D3.js库-6-比例尺的使用

760 阅读3分钟

D3.js库-6-比例尺的使用

比例尺在D3中是一个非常实用的工具,可以这样理解比例尺:\color{red}{一种一一映射}的关系,从domain映射到range。因为在建立比例尺的过程中会经常使用到两个函数:domain()和range()。本文中介绍两种常用的比例尺

  • 线性比例尺scaleLinear

  • 序数比例尺scaleOrdinal

线性比例尺scaleLinear

在线性比例尺中,domainrange都是连续变化的。关系类似于线性函数

image

代码解释:

var scaleLinear = d3.scaleLinear()
                    .domain([min,max])
                    .range([0,300]);

表示将数据从[0.9,5]映射到了[0,300]之间,定义的变量scaleLinear好比是一个函数,能够直接传入参数进行计算

注意在D3中如何进行换行操作

序数比例尺scaleOrdinal()

domainrange都是离散化的,可以说都是数组的形式,不是连续的

同样的,在定义了比例尺之后,可以当做函数来使用,传入参数

image

<script>
      // 离散化比例尺
      var index = [0,1,2,3,4];
      var color = ["red","blue","yellow","black","green"];
      var scaleOrdinal = d3.scaleOrdinal()
    		.domain(index)   //将index中的值和color中的颜色一一对应
    		.range(color);

    	document.write("scaleOrdinal(1)输出:"+scaleOrdinal(1));
    	d3.select("body").append("br");//换行
    	document.write("scaleOrdinal(2)输出:"+scaleOrdinal(2));
    	d3.select("body").append("br");
    	document.write("scaleOrdinal(4)输出:"+scaleOrdinal(4));
</script>

比例尺作图

利用线性比例尺来做柱状图

<body>
    <svg width="960" height="600"></svg>
    <script>
        // 定义画布边距、数组
    	var marge = {top:60,bottom:60,left:60,right:60}
    	var dataset = [ 2.5 , 2.1 , 1.7 , 1.3 , 0.9 ];  
    	//定义一个线性比例尺
    	var scaleLinear = d3.scaleLinear()
    		.domain([0,d3.max(dataset)])   //指定domain和range
    		.range([0,300]);
    	
    	var svg = d3.select("svg");   // 选择元素
    	var g = svg.append("g")   // 指定分组
    		.attr("transform", "translate("+marge.top+","+marge.left+")");
    	
    	var rectHeight = 30;
    	
        g.selectAll("rect")
            .data(dataset)
            .enter()
            .append("rect")
                .attr("x", 20)
                .attr("y",function(d,i){
                    return i * rectHeight;
                })
                .attr("width",function(d){
                    return scaleLinear(d);   // 使用比例尺
                })
                .attr("height", rectHeight-5)
                .attr("fill","red")
    </script>
</body>

image

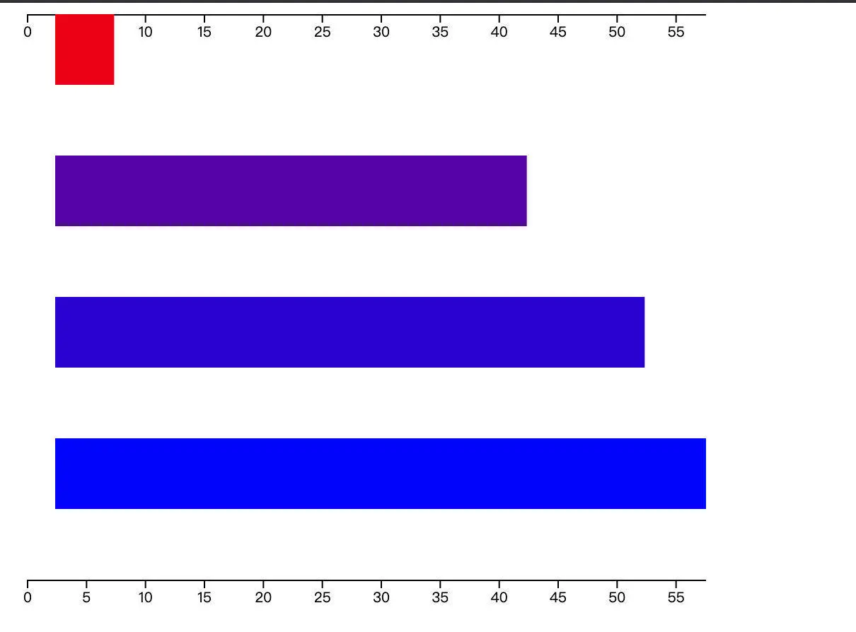
利用比例尺加上刻度线来作图

<body>
    <script>
        // 定义画布大小和数组
        var dataArray = [5, 40, 50, 60];
        var width = 500;
        var height = 500;

        //定义线性比例尺
        var widthScale = d3.scaleLinear()  // D3 v4之后不再使用该写法,请用d3.scaleLinear()
                            .domain([0,60])
                            .range([0,width]);
        // 定义颜色的渐变比例尺
        var color = d3.scaleLinear()
                            .domain([0,60])
                            .range(['red', 'blue']);

        var axis = d3.axisBottom(widthScale)  // 定义一个axis,方向朝下,10个刻度
                            .ticks(10);

        // 定义画布(代码记住)
        var svg = d3.select('body')
                    .append('svg')  // 追加一个svg元素
                        .attr('width', width)
                        .attr('height', height)
                    .append('g')
                        .attr('transform', 'translate(20,0)')
                        .call(axis);   // 最终调用axis刻度
                    

        var bars = svg.selectAll('rect')   // 选择svg中的全部矩形
                    .data(dataArray)   // 绑定数组
                    .enter()  // 指定选择集的enter部分
                    .append('rect')  // 添加足够数量的矩形元素
                        .attr('x', 20)   // 距离原点的距离,默认是0
                        .attr('width',function(d) {return widthScale(d);})
                        .attr('height',50)
                        .attr('fill',function(d) { return color(d); })  // 填充颜色改变   
                        .attr('y',function(d,i){ return i * 100 });  // d表示被绑定的数据,i是索引号
    
    svg.append('g')
            .attr("transform", "translate(0,400)")
            .call(axis);
    
    </script>
</body>

image