题目
给定一个链表,返回链表开始入环的第一个节点。 如果链表无环,则返回 null。
为了表示给定链表中的环,我们使用整数 pos 来表示链表尾连接到链表中的位置(索引从 0 开始)。 如果 pos 是 -1,则在该链表中没有环。
说明:不允许修改给定的链表。
示例 1:
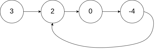
输入:head = [3,2,0,-4], pos = 1
输出:tail connects to node index 1
解释:链表中有一个环,其尾部连接到第二个节点。

示例 2:
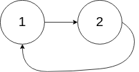
输入:head = [1,2], pos = 0
输出:tail connects to node index 0
解释:链表中有一个环,其尾部连接到第一个节点。

示例 3:
输入:head = [1], pos = -1
输出:no cycle
解释:链表中没有环。

进阶: 你是否可以不用额外空间解决此题?
解题思路
class Solution:
def detectCycle(self, head: ListNode) -> ListNode:
# #存值做法
# numsList = []
# while head:
# if head in numsList:
# return head
# numsList.append(head)
# try:
# head = head.next
# except:
# return None
# return None
# 双指针双倍速度走向,当相遇的时候,慢指针再走n步,就走到链表循环入口,而n步也是从头部走到入口的部数
left = right = head
while right:
try:
left = left.next
right = right.next.next
except:
return None
if left == right: # 相遇后,入口的也开始走了
break
right = head # right指针回到表头重新走
while left and right:
if left == right:
return left
left = left.next
right = right.next
return None