先赞再看,养成习惯。

闲话少说,直入正题。今天由菜鸟给大家分享一下设计模式七大原则中的依赖倒转原则。
设计理念
1、上层模块不应该依赖下层模块,两者都应该依赖其抽象。
2、抽象不应该依赖细节,细节应该依赖抽象。
通过上面的两点我们不难发现,其实依赖倒转原则的核心思想就是“面向抽象”编程。这里的抽象可以是“接口”也可以是“抽象类”。
倒转的体现

打个比方,现在有一个出售水果的水果店系统需要开发。正常逻辑思考,第一步考虑是需要先有一个店,然后进一步考虑,要出售各种各样的水果。
用编程的术语来描述,此时的水果店就是上层模块,各种各样的水果就是下层模块。按上面的文字描述,我们可以将水果和水果店之间的依赖关系理解成下图。

按照以上描述我们编写代码。
未进行倒转的代码:
public class Test {
public static void main(String[] args) {
FruitShop fruitShop = new FruitShop();
fruitShop.salesApple(new Apple());
fruitShop.salesBanana(new Banana());
fruitShop.salesWatermelon(new Watermelon());
fruitShop.salesPeach(new Peach());
}
}
// 水果店
class FruitShop {
// 出售苹果
public void salesApple(Apple apple) {
System.out.println(apple.sales());
}
// 出售香蕉
public void salesBanana(Banana banana) {
System.out.println(banana.sales());
}
// 出售西瓜
public void salesWatermelon(Watermelon watermelon) {
System.out.println(watermelon.sales());
}
// 出售桃子
public void salesPeach(Peach peach) {
System.out.println(peach.sales());
}
}
// 苹果
class Apple {
public String sales() {
return "卖出一斤苹果!";
}
}
// 香蕉
class Banana {
public String sales() {
return "卖出一斤香蕉!";
}
}
// 西瓜
class Watermelon {
public String sales() {
return "卖出一斤西瓜!";
}
}
// 桃子
class Peach {
public String sales() {
return "卖出一斤桃子!";
}
}
这样设计的程序比较容易理解,从上至下依次进行。但是它有一个巨大的缺点就是上层模块依赖于每一个下层模块,当下层模块变更时,会直接影响到上层。这是有问题的,作为一个水果店,我们肯定不会因为今天没有苹果了,就不再进行营业了对吧?
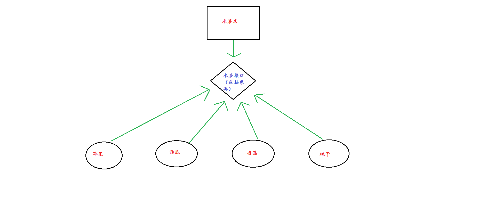
为此我们可以将一开始的想法“倒转”,从下层的水果开始思考,比如现在有苹果、香蕉、西瓜、等等……为了方便管理这些水果,我们可以抽象出一个“水果”接口(或抽象类)。然后让各类水果都依赖于这个接口,再让我们的水果店也依赖于这个接口。
其依赖关系如下图:

根据以上描述将之前的示例代码作出如下优化。
依赖倒转后的代码:
public class Test {
public static void main(String[] args) {
FruitShop fruitShop = new FruitShop();
fruitShop.salesFruit(new Apple());
fruitShop.salesFruit(new Banana());
fruitShop.salesFruit(new Watermelon());
fruitShop.salesFruit(new Peach());
}
}
// 水果店
class FruitShop {
// 出售水果
public void salesFruit(Fruits fruits) {
System.out.println(fruits.sales());
}
}
// 抽象出的水果接口
interface Fruits {
// 方法
String sales();
}
// 苹果
class Apple implements Fruits {
@Override
public String sales() {
return "卖出一斤苹果!";
}
}
// 香蕉
class Banana implements Fruits {
@Override
public String sales() {
return "卖出一斤香蕉!";
}
}
// 西瓜
class Watermelon implements Fruits {
@Override
public String sales() {
return "卖出一斤西瓜!";
}
}
// 桃子
class Peach implements Fruits {
@Override
public String sales() {
return "卖出一斤桃子!";
}
}
讲了这么多,那依赖倒转到底有什么用那,或者说使用它有什么好处那?大家能通过上面的描述有一个自己的理解吗?

菜鸟认为依赖倒转有如下优点:
1、可以提高程序的稳定性。
2、有利于程序的扩展和优化。
以上就是今天跟大家分享的内容。如果文章哪里写的有问题的希望大家可以在评论区提出来,菜鸟会积修改。感觉文章写的还不错的记得点赞加关注呦!