Week02 学习笔记
1 哈希表、映射、集合的实现与特性
-
哈希表(Hash table)也叫散列表。可以根据关键码直接访问数据。
-
它通过哈希函数(Hash Function)把关键码映射到表中的一个位置,来加快访问速度。
-
哈希碰撞工程中常用解决方式:拉链式,通过增加一个链表来实现。
-
平均查询时间复杂度:O(1),如果哈希函数不好,查询则会退化到O(n)。
1.1 Java中的使用:
- Map:key-value形式,key不重复,定义为一个接口
- HashMap() ,TreeMap() 二叉搜索树 内部用红黑树实现
- put(key, value)
- get(key)
- containsKey(key),containsValue(value)
- size()
- clear()
- Set:不重复的元素集合,定义为一个接口
- HashSet(),TreeSet() 二叉搜索树 内部用红黑树实现
- add(value)
- remove(value)
- contains(value)
1.2 HashMap 源码分析
Java中的HashSet内部是基于HashMap实现的,每次存的value是一个空的Object。所以这里我们着重看一下HashMap的源码。
参考资料:

put(K key, V value)存数据
public V put(K key, V value) {
// 先通过hash函数算出key对应的hash值
return putVal(hash(key), key, value, false, true);
}
// 优化后的hash函数,扰动函数,防止不同的hashCode的高位不同但低位相同导致的hash冲突
static final int hash(Object key) {
int h;
return (key == null) ? 0 : (h = key.hashCode()) ^ (h >>> 16);
}
final V putVal(int hash, K key, V value, boolean onlyIfAbsent, boolean evict) {
Node<K, V>[] tab;
Node<K, V> p;
int n, i;
// 如果当前表为空则进行初始化 默认初始大小为1 << 4 = 16,负载因子:0.75f
if ((tab = table) == null || (n = tab.length) == 0)
n = (tab = resize()).length;
// 得到要插入的位置,为null说明没有冲突,直接插入
if ((p = tab[i = (n - 1) & hash]) == null)
tab[i] = newNode(hash, key, value, null);
else {
Node<K, V> e;
K k;
// 如果key存在,就直接覆盖value
if (p.hash == hash && ((k = p.key) == key || (key != null && key.equals(k))))
e = p;
// 判断是否为红黑树
else if (p instanceof TreeNode)
e = ((TreeNode<K, V>) p).putTreeVal(this, tab, hash, key, value);
else {
// 链表
for (int binCount = 0; ; ++binCount) {
if ((e = p.next) == null) {
// 如果e下一个节点为空,赋值给下一个节点
p.next = newNode(hash, key, value, null);
if (binCount >= TREEIFY_THRESHOLD - 1) // -1 for 1st
// 当链表长度大于8,改成红黑树
treeifyBin(tab, hash);
break;
}
// key相同 跳出循环
if (e.hash == hash && ((k = e.key) == key || (key != null && key.equals(k))))
break;
p = e;
}
}
if (e != null) { // existing mapping for key
V oldValue = e.value;
// 根据规则选择是否覆盖value
if (!onlyIfAbsent || oldValue == null)
e.value = value;
afterNodeAccess(e);
return oldValue;
}
}
++modCount;
// 判断是否需要扩容
if (++size > threshold)
resize();
afterNodeInsertion(evict);
return null;
}
get(Object key)取数据
public V get(Object key) {
Node<K, V> e;
// 根据key及其hash值查询node节点,如果存在,则返回该节点的value值
return (e = getNode(hash(key), key)) == null ? null : e.value;
}
// 根据key搜索节点的方法。判断key相等的条件:hash值相同并且equals()相等
final Node<K, V> getNode(int hash, Object key) {
Node<K, V>[] tab;
Node<K, V> first, e;
int n;
K k;
// 根据输入的hash值,可以直接计算出对应的下标,如果存在结果,则必定在table的这个位置上
if ((tab = table) != null && (n = tab.length) > 0 && (first = tab[(n - 1) & hash]) != null) {
// 判断第一个存在的节点的key是否和查询的key相等。如果相等,直接返回该节点
if (first.hash == hash && // always check first node
((k = first.key) == key || (key != null && key.equals(k))))
return first;
// 遍历该链表或红黑树直到next为null
if ((e = first.next) != null) {
// 为红黑树结构时,遍历红黑树节点,查看是否有匹配的TreeNode
if (first instanceof TreeNode)
return ((TreeNode<K, V>) first).getTreeNode(hash, key);
do {
// 为链表结构时,遍历链表,判断key是否相同
if (e.hash == hash && ((k = e.key) == key || (key != null && key.equals(k))))
return e;
} while ((e = e.next) != null);
}
}
return null;
}
附上一张大佬博客的put方法流程图:

2 树、二叉树、二叉搜索树的实现与特性
2.1 树
Linked List是一种特殊的树,每一层都只有一个子节点。

2.2 二叉树

二叉树的遍历:
- 前序遍历:根 - 左 - 右
- 中序遍历:左 - 根 - 右
- 后序遍历:左 - 右 - 根
一般树的遍历都使用递归来实现,示例代码:
// 前序
void preorder(Node root) {
if (root != null) {
System.out.println(root.val);
preorder(root.left);
preorder(root.right);
}
}
// 中序
void inorder(Node root) {
if (root != null) {
inorder(root.left);
System.out.println(root.val);
inorder(root.right);
}
}
// 后序
void postorder(Node root) {
if (root != null) {
postorder(root.left);
postorder(root.right);
System.out.println(root.val);
}
}
2.3 二叉搜索树

二叉搜索树特性:
- 左子树上所有节点值都小于根节点的值。
- 右子树上所有节点值都大于根节点的值。
- 中序遍历为升序排列
- 查询、插入、删除时间复杂度都为O(log n),退化成链表时最坏O(n)
3 堆和二叉堆、图
3.1 堆
可以迅速找到一堆数中的最大值或最小值的数据结构。
如果根节点的值最大叫大顶堆,根节点的值最小叫小顶堆。
堆的实现有好多种,常见的二叉堆、斐波那契堆等。
常见操作时间复杂度:
- 查找最大/最小值:O(1)
- 删除最大/最小值:O(log n)
- 插入元素:O(log n),最好情况O(1)
3.2 二叉堆

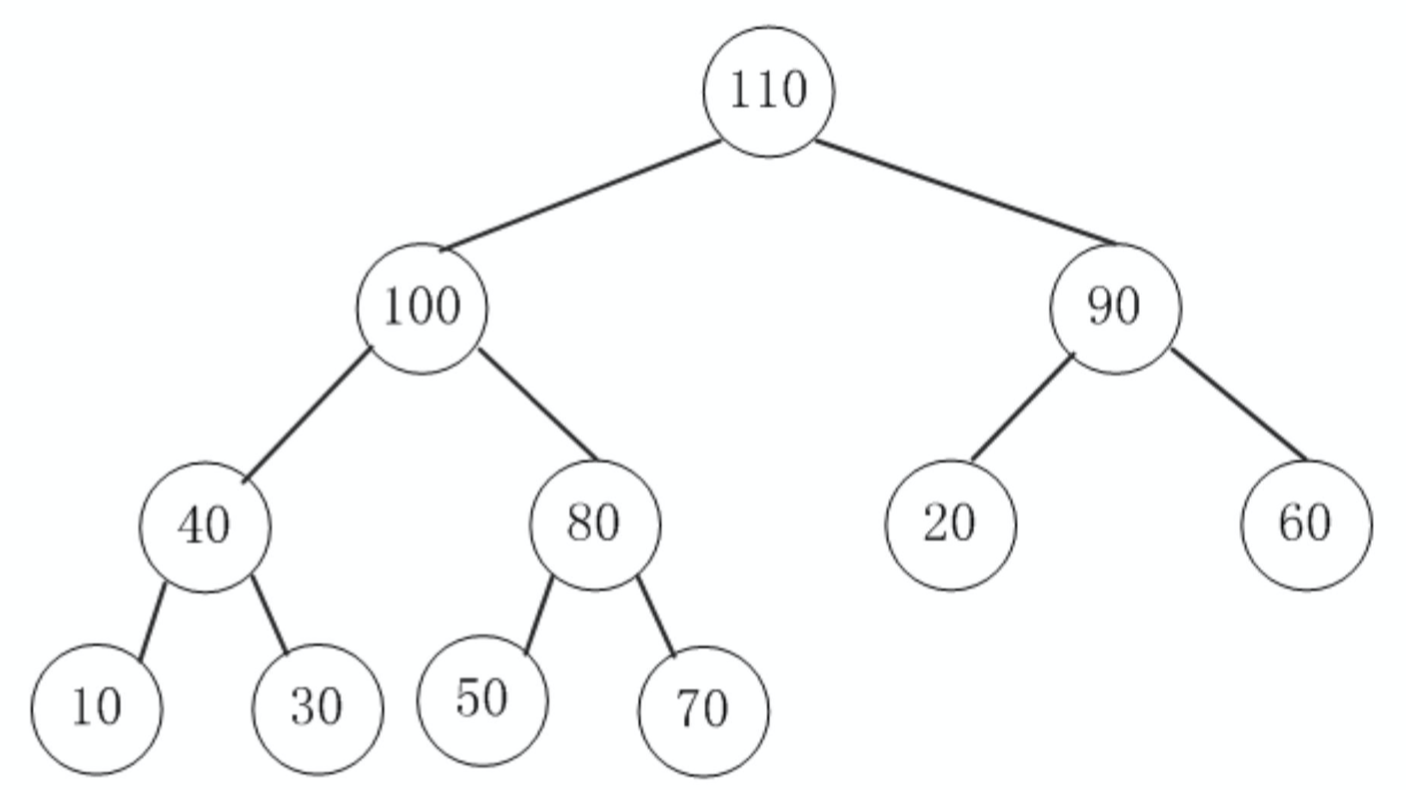
通过完全二叉树实现(不是二叉搜索树)。
性质:
- 是一颗完全树。
- 树中任意节点的值总是大于等于子节点的值。
实现:
- 一般通过数组实现。
- 假设第一个数组索引为0,父节点和子节点关系如下:
- i节点的左孩子索引为:2*i+1
- i节点的右孩子索引为:2*i+2
- i节点的父节点索引为:(i - 1) / 2 向下取整
插入操作:
- 新元素插入到最后面
- 依次向上调整整个堆的结构,直到根节点
删除最大值:
- 将最后面元素放到第一个位置
- 依次向下调整整个堆的结构,直到堆尾
堆排序示例,这里推荐一个iOS应用:算法动画图解
上面视频无法显示,可以看这里:www.bilibili.com/video/BV1HC…
3.3 图

图的属性:
- 点 V
- 入度 - 出度
- 点与点之间是否连通
- 边 E
- 有向 - 无向
- 权重(边长)
常见算法:
- DFS 深度优先搜索
- BFS 广度优先搜索