Neighbor embedding - manifold learning
LLE
地球就是一个流形

流形学习就是将高维的(流形的)feature的摊平,摊平之后就可以用欧氏距离了。
假设空间中有两个点xi和xj,他们俩的关系为wij

LLE方法就是找到Zfunction

这需要调整LLE 的neighbor选几个

拉普拉斯特征图
将相似度高的点连起来成为一个graph



t-SNE
如右图,图片data中有些点形成了一些圈圈,意味着有些object虽然很像,但是旋转之后(换个角度)看完全不一样了。

计算所有pairs的相似度。

我们需要衡量两个distribution的相似度,算KL散度

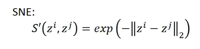
之前算similarity的方法:

SNE方法:

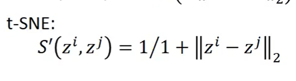
t-SNE方法:


t-SNE会把data gap强化,将同类聚起来
