用Python解六年级数学题,求阴影面积

716 阅读1分钟

文源网络,仅供学习之用,如有侵权请联系删除。

今天看到微信群里一道六年级数学题,如下图,求阴影部分面积

file

看起来似乎并不是很难,可是博主添加各种辅助线,写各种方法都没出来,不得已而改用写Python代码来求面积了

思路介绍

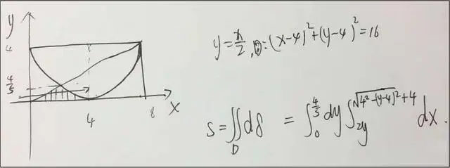
1、用Python将上图画在坐标轴上,主要是斜线函数和半圆函数

file

2、均匀的在长方形上面洒满豆子(假设是豆子),求阴影部分豆子占比*总面积

file

源码设计

1、做图源码

file

file

file

2、计算源码,其中side是要不要计算图形边框上的点,理论上side只能为True;t设置越大运行时间越长也越精准

file

小结

1、此种算法t为100时,阴影面积为1.268;t为1000时,阴影面积为1.253,已经非常接近正确答案(正确答案1.252)

2、举一反三,类似于这种不规则的面积,只要可以写出来函数,就可以求解面积。

2。下面有三种求解方法,第三种表示比大学高数还难看懂,你们觉得呢?

file

file

file

在学习Python的道路上肯定会遇见困难,别慌,我这里有一套学习资料,包含40+本电子书,800+个教学视频,涉及Python基础、爬虫、框架、数据分析、机器学习等,不怕你学不会! shimo.im/docs/JWCghr… 《Python学习资料》

关注公众号【Python圈子】,优质文章每日送达。

file