前区块链在这一刻并没有特别的设计,但是通过密码学和智能合约,我们可以编写复杂的权限管理系统和数据保护系统来完成这个功能。
在未来,密码学的同态加密可以保证数据在不暴露原文就参与计算的能力。零知识证明可以让证明者能够在不向验证者提供任何有用的信息的情况下,使验证者相信某个论断是正确的。差分计算可以让数据源不暴露的情况下,让大数据运算结果得到有用的答案。
分布式账本
前面讨论的种种创新,智能合约是逻辑的执行单元,但最终的结果在计算机世界都是数据和状态的保存,区块链和传统中心化系统的不同点在于其数据保存在分布式账本中,参与方都有权获得约定的公开数据,且这份数据是不可以由某一方更改的。
分布式账本是数字身份,数字资产化,数据加工交易,智能合约的一个基础,前面我们分别进行了描述,在这里我想强调另一方面,就是违法的代价。如果我们的经济活动建立在一种分布式账本的坏境下,那么一旦企业或者个体有违反法律的情况,往往是不容易洗白的。
我们举个例子,假设我们现在有个溯源项目是关于进口澳大利亚牛肉的,现在在生产,运输,检疫,消费各个环节我们都把数据上链,这个牛肉得以卖出更高的价格,但是区块链不能解决数据源造假的问题,比如澳洲奸商伪造了数据采集的设备,把从来没有运动过得牛的数据改了,改成了天天都运动一个小时,这时候区块链也只能记录这个数据。但是一旦我们发现其造假,只要经过确认,其公司的不良记录将会被记录,且不能被修改,这种惩罚是非常严重的,其背后的违法人员也会被曝光记录。
所以区块链技术有可能建立一个激励机制,鼓励人们往更诚实,更守信的方向发展。
挖矿
这个词用来形容利用矿机去挖取比特币的行为,矿工参与到比特币网络中,给网络提供运算能力,网络能力,存贮能力。矿工需要购买机器,运维机器,支付电费,于此同时,矿工可以获得记账奖励和手续费奖励,得到比特币。
比特币的成功告诉我们,像比特币这样没有一个公司占据主导的系统,是可以存在的,就像我们的大自然一样,人类和其他生物都生活在这个生态系统中,大家根据自然法则,道德,法律,科技规律去生活。
那么我们是否能设计出一些法则,去创造一些新的商业模式,创造新的增长呢?我相信,前面的例子已经说明,区块链提供的新技术手段,可以在平等的组织之间建立信任,避免人类的违法违约行为,让用户掌控数字身份和数字资产,鼓励用户参与到生态建设(挖矿),最后用大家都认可的规则分得利润。
企业创新的方向
建立可信环境和激励机制
在区块链带来的创新中,本质是建立了一种不同组织和个体之间可信的手段,不管是比特币,还是其他应用,都是因为在技术上,我们确实可以相信,没有中心化的背书,我们仍然能相信系统的运行结果,如此一来,合作可以以一种新的方式开展。

但是光有分布式账本是不够的,因为我们的目标是创造信用大爆炸的时代,那么就必须设计新的激励机制,鼓励参与各个方面建立挖矿生态,生态里面的每一个平等的个体的挖矿行为,会不断的给系统提供新的能量输入,让系统达到一个更加有序的状态,如果我们拔高到物理的维度,就是一个熵减的过程。
我们分析一下一个健康数据采集的例子,假设有一个医疗健康领域的公司需要采集人们的健康数据,按照前面的思路,他应该和可以产生数据的硬件设备公司合作,比如生产跑步机的公司合作。
用户在跑步机器上跑步的时候,并没有意愿输入自己的年龄,身高,体重和健康状况,这时候就需要设计激励机制,比如给予用户一定的好处,可以在健身房免费锻炼,锻炼的行为就是挖取数据的行为。
这样的化,医疗健康公司设计了一个系统,自己获取数据加工产生收益,把数据的利润分配给硬件生产产商,健身房,用户可以免费获得锻炼的机会,并且把自己的锻炼数据当做矿产卖给数据公司,数据公司分析的结果,又可以给到健康行业去生产保健品或者医疗器械,甚至可以卖给保险公司,作为保险费的依据,如果卖给保险公司,买了保险的人又会更积极的去锻炼挖矿。
这样的系统,在数据分析公司,医疗设备公司,用户,健身房,保险公司等组织之间建立了信任环境,并且设置了良好的分润机制,使各方获益,并且都有动力提供更多的挖矿行为,才是区块链创新的完整形态。
建立新的控制力
我们还是用车来举例,传统的车厂,卖车需要通过4s店,4s在中间卖车养车,那么站在汽车生产商的角度,他无力接触到自己的用户,也无力控制整个市场的销售价格和服务,也无力解决经销商的串货行为,此时有没有一种技术手段帮助车厂夺回主动权呢。
首先设想我们有一个像淘宝一样的系统,车厂在上面售卖汽车维修保养升级的服务,这样可以吗?首先我们需要解决,车厂和4s系统数据的共享,另外我们需要确保4s系统不造假,再次我们需要确保用户对4s的反馈是真实和及时的。现在的系统能保证吗?很难,尽管淘宝有一整套声誉体系,但是仍然不能防止刷单的行为,因为数据背后是没有身份的,只有一个最终刷单的结果,你无法追踪审计反馈。另外我们无法确保4s店的系统造假,因为系统管理员有极大的权限。同样淘宝也具有控制权,车厂同样无法控制淘宝。这样的系统,必须依靠法律打通各个组织,但就算达成了合作,仍然不能解决数据互相可信的问题。
如果明白了区块可以提供的数字身份和数字资产,就可以利用区块链技术实现这套系统,我们可以建立各个角色在数字世界的身份,当用户购买车的时候就具有车主身份,车本身具有车的数字身份,每个4s店也有自己的身份,这时当我们车厂售卖一份数字化合约的时候,我们可以追溯到整个合约执行的过程并进行审计,所以车厂可以直接卖服务给用户。这样,在一份售后合约执行的整个流程中,我们打造了一份新的激励机制,车厂具有全局的控制能力,想办法提供给车主良好的服务,促进更多的消费,4s店必须把主要精力花在提升服务质量上,不然会因为声誉值得降低而被剔除出整个信任生态,4s店的建立也不是谁有钱就可以,而是要有最强的服务能力,也许一位精通修车的师傅在自己家的车库,就可以接合约的单子。

也许我们可以更进一步,如果这个系统里面有多个车厂,那么站在4s店的角度,我也没有必要只对一家品牌服务,加入这个网络后,我可以选择对自己最有利的合约去执行,这样也就没有必要和质量不好的车绑定在一起。
由于逆转控制可以由占主导地位的企业发起,比较好实施和推广,我们在举一个防串货的例子。设想我们有一个卖冰箱的公司,他给山西的经销商的价格是100,给安徽经销商的价格是99,这时候安徽的经销商就会委托山西的经销商进货,这对总公司的营销策略是不利的,这时候我们可以设计一个溯源系统,给某个货物在生产的时候打上标记,运送的过程中也会根据地理位置打上标记,这样对于串货的供销商可以采取惩罚措施,由于该规则是设计在区块链上,总公司规定好规则后,也不可以随便修改,需要得到大部分分销商的认可。
数据挖矿
现在落地比较多的区块链存证和溯源,好像只是利用了分布式账本技术,并没有利用到数字身份和数字资产,实际上我认为这只是第一步的实现,设想当一份农产品成长,加工和售卖的数据被收集后,如果他们是有身份的,会产生什么效果呢,整个产品创造的过程被记录下来,并不只是单单证明该产品的优秀,更大的作用是形成了一份新的数字产品,你售卖的产品不仅仅具有物理属性了,同时在数字世界,它具相关的一系列的属性,物理的产品也许消失了,但是数字的产品却作为财富留存了,这给我们未来改善生产流程,销售流程,售后流程提供了充分的数据基础,大数据公司可以购买这些数据,用自己独特的算法去演算加工数据,他可以把加工后的数据同样作为数字资产放在链上,对此感兴趣的投资公司,产品二次加工公司,也许还有很多不知到为什么对此数据感兴趣的公司会(比如游戏公司)来购买数据。可以说,现在的互联网的数据看似很多了,但是并没有标注在数字身份上,既不方便交易,加工,也不方便进行大数据运算。另外加上良好的分润设计,我们也可以创造更多高质量的数据,我预计未来会有大量的数据矿产公司,比如加入区块链的IOT设备公司。
我们再看一个地图数据产生的例子,我们现在的地图信息,是地图公司扫街扫出来的,很多信息不够及时和准确,也不一定是使用地图的人想要的数据,那么如果让用户自己上传数据呢,这时候又会有一些不法之徒上传虚假信息。我们利用区块链如何解决问题呢,首先我们假定已经建立个人数字身份体系,你可以不把身份告诉百度,但是如果你上传非法信息,公安部可以直接找你,这样地图公司就免去了执法的负担,另外如果你上传的数据是得到大家点赞的,可以给你带来良好的信用积分,连使用这个数据的司机,都可以给你点赞,增加你的积分,这样的激励机制,可以迅速的积累大量优质的数据,上传数据后,数据的所有权是你和地图共有的,你享受分润的权利。我想,百度如果采用这种技术,那么魏则西事件被指责的对象将不是百度公司,百度的搜索只是大数据的场景之一,它必须放弃自己竞价排名的利润模式,转型成一个基于区块链的大数据和AI公司。
基于区块链激励模型和支付的共享经济
区块链同时可以让本来做不了的生意变得可行,设想这个场景,如果你的网络租给别人用后,别人给你的是一笔token,利用这个token,你可以在下个月购买新的网络资源,这些操作,都是由你的路由器自动完成的。你的硬盘也可以有此功能,你把你的硬盘租给百度网盘,用来临时存贮p2p的资源,然后自动兑换成百度资源的下载权利,这些也都是自动完成的。对企业来说,如果生产的电子设备,比如网络带宽,CPU,电力,都可以去共享,生产的冰箱也可以放一块磁盘,用来做分布式存贮。共享和区块链有什么关系呢,上面的场景要想自动执行,必须赋予机器数字身份,才能接收token,另外区块链可以完成小微支付。我们现在的支付系统,做不到自动支付和小微支付,比如你的电费不能一度一度的交,这样产生的账本是巨大的,会计工作也是巨量的,但区块链具有实时对账的功能,当交易产生的时候,就财货两清了,并且由智能合约保证,双方都不能违反规则,我们的交易可以以很细的粒度执行。
企业可以建立的基础设施
企业的业务包含各个方面,无法一一讨论案例,但不管什么业务,在技术上都可以做如下的尝试:
- 建立区块链网络,和上下游合作伙伴打通数据。
- 想办法给自己的产品和服务建立数字身份,把产品和服务映射到数字资产。
- 帮助自己的最终用户建立数字身份,形成互相评价的数字声誉和网络。
- 建立数字资产的交易和加工流程。
- 把激励机制写入到智能合约,共建生态,分享利润。
这些创新对企业和用户带来的好处是:
- 企业对自己的产品有更大的控制和追踪的能力。
- 形成有身份的数字资产,最终汇集成数字金矿,生产产品和服务是一种挖矿行为。
- 获取用户真实反馈,用户反馈也可以资产化,用户反馈也是一种挖矿行为。
- 用户反馈给用户带来分润,使用产品和反馈是一种投资行为。
对金融带来的好处是:
- 金融机构可以利用更丰富的数据分析信用。
- 基于信用可以进行更多的贷款和保险业务。
- 社会整个经济活动具有正向激励作用,消耗在审计上的时间更短。
对大数据和AI的好处是:
- 可以获取更加有效的数据
- 可以买卖加工后的数据
区块链由于涉及到多方合作,对任何一个企业来说采用区块链都不是一件容易的事情,对行业靠前的企业来说可以发展新的业务,创造新的利润点,规避风险。对追赶者来说是一个弯道超车的机会。对创业者来书则是一片新的天地。
一般的创业模式,往往是由于几个人在某个方向创新创造出来一个成功的产品或者企业,区块链需要多方合作,实在是困难,但比特币却能吸引全世界的矿工去贡献,这说明了激励机制的重要作用。那么我们去设计一个新的基于区块链系统,需要有这种全新的思维,就是把生态伙伴,上下游公司,用区块链的方向吸引过来,这并不是凭空创造的激励,这种激励本来就存在于链下的现实世界中,现在只是用全新的技术手段去加强信任和用技术手段去约束。
区块链技术研究方向
技术上的创新方向
现在,我们知道了区块链技术上的创新性和革命性,也对未来具有充分的憧憬,但区块链技术仍处于发展的早期,我们很多的想法,一方面受制于产品设计上的限制;一方面受制于社会法律法规没有完善,无法开展现实世界到数字世界的映射;但更重要的一点是受制于技术限制,让我们想要创新的金融机构和企业难以快速验证自己的想法和商业模式,从而无法推动前两个问题的解决。那么对于有精力进行创新的企业,我认为联盟链可以从以下几个方面创新研发:
- 建立多维,分层的数字身份
- 建立数字身份安全机制和隐私保护机制
- 研发零知识证明和同态加密等密码学前沿领域的技术,保护数据安全
- 研发不同性质共识算法,满足不同的业务需求,提高性能
- 建立 layer2或者其他区块链上层优化机制,满足大数据量的计算
- 建立更加友好的智能合约执行环境和工具
- 建立跨链机制,对不同的业务,采用不同的链
- 建立和区块链紧密结合的安全的分布式存贮机制
- 预言机技术
变通的技术方案
技术难题不是一朝一夕可以解决的,我们当下的创新,必须在奋力解决当前技术难题的同时,找到变通的办法,才能落地一些能体现区块链核心价值的应用。
什么是变通的技术方案?我们用游戏举例跨链方案,比如腾讯和网易的游戏都支持道具的买卖,道具存贮在各自的链上,在腾讯链上是一把屠龙刀,在网易游戏上是一个坐骑,不过他们是不同的游戏,不能直接交换,这时候需要有一个估值体系,屠龙刀估值100,坐骑估值100,这时候才能交换。但是因为在不同的链上,需要有一个跨链的操作,我们先把屠龙刀和坐骑锁定,然后各自产生一个等价物,最终再把在原链上销毁。当然,我们也可以简化这个操作,采取变通方案,比如卖掉屠龙刀,换100块钱,再到网易链上去买。也可以发明一种通用等价物,比如虚拟世界的银子,他来做跨链,这样会简单一点。可以看到,技术实现的路径是很多的,最终的目标是形成通用的协议。
我们再回顾一下酒店的例子,看看身份隐私保护的难度,现在我登录携程网站,预定酒店,如果使用传统的携程账号,我定酒店的时候就需要输入身份证了,用户是不想把身份证给携程的,这时候我们必然要发明一种数字身份,该数字身份具有唯一性,携程网站可以用该数字身份登录,按照现在的做法,我会在我的数字钱包里面签名,然后发送数据给携程,携程去公安部的身份链上查询我的公钥,验证我的签名,验证通过后,他会去公安部的信息系统用我的数字钱包地址查询我是否是违法犯罪分子,结果返回不是,所以我可以成功的预约酒店。
在这个场景中,我们需要公安部实现一条身份链,并且要携程打通一个新的登录方式,这和传统的创新不同,传统的创新,携程可以单独提供服务,而区块链创新,往往需要多方协同,这也是区块链应用迟迟难以落地的重要原因。
在政府没有支持身份链的时候,我们可以采用现在的 KYC 技术,来自己实现这条链,比如去公安部的系统可以进行人脸识别,我们可以把人脸识别的一次性结果存贮在一条酒店联盟链上,未来可以二次使用(链上不能存贮用户数据,用户在用户手机里面,可以去链上验证,技术上叫做可验证声明)。对于用户熟悉的登录方式,我们可以和区块链的私钥签名方式打通,比如用户如果用私钥签了,可以关联到他的中心化账号。
区块链钱包的重要性
当行业头部的企业尝试区块链创新的时候,不管多么复杂的业务,最终都会沉淀成数字身份和数字资产。
区块链钱包是指数字世界的浏览器,里面放了数字身份(身份证或者企业营业执照),数字资产(可以交易产品和服务),可信声明(除了基本公民身份以外的属性,比如你的学历证书,工作经历)。企业钱包可以是企业自己用的,也可以是个体用户用的,在技术上,里面核心存贮的是基于密码学的公私钥。
我们举个例子,看看钱包应用的重要性在哪,现在假定去买车了,可以使用我的信用积分去买,不用付钱,但是我必须把我的信用积分抵押给智能合约,该智能合约是银行,车厂和4s店共同建立的,他们规定只要我的积分超过100w就可以免费开走车,我的积分现在保存在一条中国人民银行建立的信用链上,现在我需要把积分跨链转移到前面的智能合约上,现在我要怎么转呢,如果该系统是用传统账号登录的,那么积分的所有权就不在我手上,而在系统手里,这时候内心是不是很慌。
再举一个极端的例子,如果你去美国买车,美国那边有个联盟,也支持中国的积分去买,这时候如果是系统控制的积分,我们是不是就有理由相信有些有特权的人会刻意增加自己的积分,然后去美国潇洒呢?所以我们的信用必须建立在区块链上,信用是实打实一点一点积累起来的。我们现在是要转移一份区块链上的积分,这时候必须用我的私钥签名,而签名的功能就封装在钱包里面。另外,我是如何知道美国也可以用中国的积分买车的呢,那必然也是钱包里面的一条广告让我看到了,所以钱包就是新时代的浏览器,非常重要。
企业钱包目前看来应该包括基础的身份管理,数字资产管理功能。另外包含企业服务 DAPP(去中心化 APP)。DAPP 的核心特点是使用数字身份登录,使用数字货币支付,使用智能合约执行算法。DAPP 的创建方,区块链和用户共建生态,用户是 DAPP 的使用者,也是投资者(比如玩一个 DAPP 游戏,打出装备,后面游戏火了,用户是可以赚钱的)。
企业钱包因为使用公私钥技术,基于DID协议建立数字身份,有很多值得创新的地方:
- 应该保证用户身份的易用性,不能因为用户丢失了私钥,就丢失了所有数字世界存贮的东西。目前基于智能合约的钱包有解决这个问题的潜力,在智能合约里面,我们可以设置一个或多个恢复私钥,把恢复私钥保存在安全的地方,或者直接由其他人保管,我们的使用私钥丢失的时候,可以使用恢复私钥重置一个新的私钥,这样,私钥只是使用权利。
- 对于企业自用的钱包来说,使用权利应该分层分级分组,妥善保管企业数字资产的安全。DID协议也能解决这个问题。
- 钱包应该保证足够的模块化,每个企业推出的钱包服务,应该能作为插件下载,方便用户集成和使用。
- 钱包应该有协议支持,由于各个企业提供的功能不同,业务不同,我们有必要建立 DAPP 数据交互和数据格式的协议,建立应该支持的算法组和互相调用的协议,在互联网 Http 协议上发展出自己的安全协议。
- 钱包实现的语言应该多样化,既能支持浏览器运行,也能支持 native 运行,未来也应该支持在 IOT 设备上运行。
目前有一种争论,用户体验(管理秘钥很麻烦)和没有实际的应用,到底哪个才是阻止钱包流行的关键因素呢,我觉得说是用户体验的肯定是带有习惯的偏见,Google Auth用的就是密码学的技术,用来做二次验证的,现在用户量很大,体验非常好。但不排除有大量的用户是学不会使用密码学钱包的,这些人一定也不会使用微信支付和支付宝支付,这就是中国只有一半的人用电子支付的原因。
所以没有真正好的 DAPP 才是更重要的原因,现在的 DAPP 必须要基于某一条公链去做,我们知道,公链基本都需要有非法的数字货币,这根本就没法推广。另外公链是技术上的基础设施,没有业务和场景,也很难开发出很好的 DAPP。
期待有创新精神的企业做一条能开发 DAPP 的联盟链,像微信小程序那样,带着流量和场景,应该能有所突破。
总结
最后,总结一下各节内容,回顾一下主线暗线:
- 在“财富是如何演进的”这一节,我们大胆的尝试说明,当下处于信息时代和金融时代,基于信用的金融工具是推动社会经济活动主要力量,同时信用也是这个时代财富的象征。未来,信用需要扩展到更广的人群,这样整个社会的经济活动才会更繁荣。
- 在“激励机制的重要性”这一节,我们明白了基于进化论和自然选择原理,生生不息繁衍下来的人类具有天生的竞争性,族群的贤人总结了这些行为,形成了民族的文化,有的民族是好战的,有的民族是勤劳的,大部分民族是追求财富的,少部分民族是追求幸福的,无论如何,这些文化保证了生存。我们明白了文化和一些生理现象一样有激励作用,当我们符合文化对我们的要求时,我们能承受痛苦和不利,追求长远的利益。同样我们探讨了比特币为什么会产生,为什么发展,与文化和激励机制有着非常深刻的联系。
- 在“区块链带来了哪些创新”这一节,探讨了区块链技术可以帮助我们建立数字身份和数字资产,同时建立数字世界的法律,进而推动数字经济的发展和繁荣。基于此,我们可以打造全新的激励机制,建立一个繁荣的,基于信任的,安全的,有隐私保护,生态共建的全新经济系统。
- 在“企业的创新方向”这一节,尝试预测了利用区块链带来的新技术,企业可以做到哪些以前做不到的事情,从而建立新的增长。我们尝试用信用买车,直接发行合约重置4s店和车厂的关系,利用存证溯源建立数据金矿,利用资源共享进行小额实时支付的例子。
- 在“技术上的研究方向”一节,说明了企业联盟链技术上仍处于早期,现在创新的企业既要解决技术难题,也需要解决产品难题,指出了为了实现商业化,企业联盟链需要创新的方向。同时我们指出了企业钱包不仅可以承载消费者的数字身份和资产,同时也可以帮助企业承载数字产品。从企业和用户的角度出发,我们尝试预测了企业钱包技术上的创新方向。同时我们论述了因为缺少具有场景的区块链,才是导致没有杀手 DAPP 原因,也是导致数字钱包没有火起来的原因。
最后,期待一个全新的智能数字经济时代来临,未来,我们可以不断积累自身的信用,每个人都是一个小矿工,为这个社会经济活动的点点滴滴的行为打分,形成一个全新的激励机制,实现社会经济活动的进化,我相信那个时代的产品产品更多,服务更好,消费更多,物质更丰富,我们的文化也会渐渐的减少竞争和对财富的追求,进而把注意力转移到幸福和创新上来。期待信用大爆炸的时代。如果您对区块链项目和落地感兴趣,欢迎联系我们。