简单选择排序,它在待排序的n个记录中选择一个最小的记录需要比较n-1次。本来这也可以理解,查找第一个数据需要比较这么多次是正常的,否则如何知道它是最小的记录。
可惜的是,这样的操作并没有把每一趟的比较结果保存下来,在后一趟的比较中,有许多比较在前一趟已经做过了,但由于前一趟排序时未保存这些比较结果,所以后一趟排序时又重复执行了这些比较操作,因而记录的比较次数较多。
如果可以做到每次在选择到最小记录的同时,并根据比较结果对其他记录做出相应的调整,那样排序的总体效率就会非常高了。而堆排序(HeapSort),就是对简单选择排序进行的一种改进,这种改进的效果是非常明显的。堆排序算法是Floyd和Williams在1964年共同发明的,同时,他们发明了“堆”这样的数据结构。
堆是具有下列性质的完全二叉树:每个结点的值都大于或等于其左右孩子结点的值,称为大顶堆(例如下图左图所示);或者每个结点的值都小于或等于其左右孩子结点的值,称为小顶堆(例如下图右图所示)。

堆排序算法
堆排序(Heap Sort)就是利用堆(假设利用大顶堆)进行排序的方法。它的基本思想是,将待排序的序列构造成一个大顶堆。此时,整个序列的最大值就是堆顶的根结点。将它移走(其实就是将其与堆数组的末尾元素交换,此时末尾元素就是最大值),然后将剩余的n-1个序列重新构造成一个堆,这样就会得到n个元素中的次大值。如此反复执行,便能得到一个有序序列了。
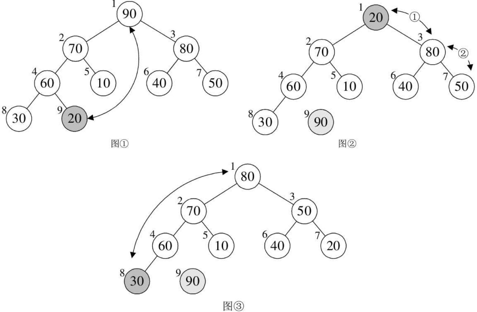
例如下图所示,图①是一个大顶堆,90为最大值,将90与20(末尾元素)互换,如图②所示,此时90就成了整个堆序列的最后一个元素,将20经过调整,使得除90以外的结点继续满足大顶堆定义(所有结点都大于等于其子孩子),见图③,然后再考虑将30与80互换……

不过要实现它还需要解决两个问题:
1.如何由一个无序序列构建成一个堆?
2.如果在输出堆顶元素后,调整剩余元素成为一个新的堆?
/* 对顺序表L进行堆排序 */
void HeapSort(SqList *L)
{
int i;
/* 把L中的r构建成一个大顶堆 */
for (i = L->length / 2; i > 0; i--)
HeapAdjust(L, i, L->length);
for (i = L->length; i > 1; i--)
{
/* 将堆顶记录和当前未经排序子序列的最后一个记录交换 */
swap(L, 1, i);
/* 将L->r[1..i-1]重新调整为大顶堆 */
HeapAdjust(L, 1, i - 1);
}
}
从代码中也可以看出,整个排序过程分为两个for循环。第一个循环要完成的就是将现在的待排序序列构建成一个大顶堆。第二个循环要完成的就是逐步将每个最大值的根结点与末尾元素交换,并且再调整其成为大顶堆。
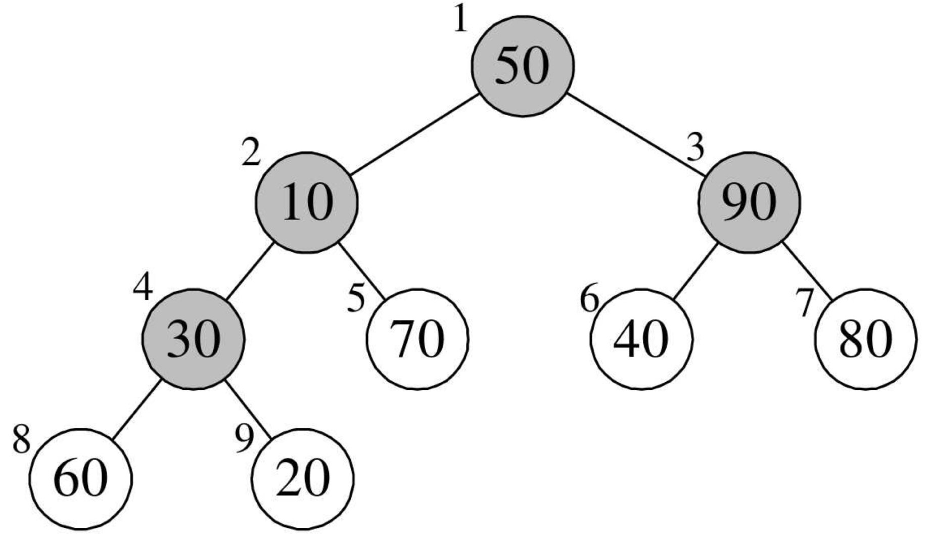
假设我们要排序的序列是{50,10,90,30,70,40,80,60,20},那么L.length=9,第一个for循环,代码第4行,i是从=4开始,4→3→2→1的变量变化。为什么不是从1到9或者从9到1,而是从4到1呢?其实我们看了下图就明白了,它们都有什么规律?它们都是有孩子的结点。注意灰色结点的下标编号就是1、2、3、4。

我们所谓的将待排序的序列构建成为一个大顶堆,其实就是从下往上、从右到左,将每个非终端结点(非叶结点)当作根结点,将其和其子树调整成大顶堆。i的4→3→2→1的变量变化,其实也就是30,90,10、50的结点调整过程。
现在我们来看关键的HeapAdjust(堆调整)函数是如何实现的。
/* 已知L->r[s..m]中记录的关键字除L->r[s]之外均满足堆的定义 */
/* 本函数调整L->r[s]的关键字,使L->r[s..m]成为一个大顶堆 */
void HeapAdjust(SqList *L,int s,int m)
{
int temp, j;
temp = L->r[s];
/* 沿关键字较大的孩子结点向下筛选 */
for (j = 2 * s; j <= m; j *= 2)
{
if (j < m && L->r[j] < L->r[j + 1])
/* j为关键字中较大的记录的下标 */
++j;
if (temp >= L->r[j])
/* rc应插入在位置s上 */
break;
L->r[s] = L->r[j];
s = j;
}
/* 插入 */
L->r[s] = temp;
}
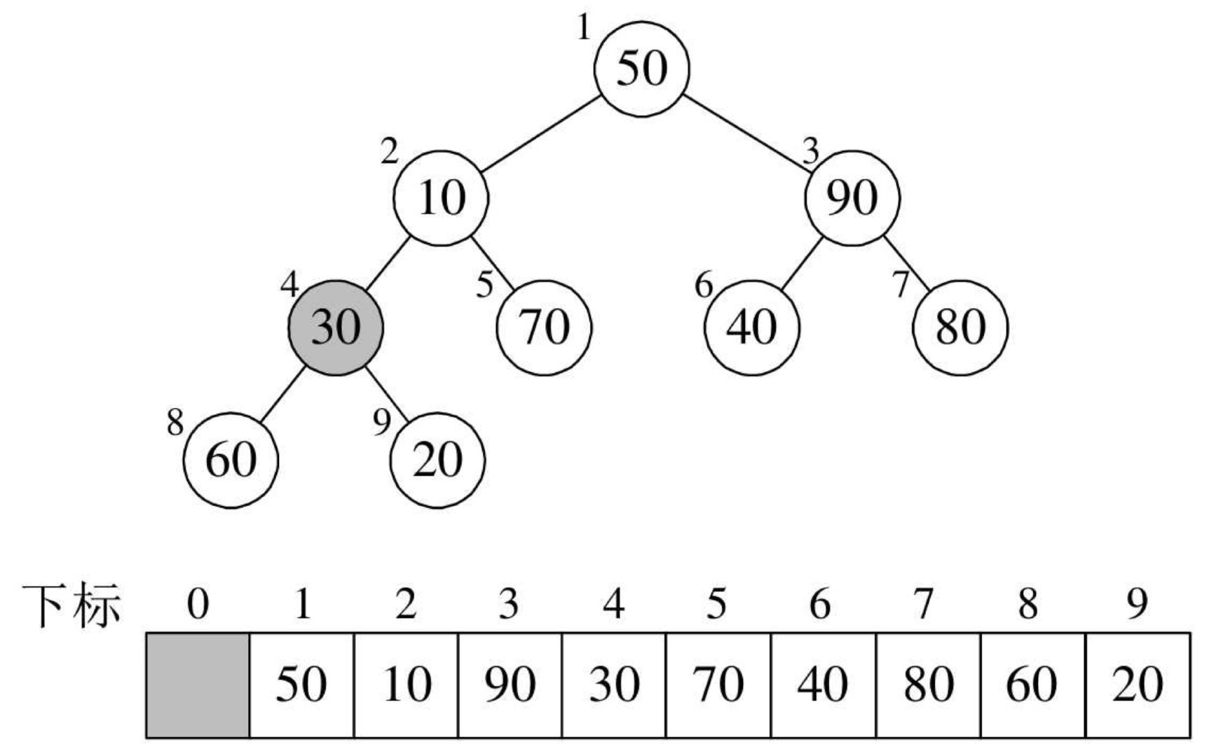
1.函数被第一次调用时,s=4,m=9,传入的SqList参数的值为length=9,r[10]={0,50,10,90,30,70,40,80,60,20}。
2.第4行,将L.r[s]=L.r[4]=30赋值给temp,如下图所示。

3.第5~13行,循环遍历其结点的孩子。这里j变量为什么是从2s开始呢?又为什么是j=2递增呢?原因还是二叉树的性质5,因为我们这棵是完全二叉树,当前结点序号是s,其左孩子的序号一定是2s,右孩子的序号一定是2s+1,它们的孩子当然也是以2的位数序号增加,因此j变量才是这样循环。
4.第7~8行,此时j=2*4=8,j<m说明它不是最后一个结点,如果L.r[j]<L.r[j+1],则说明左孩子小于右孩子。我们的目的是要找到较大值,当然需要让j+1以便变成指向右孩子的下标。当前30的左右孩子是60和20,并不满足此条件,因此j还是8。
5.第9~10行,temp=30,L.r[j]=60,并不满足条件。
6.第11~12行,将60赋值给L.r[4],并令s=j=8。也就是说,当前算出,以30为根结点的子二叉树,当前最大值是60,在第8的位置。注意此时L.r[4]和L.r[8]的值均为60。
7.再循环因为j=2*j=16,m=9,j>m,因此跳出循环。
8.第14行,将temp=30赋值给L.r[s]=L.r[8],完成30与60的交换工作。如下图所示。本次函数调用完成。

9.再次调用HeapAdjust,此时s=3,m=9。第4行,temp=L.r[3]=90,第7~8行,由于40<80得到j+1=2*s+1=7。9~10行,由于90>80,因此退出循环,最终本次调用,整个序列未发什么改变。10.再次调用HeapAdjust,此时s=2,m=9。第4行,temp=L.r[2]=10,第7~8行,60<70,使得j=5。最终本次调用使得10与70进行了互换,如下图所示。

11.再次调用HeapAdjust,此时s=1,m=9。第4行,temp=L.r[1]=50,第7~8行,70<90,使得j=3。第11~12行,L.r[1]被赋值了90,并且s=3,再循环,由于2j=6并未大于m,因此再次执行循环体,使得L.r[3]被赋值了80,完成循环后,L.[7]被赋值为50,最终本次调用使得50、90、80进行了轮换,如下图所示。

到此为止,我们构建大顶堆的过程算是完成了。
接下来HeapSort函数的第6~11行就是正式的排序过程,由于有了前面的充分准备,其实这个排序就比较轻松了。下面是这部分代码。
for (i = L->length; i > 1; i--)
{
/* 将堆顶记录和当前未经排序子序列的最后一个记录交换 */
swap(L,1,i);
/* 将L->r[1..i-1]重新调整为大顶堆 */
HeapAdjust(L,1,i-1);
}
1.当i=9时,第8行,交换20与90,第9行,将当前的根结点20进行大顶堆的调整,调整过程和刚才流程一样,找到它左右子结点的较大值,互换,再找到其子结点的较大值互换。此时序列变为{80,70,50,60,10,40,20,30,90},如下图所示。

2.当i=8时,交换30与80,并将30与70交换,再与60交换,此时序列变为{70,60,50,30,10,40,20,80,90},如下图所示。

3.后面的变化完全类似,如下图。


最终就得到一个完全有序的序列了。
堆排序复杂度分析
堆排序的效率到底有多高呢?我们来分析一下。
它的运行时间主要是消耗在初始构建堆和在重建堆时的反复筛选上。
在构建堆的过程中,因为我们是完全二叉树从最下层最右边的非终端结点开始构建,将它与其孩子进行比较和若有必要的互换,对于每个非终端结点来说,其实最多进行两次比较和互换操作,因此整个构建堆的时间复杂度为O(n)。
在正式排序时,第i次取堆顶记录重建堆需要用O(logi)的时间(完全二叉树的某个结点到根结点的距离为),并且需要取n-1次堆顶记录,因此,重建堆的时间复杂度为O(nlogn)。
所以总体来说,堆排序的时间复杂度为O(nlogn)。由于堆排序对原始记录的排序状态并不敏感,因此它无论是最好、最坏和平均时间复杂度均为O(nlogn)。这在性能上显然要远远好过于冒泡、简单选择、直接插入的O(n2)的时间复杂度了。
空间复杂度上,它只有一个用来交换的暂存单元,也非常的不错。不过由于记录的比较与交换是跳跃式进行,因此堆排序也是一种不稳定的排序方法。
另外,由于初始构建堆所需的比较次数较多,因此,它并不适合待排序序列个数较少的情况。