给定一个链表,判断链表中是否有环。
为了表示给定链表中的环,我们使用整数 pos 来表示链表尾连接到链表中的位置(索引从 0 开始)。 如果 pos 是 -1,则在该链表中没有环。
示例 1:
输入:head = [3,2,0,-4], pos = 1
输出:true
解释:链表中有一个环,其尾部连接到第二个节点。

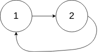
示例 2:
输入:head = [1,2], pos = 0
输出:true
解释:链表中有一个环,其尾部连接到第一个节点。

示例 3:
输入:head = [1], pos = -1
输出:false
解释:链表中没有环。

进阶:
你能用 O(1)(即,常量)内存解决此问题吗?
解题思路
class Solution:
def hasCycle(self, head: ListNode) -> bool:
#快慢指针处理,如果存在循环,快指针最后会等于慢指针
if head== None or head.next == None: return False
left = right = head
while left and right:
try:
left = left.next
right = right.next.next
except:
return False
if left == right:
return True
return False