一、概述
召回率、准确率、精确率、F值的作用
在机器学习、数据挖掘、推荐系统完成建模之后,需要对模型的效果做评价。
二、定义##
首先给出一个大家经常见到的图:

####详细定义
准确率(accuracy)=(TP+TN)/(TP+FN+FP+TN)
通俗解释: 在所有样本中,预测正确的概率
精确率(precision)=TP/(TP+FP)
通俗解释:你认为的正样本中,有多少是真的正确的概率
召回率(recall)=TP/(TP+FN)
通俗解释:正样本中有多少是被找了出来

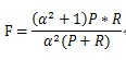
P和R指标有时候会出现的矛盾的情况,这样就需要综合考虑他们,最常见的方法就是F-Measure。
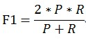
当参数α=1时,就是最常见的F1,也即

三、举例子环节
某池塘有1400条鲤鱼,300只虾,300只鳖。现在以捕鲤鱼为目的。撒一大网,逮着了700条鲤鱼,200只虾,100只鳖。那么,这些指标分别如下:
准确率=700/(1400+300+300)=35%
精确率=700/(700+200+100)=70%
召回率=700/1400=50%
F1=35%* 70% *2/35%+70%=46.6%
关注公众号“python做些事” 掌握更多编程知识,轻松拿到大厂offer
