源码篇|HashMap(一)

874 阅读7分钟
  • 这篇文章主要关注的是jdk1.8中HashMap的实现。
  • HashMap是一个存储键值对的集合,它是线程不安全的,允许键值是null,底层的数据结构有数组+链表+红黑树。

属性

  1. 静态属性
    //序列化版本UID
    private static final long serialVersionUID = 362498820763181265L;
     /**
     * 默认的初始容量是16
     */
    static final int DEFAULT_INITIAL_CAPACITY = 1 << 4; // aka 16

    /**
     * 最大容量
     */
    static final int MAXIMUM_CAPACITY = 1 << 30;

    /**
     * 默认负载因子
     */
    static final float DEFAULT_LOAD_FACTOR = 0.75f;

    /**
     * 树化阈值。当添加元素到桶中,如果桶中链表长度被添加到至少8,链表就转换为红黑树
     */
    static final int TREEIFY_THRESHOLD = 8;

    /**
     * 链表还原阈值。
     */
    static final int UNTREEIFY_THRESHOLD = 6;

    /**
     * 最小数形化容量。桶中链表被转换为红黑树的最小容量是64
     */
    static final int MIN_TREEIFY_CAPACITY = 64;

2. 内部链表结点类

  • HashMap 是通过拉链法来解决冲突的,当链表到一定长度再转换成红黑树。以下是链表节点。
    static class Node<K,V> implements Map.Entry<K,V> {
        final int hash;
        final K key;
        V value;
        Node<K,V> next;

        Node(int hash, K key, V value, Node<K,V> next) {
            this.hash = hash;
            this.key = key;
            this.value = value;
            this.next = next;
        }

        public final K getKey()        { return key; }
        public final V getValue()      { return value; }
        public final String toString() { return key + "=" + value; }

        public final int hashCode() {
            return Objects.hashCode(key) ^ Objects.hashCode(value);
        }

        public final V setValue(V newValue) {
            V oldValue = value;
            value = newValue;
            return oldValue;
        }

        public final boolean equals(Object o) {
            if (o == this)
                return true;
            if (o instanceof Map.Entry) {
                Map.Entry<?,?> e = (Map.Entry<?,?>)o;
                if (Objects.equals(key, e.getKey()) &&
                    Objects.equals(value, e.getValue()))
                    return true;
            }
            return false;
        }
    }

3. 非静态属性

    /**
     * 哈希表,在第一次使用时初始化,当需要扩容时自动扩容。长度总是2的整数次幂
     */
    transient Node<K,V>[] table;

    transient Set<Map.Entry<K,V>> entrySet;

    /**
     * map中键值对个数
     */
    transient int size;
    
    /**
     * 通过容量*加载因子计算得到,当键值对的个数大于这个值就进行扩容。
     * 这样做是为了减少哈希冲突。
     * 浪费了一定的空间,但换来的是查找效率的提高。
     */
    int threshold;

    /**
     * 哈希表的加载因子
     */
    final float loadFactor;

构造函数

1. 带初始容量和加载因子的构造器

    /**
     * 带初始容量和加载因子的构造器
     * 初始化时并没有创建数组,只是为loadFactor和threshold赋值,threshold记录了要初始化的容量
     * @param initialCapacity 初始容量
     * @param loadFactor 加载因子
     */
    public HashMap(int initialCapacity, float loadFactor) {
        if (initialCapacity < 0)
            throw new IllegalArgumentException("Illegal initial capacity: " +
                                               initialCapacity);
        if (initialCapacity > MAXIMUM_CAPACITY)
            initialCapacity = MAXIMUM_CAPACITY;
        if (loadFactor <= 0 || Float.isNaN(loadFactor))
            throw new IllegalArgumentException("Illegal load factor: " +
                                               loadFactor);
        this.loadFactor = loadFactor;
        this.threshold = tableSizeFor(initialCapacity);
    }
    
     //返回2的整数次幂作为容量
    static final int tableSizeFor(int cap) {
        int n = cap - 1;
        n |= n >>> 1;
        n |= n >>> 2;
        n |= n >>> 4;
        n |= n >>> 8;
        n |= n >>> 16;
        return (n < 0) ? 1 : (n >= MAXIMUM_CAPACITY) ? MAXIMUM_CAPACITY : n + 1;
    }

2.其它构造器

    public HashMap(int initialCapacity) {
        this(initialCapacity, DEFAULT_LOAD_FACTOR);
    }

    public HashMap() {
        this.loadFactor = DEFAULT_LOAD_FACTOR; // all other fields defaulted
    }

    public HashMap(Map<? extends K, ? extends V> m) {
        this.loadFactor = DEFAULT_LOAD_FACTOR;
        putMapEntries(m, false);
    }

hash函数(扰动函数)

   //hash方法,hashCode的低十六位和高十六位异或,key为null时hash值为0
    static final int hash(Object key) {
        int h;
        return (key == null) ? 0 : (h = key.hashCode()) ^ (h >>> 16);
    }
  • jdk8让hashcode的高16和低16位都参与到hash值的计算,是为了在哈希表长度较小的情况下,也能尽量的减少哈希冲突。将key的hashcode的低16位和高16位进行异或。

put操作

    /**
     * 添加一个键值对到哈希表中,如果键值已经存在,用新的value值替换原来的value值
     * @param key
     * @param value
     * @return
     */
    public V put(K key, V value) {
        return putVal(hash(key), key, value, false, true);
    }
    
    /**
     * @param hash key的hash值
     * @param key
     * @param value
     * @param onlyIfAbsent 如果是true,不改变已经存在的key的value值
     * @param evict
     * @return 如果结点已经存在,返回之前的value,否则返回null
     */
    final V putVal(int hash, K key, V value, boolean onlyIfAbsent,
                   boolean evict) {
        Node<K,V>[] tab; Node<K,V> p; int n, i;
        //表为空初始化
        if ((tab = table) == null || (n = tab.length) == 0)
            n = (tab = resize()).length;
        //index=(n - 1)&hash,对应桶中位置没有结点则new一个结点
        if ((p = tab[i = (n - 1) & hash]) == null)
            tab[i] = newNode(hash, key, value, null);
        else {
            Node<K,V> e; K k;
            //判断首结点和要插入结点是否相等,首先判断hash值是否相同,再用equals()判断
            if (p.hash == hash &&
                ((k = p.key) == key || (key != null && key.equals(k))))
                e = p;
            //如果不相等,是树节点,红黑树插入
            else if (p instanceof TreeNode)
                e = ((TreeNode<K,V>)p).putTreeVal(this, tab, hash, key, value);
            else {
                //是链表,遍历链表尾插法插入
                for (int binCount = 0; ; ++binCount) {
                    if ((e = p.next) == null) {
                        p.next = newNode(hash, key, value, null);
                        //如果链表长度大于等于8,树形化
                        if (binCount >= TREEIFY_THRESHOLD - 1) // -1 for 1st
                            treeifyBin(tab, hash);
                        break;
                    }
                    //遍历时发现结点已存在,跳出循环
                    if (e.hash == hash &&
                        ((k = e.key) == key || (key != null && key.equals(k))))
                        break;
                    p = e;
                }
            }
            //已存在结点且onlyIfAbsent是false,将value赋值给已存在结点,返回旧的value
            if (e != null) { // existing mapping for key
                V oldValue = e.value;
                if (!onlyIfAbsent || oldValue == null)
                    e.value = value;
                afterNodeAccess(e);
                return oldValue;
            }
        }
        //HashMap同样要维护modCount
        ++modCount;
        //判断是否需要扩容
        if (++size > threshold)
            resize();
        afterNodeInsertion(evict);
        return null;
    }
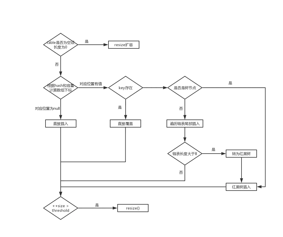
  1. put操作大致流程图示 image
  2. HashMap 的散列函数本质上是除留余数法,为了提高效率,源码中不使用直接取模,使用了位运算提高速度。当 length 为 2 的 n 次方时,h & (length - 1) 就相当于h对 length 取模。所以,HashMap 的容量n要求是2的整数次幂,通过(n - 1) & hash计算出位置 。

get操作

    public V get(Object key) {
        Node<K,V> e;
        return (e = getNode(hash(key), key)) == null ? null : e.value;
    }

    final Node<K,V> getNode(int hash, Object key) {
        Node<K,V>[] tab; Node<K,V> first, e; int n; K k;
        //先判断,只有当哈希表不为空,且表的长度大于0,且key对应的位置有结点时,再进行操作,否则直接返回null
        if ((tab = table) != null && (n = tab.length) > 0 &&
            (first = tab[(n - 1) & hash]) != null) {
            //先判断第一个结点与key是否匹配,如果匹配,返回第一个结点
            if (first.hash == hash && // always check first node
                ((k = first.key) == key || (key != null && key.equals(k))))
                return first;
            if ((e = first.next) != null) {
                //如果是树节点,进行红黑树的查找过程
                if (first instanceof TreeNode)
                    return ((TreeNode<K,V>)first).getTreeNode(hash, key);
                //否则遍历链表查找
                do {
                    //判断结点和key是否匹配
                    if (e.hash == hash &&
                        ((k = e.key) == key || (key != null && key.equals(k))))
                        return e;
                } while ((e = e.next) != null);
            }
        }
        return null;
    }

resize操作

1.调用resize的两种情况

  1. 第一次调用 HashMap 的 put 方法时,会调用 resize 方法对 table 数组进行初始化,如果不传入指定值,默认大小为 16。
  2. 扩容时会调用 resize,即 size > threshold 时,table 数组大小翻倍。

2. resize方法的逻辑

  • 每次扩容之后容量都是翻倍。扩容后要将原数组中的所有元素找到在新数组中合适的位置。
  • 当我们把 table[i] 位置的所有 Node 迁移到 newtab 中去的时候:这里面的 node 要么在 newtab 的 i 位置(不变),要么在 newtab 的 i + n 位置。也就是我们可以这样处理:把 table[i] 这个桶中的 node 拆分为两个链表 l1 和 l2:如果 hash & n == 0,那么当前这个 node 被连接到 l1 链表;否则连接到 l2 链表。这样下来,当遍历完 table[i] 处的所有 node 的时候,我们得到两个链表 l1 和 l2,这时我们令 newtab[i] = l1,newtab[i + n] = l2,这就完成了 table[i] 位置所有 node 的迁移(rehash),这也是 HashMap 中容量一定是 2 的整数次幂带来的方便之处。

3.resize处理链表部分源码

 if (oldTab != null) {
            for (int j = 0; j < oldCap; ++j) {
                Node<K,V> e;
                //如果桶中有元素进行处理
                if ((e = oldTab[j]) != null) {
                    oldTab[j] = null;
                    if (e.next == null)//如果没有冲突的元素,直接将元素放进新表中的桶
                        newTab[e.hash & (newCap - 1)] = e;
                    else if (e instanceof TreeNode)//如果是树节点
                        ((TreeNode<K,V>)e).split(this, newTab, j, oldCap);
                    //如果桶中是链表
                    else { // preserve order
                        // 将同一桶中的元素根据(e.hash & oldCap)是否为0进行分割,分成
                        两个不同的链表,完成rehash
                        //尾插法
                        Node<K,V> loHead = null, loTail = null;
                        Node<K,V> hiHead = null, hiTail = null;
                        Node<K,V> next;
                        do {
                            next = e.next;
                            if ((e.hash & oldCap) == 0) {
                                if (loTail == null)
                                    loHead = e;
                                else
                                    loTail.next = e;
                                loTail = e;
                            }
                            else {
                                if (hiTail == null)
                                    hiHead = e;
                                else
                                    hiTail.next = e;
                                hiTail = e;
                            }
                        } while ((e = next) != null);
                        //一些结点下标没有改变
                        if (loTail != null) {
                            loTail.next = null;
                            newTab[j] = loHead;
                        }
                        //一些结点下标是原来的容量加上原来的下标
                        if (hiTail != null) {
                            hiTail.next = null;
                            newTab[j + oldCap] = hiHead;
                        }
                    }
                }
            }
  • 使用HashMap时,可以提前给 HashMap 初始化一个容量,避免在插入的时候,频繁的扩容,因为扩容本身就比较消耗性能!